Improved Shear Strength Performance of Compacted Rubberized Clays Treated with Sodium Alginate Biopolymer
Abstract
1. Introduction
2. Test Materials
2.1. Test Soil
2.2. Tire-Derived Ground Rubber
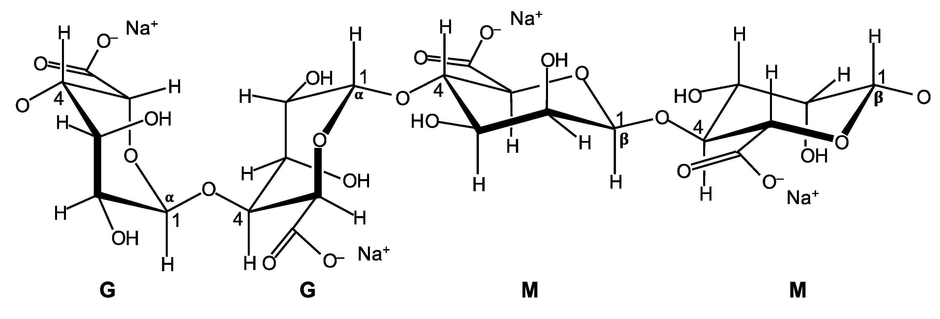
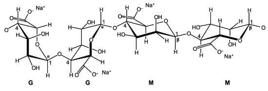
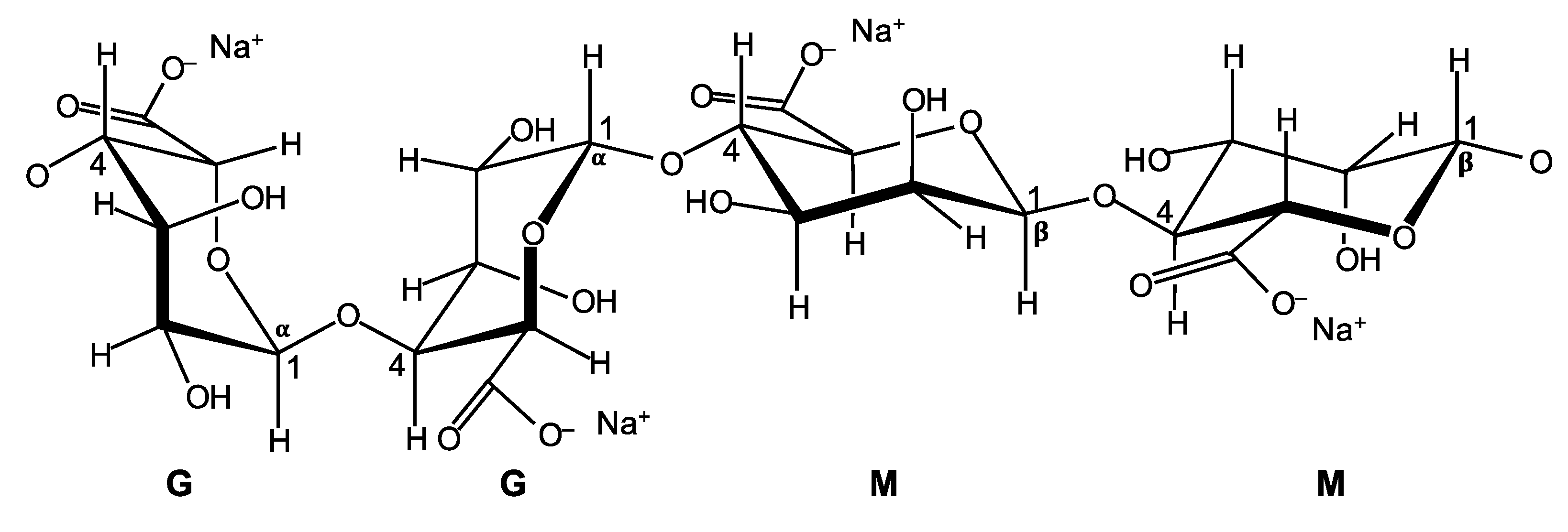
2.3. Sodium Alginate Biopolymer
3. Test Program
3.1. Mix Designs and Sample Preparations
3.2. Uniaxial Compression Test
3.3. Scanning Electron Microscopy Test
4. Results and Discussion
4.1. Effects of Ground Rubber on Soil Compactability and Compressive Strength
4.2. Combined Effects of Ground Rubber and Sodium Alginate on Soil Compressive Strength
4.3. Microstructure Analysis
5. Conclusions
- For any given GR content and curing duration, the greater the employed SA dosage, the higher the mobilized UCS, following a monotonically increasing trend. This behavior was attributed to the formation and propagation of so-called strong “cationic bridges” (developed as a result of a “Ca2+/Mg2+ ⟷ Na+ cation exchange/substitution” process among the clay and SA components) between adjacent clay surfaces over time, which induce flocculation of the clay particles and hence increase the sample’s overall shear resistance (i.e., UCS capacity). This flocculation mechanism, and hence the cationic bridging assertion, was further discussed and validated by means of typical SEM images.
- Further, for any given GR content and SA dosage, the mobilized UCS was found to follow an exponentially increasing trend with an increasing curing duration; beyond seven days of curing, however, the positive effects of curing became less pronounced and, in most cases, rather marginal. Interestingly, the overall positive contribution to the UCS parameter provided by increasing the SA dosage (for the investigated SA dosage range) was found to be somewhat less prominent compared with that offered by extending the curing duration (particularly for Tc < 7 d).
- Finally, for any given SA dosage and curing duration, the variations of the UCS parameter with respect to GR content demonstrated a rise–fall trend, peaking at fGR = 5% and then falling below its 0%-GR counterpart for 10% GR. An increase in GR content for any given SA dosage and curing duration was accompanied by a somewhat notable reduction in the samples’ SGF—that is, the UCS ratio of an SA-treated sample to its non-treated counterpart. This behavior was attributed to the partial replacement of the soil clay content with GR particles, reducing the number of available attraction sites (or clay surfaces) for the SA molecules to form additional cationic bridges.
6. Recommendations
Author Contributions
Funding
Institutional Review Board Statement
Informed Consent Statement
Data Availability Statement
Acknowledgments
Conflicts of Interest
Abbreviations
| AS | Australian Standard |
| ASTM | American Society for Testing and Materials |
| CH | Clay with high plasticity |
| CV | Coefficient of variation |
| DUW | Dry unit weight |
| ELT | End-of-life tire |
| GR | Ground rubber |
| LL | Liquid limit |
| MC | Moisture content |
| MDUW | Maximum dry unit weight |
| OMC | Optimum moisture content |
| PI | Plasticity index |
| PL | Plastic limit |
| PSD | Particle-size distribution |
| Rx | x% Ground rubber |
| SA | Sodium alginate |
| SD | Standard deviation |
| SEM | Scanning electron microscopy |
| SGF | Strength-gain-factor |
| SP | Poorly-graded sand |
| SPE | Standard Proctor energy |
| Sy | y g/L Sodium alginate |
| Tz | z days of curing |
| UCS | Uniaxial compressive strength |
| USCS | Unified Soil Classification System |
Notations
| Cc | Coefficient of curvature |
| Cu | Coefficient of curvature |
| d | Particle diameter (in mm) |
| d10 | Particle diameter corresponding to 10% finer (in mm) |
| d30 | Particle diameter corresponding to 30% finer (in mm) |
| d50 | Particle diameter corresponding to 50% finer (in mm) |
| d60 | Particle diameter corresponding to 60% finer (in mm) |
| d90 | Particle diameter corresponding to 90% finer (in mm) |
| DSA | Sodium alginate dosage (in g/L) |
| e | Void ratio |
| eo | Moulding (as-compacted) void ratio |
| fGR | Ground rubber content (in %) |
| Specific gravity of ground rubber particles | |
| soil-GRound rubber mixture specific gravity | |
| Specific gravity of soil solids | |
| MDS | Mass of oven-dried soil (in g) |
| MGR | Mass of ground rubber (in g) |
| MSA | Mass of sodium alginate powder (in g) |
| qu | Uniaxial compressive strength (in kPa) |
| Uniaxial compressive strength of SA-treated soil-GR samples (in kPa) | |
| Uniaxial compressive strength of untreated soil-GR samples (in kPa) | |
| Tc | Curing duration (in d) |
| VDW | Volume of distilled water (in L) |
| w | Moisture content (in %) |
| wo | Molding (as-compacted) moisture content (in %) |
| wopt | Optimum moisture content (in %) |
| γd | Dry unit weight (in kN/m3) |
| γdmax | Maximum dry unit weight (in kN/m3) |
| γdo | Molding (as-compacted) dry unit weight (in kN/m3) |
| γw | Unit weight of water (in kN/m3) |
References
- Czajczyńska, D.; Krzyżyńska, R.; Jouhara, H.; Spencer, N. Use of pyrolytic gas from waste tire as a fuel: A review. Energy 2017, 134, 1121–1131. [Google Scholar] [CrossRef]
- Yadav, J.S.; Tiwari, S.K. The impact of end-of-life tires on the mechanical properties of fine-grained soil: A review. Environ. Dev. Sustain. 2019, 21, 485–568. [Google Scholar] [CrossRef]
- Tian, X.; Zhuang, Q.; Han, S.; Li, S.; Liu, H.; Li, L.; Zhang, J.; Wang, C.; Bian, H. A novel approach of reapplication of carbon black recovered from waste tyre pyrolysis to rubber composites. J. Clean. Prod. 2021, 280, 124460. [Google Scholar] [CrossRef]
- Soltani, A.; Deng, A.; Taheri, A.; Mirzababaei, M.; Nikraz, H. Interfacial shear strength of rubber-reinforced clays: A dimensional analysis perspective. Geosynth. Int. 2019, 26, 164–183. [Google Scholar] [CrossRef]
- Raeesi, R.; Soltani, A.; King, R.; Disfani, M.M. Field performance monitoring of waste tire-based permeable pavements. Transp. Geotech. 2020, 24, 100384. [Google Scholar] [CrossRef]
- Soltani, A.; Taheri, A.; Deng, A.; O’Kelly, B.C. Improved geotechnical behavior of an expansive soil amended with tire-derived aggregates having different gradations. Minerals 2020, 10, 923. [Google Scholar] [CrossRef]
- Patil, U.; Valdes, J.R.; Evans, T.M. Swell mitigation with granulated tire rubber. J. Mater. Civ. Eng. 2011, 23, 721–727. [Google Scholar] [CrossRef]
- Trouzine, H.; Bekhiti, M.; Asroun, A. Effects of scrap tyre rubber fibre on swelling behaviour of two clayey soils in Algeria. Geosynth. Int. 2012, 19, 124–132. [Google Scholar] [CrossRef]
- Srivastava, A.; Pandey, S.; Rana, J. Use of shredded tyre waste in improving the geotechnical properties of expansive black cotton soil. Geomech. Geoengin. 2014, 9, 303–311. [Google Scholar] [CrossRef]
- Signes, C.H.; Garzón-Roca, J.; Fernández, P.M.; de la Torre, M.E.G.; Franco, R.I. Swelling potential reduction of Spanish argillaceous marlstone Facies Tap soil through the addition of crumb rubber particles from scrap tyres. Appl. Clay Sci. 2016, 132–133, 768–773. [Google Scholar] [CrossRef]
- Yadav, J.S.; Tiwari, S.K. Influence of crumb rubber on the geotechnical properties of clayey soil. Environ. Dev. Sustain. 2018, 20, 2565–2586. [Google Scholar] [CrossRef]
- Mukherjee, K.; Mishra, A.K. Hydraulic and mechanical characteristics of compacted sand–bentonite: Tyre chips mix for its landfill application. Environ. Dev. Sustain. 2019, 21, 1411–1428. [Google Scholar] [CrossRef]
- Soltani, A.; Deng, A.; Taheri, A.; Sridharan, A. Swell–shrink–consolidation behavior of rubber-reinforced expansive soils. Geotech. Test. J. 2019, 42, 761–788. [Google Scholar] [CrossRef]
- Soltani, A.; Deng, A.; Taheri, A.; Mirzababaei, M.; Vanapalli, S.K. Swell–shrink behavior of rubberized expansive clays during alternate wetting and drying. Minerals 2019, 9, 224. [Google Scholar] [CrossRef]
- Abbaspour, M.; Narani, S.S.; Aflaki, E.; Moghadas Nejad, F.; Mir Mohammad Hosseini, S.M. Strength and swelling properties of a waste tire textile fiber-reinforced expansive soil. Geosynth. Int. 2020, 27, 476–489. [Google Scholar] [CrossRef]
- Li, S.; Li, D. Mechanical properties of scrap tire crumbs–clayey soil mixtures determined by laboratory tests. Adv. Mater. Sci. Eng. 2018, 2018, 1742676. [Google Scholar] [CrossRef]
- Indraratna, B.; Qi, Y.; Ngo, T.N.; Rujikiatkamjorn, C.; Neville, T.; Ferreira, F.B.; Shahkolahi, A. Use of geogrids and recycled rubber in railroad infrastructure for enhanced performance. Geosciences 2019, 9, 30. [Google Scholar] [CrossRef]
- Saberian, M.; Li, J. Long-term permanent deformation behaviour of recycled concrete aggregate with addition of crumb rubber in base and sub-base applications. Soil Dyn. Earthq. Eng. 2019, 121, 436–441. [Google Scholar] [CrossRef]
- Tsiavos, A.; Alexander, N.A.; Diambra, A.; Ibraim, E.; Vardanega, P.J.; Gonzalez-Buelga, A.; Sextos, A. A sand–rubber deformable granular layer as a low-cost seismic isolation strategy in developing countries: Experimental investigation. Soil Dyn. Earthq. Eng. 2019, 125, 105731. [Google Scholar] [CrossRef]
- Akbarimehr, D.; Fakharian, K. Dynamic shear modulus and damping ratio of clay mixed with waste rubber using cyclic triaxial apparatus. Soil Dyn. Earthq. Eng. 2021, 140, 106435. [Google Scholar] [CrossRef]
- Akbulut, S.; Arasan, S.; Kalkan, E. Modification of clayey soils using scrap tire rubber and synthetic fibers. Appl. Clay Sci. 2007, 38, 23–32. [Google Scholar] [CrossRef]
- Cabalar, A.F.; Karabash, Z.; Mustafa, W.S. Stabilising a clay using tyre buffings and lime. Road Mater. Pavement Des. 2014, 15, 872–891. [Google Scholar] [CrossRef]
- Tajdini, M.; Nabizadeh, A.; Taherkhani, H.; Zartaj, H. Effect of added waste rubber on the properties and failure mode of kaolinite clay. Int. J. Civ. Eng. 2017, 15, 949–958. [Google Scholar] [CrossRef]
- Irani, N.; Ghasemi, M. Effect of scrap tyre on strength properties of untreated and lime-treated clayey sand. Eur. J. Environ. Civ. Eng. 2019. [Google Scholar] [CrossRef]
- Soltani, A.; Taheri, A.; Deng, A.; Nikraz, H. Tyre rubber and expansive soils: Two hazards, one solution. Proc. Inst. Civ. Eng. Constr. Mater. 2020. [Google Scholar] [CrossRef]
- Yang, Z.; Zhang, Q.; Shi, W.; Lv, J.; Lu, Z.; Ling, X. Advances in properties of rubber reinforced soil. Adv. Civ. Eng. 2020, 2020, 6629757. [Google Scholar] [CrossRef]
- Kalkan, E. Preparation of scrap tire rubber fiber–silica fume mixtures for modification of clayey soils. Appl. Clay Sci. 2013, 80–81, 117–125. [Google Scholar] [CrossRef]
- Bekhiti, M.; Trouzine, H.; Rabehi, M. Influence of waste tire rubber fibers on swelling behavior, unconfined compressive strength and ductility of cement stabilized bentonite clay soil. Constr. Build. Mater. 2019, 208, 304–313. [Google Scholar] [CrossRef]
- Yadav, J.S.; Garg, A.; Tiwari, S.K. Strength and ductility behaviour of rubberised cemented clayey soil. Proc. Inst. Civ. Eng. Gr. Improv. 2021. [Google Scholar] [CrossRef]
- Williamson, S.; Cortes, D.D. Dimensional analysis of soil–cement mixture performance. Géotechnique Lett. 2014, 4, 33–38. [Google Scholar] [CrossRef]
- Georgees, R.N.; Hassan, R.A.; Evans, R.P.; Jegatheesan, P. Effect of the use of a polymeric stabilizing additive on unconfined compressive strength of soils. Transp. Res. Rec. J. Transp. Res. Board 2015, 2473, 200–208. [Google Scholar] [CrossRef]
- Chang, I.; Lee, M.; Tran, A.T.P.; Lee, S.; Kwon, Y.M.; Im, J.; Cho, G.C. Review on biopolymer-based soil treatment (BPST) technology in geotechnical engineering practices. Transp. Geotech. 2020, 24, 100385. [Google Scholar] [CrossRef]
- Estabragh, A.R.; Beytolahpour, I.; Javadi, A.A. Effect of resin on the strength of soil–cement mixture. J. Mater. Civ. Eng. 2011, 23, 969–976. [Google Scholar] [CrossRef]
- Khatami, H.R.; O’Kelly, B.C. Improving mechanical properties of sand using biopolymers. J. Geotech. Geoenviron. Eng. 2013, 139, 1402–1406. [Google Scholar] [CrossRef]
- Chang, I.; Im, J.; Cho, G.C. Introduction of microbial biopolymers in soil treatment for future environmentally-friendly and sustainable geotechnical engineering. Sustainability 2016, 8, 251. [Google Scholar] [CrossRef]
- Muguda, S.; Booth, S.J.; Hughes, P.N.; Augarde, C.E.; Perlot, C.; Bruno, A.W.; Gallipoli, D. Mechanical properties of biopolymer-stabilised soil-based construction materials. Géotechnique Lett. 2017, 7, 309–314. [Google Scholar] [CrossRef]
- He, S.; Yu, X.; Banerjee, A.; Puppala, A.J. Expansive soil treatment with liquid ionic soil stabilizer. Transp. Res. Rec. J. Transp. Res. Board 2018, 2672, 185–194. [Google Scholar] [CrossRef]
- Mirzababaei, M.; Arulrajah, A.; Horpibulsuk, S.; Soltani, A.; Khayat, N. Stabilization of soft clay using short fibers and poly vinyl alcohol. Geotext. Geomembr. 2018, 46, 646–655. [Google Scholar] [CrossRef]
- Soltani, A.; Deng, A.; Taheri, A.; O’Kelly, B.C. Engineering reactive clay systems by ground rubber replacement and polyacrylamide treatment. Polymers 2019, 11, 1675. [Google Scholar] [CrossRef] [PubMed]
- Ghasemzadeh, H.; Mehrpajouh, A.; Pishvaei, M.; Mirzababaei, M. Effects of curing method and glass transition temperature on the unconfined compressive strength of acrylic liquid polymer-stabilized kaolinite. J. Mater. Civ. Eng. 2020, 32, 04020212. [Google Scholar] [CrossRef]
- Soltani, A.; Raeesi, R.; O’Kelly, B.C. Cyclic swell–shrink behavior of an expansive soil treated with a sulfonated oil. Proc. Inst. Civ. Eng. Gr. Improv. 2020. [Google Scholar] [CrossRef]
- Theng, B. Clay–polymer interactions: Summary and perspectives. Clay Clay Miner. 1982, 30, 1–10. [Google Scholar] [CrossRef]
- Ben-Hur, M.; Malik, M.; Letey, J.; Mingelgrin, U. Adsorption of polymers on clays as affected by clay charge and structure, polymers properties, and water quality. Soil Sci. 1992, 153, 349–356. [Google Scholar] [CrossRef]
- Letey, J. Adsorption and desorption of polymers on soil. Soil Sci. 1994, 158, 244–248. [Google Scholar] [CrossRef]
- Slaný, M.; Jankovič, Ľ.; Madejová, J. Structural characterization of organo-montmorillonites prepared from a series of primary alkylamines salts: Mid-IR and near-IR study. Appl. Clay Sci. 2019, 176, 11–20. [Google Scholar] [CrossRef]
- Johnson, F.A.; Craig, D.Q.M.; Mercer, A.D. Characterization of the block structure and molecular weight of sodium alginates. J. Pharm. Pharmacol. 1997, 49, 639–643. [Google Scholar] [CrossRef]
- George, M.; Abraham, T.E. Polyionic hydrocolloids for the intestinal delivery of protein drugs: Alginate and chitosan—A review. J. Control. Release 2006, 114, 1–14. [Google Scholar] [CrossRef] [PubMed]
- Kulkarni, R.V.; Sreedhar, V.; Mutalik, S.; Setty, C.M.; Sa, B. Interpenetrating network hydrogel membranes of sodium alginate and poly(vinyl alcohol) for controlled release of prazosin hydrochloride through skin. Int. J. Biol. Macromol. 2010, 47, 520–527. [Google Scholar] [CrossRef]
- Pignolet, L.H.; Waldman, A.S.; Schechinger, L.; Govindarajoo, G.; Nowick, J.S.; Labuza, T. The alginate demonstration: Polymers, food science, and ion exchange. J. Chem. Educ. 1998, 75, 1430–1431. [Google Scholar] [CrossRef]
- El-Aassar, M.R.; Hafez, E.E.; El-Deeb, N.M.; Fouda, M.M.G. Microencapsulation of lectin anti-cancer agent and controlled release by alginate beads, biosafety approach. Int. J. Biol. Macromol. 2014, 69, 88–94. [Google Scholar] [CrossRef]
- Qin, Y. Seaweed hydrocolloids as thickening, gelling, and emulsifying agents in functional food products. In Bioactive Seaweeds for Food Applications: Natural Ingredients for Healthy Diets; Qin, Y., Ed.; Academic Press: Cambridge, MA, USA, 2018; pp. 135–152. [Google Scholar] [CrossRef]
- Bouazza, A.; Gates, W.P.; Ranjith, P.G. Hydraulic conductivity of biopolymer-treated silty sand. Géotechnique 2009, 59, 71–72. [Google Scholar] [CrossRef]
- Peng, C.; Zheng, J.; Huang, S.; Li, S.; Li, D.; Cheng, M.; Liu, Y. Application of sodium alginate in induced biological soil crusts: Enhancing the sand stabilization in the early stage. J. Appl. Phycol. 2017, 29, 1421–1428. [Google Scholar] [CrossRef]
- Arab, M.G.; Mousa, R.A.; Gabr, A.R.; Azam, A.M.; El-Badawy, S.M.; Hassan, A.F. Resilient behavior of sodium alginate-treated cohesive soils for pavement applications. J. Mater. Civ. Eng. 2019, 31, 04018361. [Google Scholar] [CrossRef]
- Fatehi, H.; Bahmani, M.; Noorzad, A. Strengthening of dune sand with sodium alginate biopolymer. In Geo-Congress 2019: Soil Improvement (GSP 309); Meehan, C.L., Kumar, S., Pando, M.A., Coe, J.T., Eds.; ASCE: Reston, VA, USA, 2019; pp. 157–166. [Google Scholar] [CrossRef]
- Almajed, A.; Lemboye, K.; Arab, M.G.; Alnuaim, A. Mitigating wind erosion of sand using biopolymer-assisted EICP technique. Soils Found. 2020, 60, 356–371. [Google Scholar] [CrossRef]
- Soldo, A.; Miletić, M.; Auad, M.L. Biopolymers as a sustainable solution for the enhancement of soil mechanical properties. Sci. Rep. 2020, 10, 267. [Google Scholar] [CrossRef]
- Zhao, Y.; Zhuang, J.; Wang, Y.; Jia, Y.; Niu, P.; Jia, K. Improvement of loess characteristics using sodium alginate. Bull. Eng. Geol. Environ. 2020, 79, 1879–1891. [Google Scholar] [CrossRef]
- Lemboye, K.; Almajed, A.; Alnuaim, A.; Arab, M.; Alshibli, K. Improving sand wind erosion resistance using renewable agriculturally derived biopolymers. Aeolian Res. 2021, 49, 100663. [Google Scholar] [CrossRef]
- ASTM D422. Standard Test. Method for Particle-Size Analysis of Soils; ASTM International: West Conshohocken, PA, USA, 2007. [Google Scholar] [CrossRef]
- AS 1289.3.9.1. Methods of Testing Soils for Engineering Purposes: Soil Classification Tests—Determination of the Cone Liquid Limit of a Soil; Standards Australia (SA): Sydney, NSW, Australia, 2015; ISBN 9781760352974. [Google Scholar]
- AS 1289.3.2.1. Methods of Testing Soils for Engineering Purposes: Soil Classification Tests—Determination of the Plastic Limit of a Soil—Standard Method; Standards Australia (SA): Sydney, NSW, Australia, 2009; ISBN 0733790054. [Google Scholar]
- AS 1289.3.3.1. Methods of Testing Soils for Engineering Purposes: Soil Classification Tests—Calculation of the Plasticity Index of a Soil; Standards Australia (SA): Sydney, NSW, Australia, 2009; ISBN 0733790062. [Google Scholar]
- ASTM D2487. Standard Practice for Classification of Soils for Engineering Purposes (Unified Soil Classification System); ASTM International: West Conshohocken, PA, USA, 2017. [Google Scholar] [CrossRef]
- ASTM D854. Standard Test. Methods for Specific Gravity of Soil Solids by Water Pycnometer; ASTM International: West Conshohocken, PA, USA, 2014. [Google Scholar] [CrossRef]
- ASTM D698. Standard Test. Methods for Laboratory Compaction Characteristics of Soil Using Standard Effort (12 400 ft-lbf/ft3 (600 kN-m/m3)); ASTM International: West Conshohocken, PA, USA, 2012. [Google Scholar] [CrossRef]
- Yadav, J.S.; Tiwari, S.K. Effect of waste rubber fibres on the geotechnical properties of clay stabilized with cement. Appl. Clay Sci. 2017, 149, 97–110. [Google Scholar] [CrossRef]
- Soltani, A.; Deng, A.; Taheri, A.; Sridharan, A. Consistency limits and compaction characteristics of clay soils containing rubber waste. Proc. Inst. Civ. Eng. Geotech. Eng. 2019, 172, 174–188. [Google Scholar] [CrossRef]
- Estabragh, A.R.; Javadi, A.A. Critical state for overconsolidated unsaturated silty soil. Can. Geotech. J. 2008, 45, 408–420. [Google Scholar] [CrossRef]
- Zhang, J.; Soltani, A.; Deng, A.; Jaksa, M.B. Mechanical performance of jute fiber-reinforced micaceous clay composites treated with ground-granulated blast-furnace slag. Materials 2019, 12, 576. [Google Scholar] [CrossRef]
- Zhang, J.; Soltani, A.; Deng, A.; Jaksa, M.B. Mechanical behavior of micaceous clays. J. Rock Mech. Geotech. Eng. 2019, 11, 1044–1054. [Google Scholar] [CrossRef]
- ASTM D2166. Standard Test. Method for Unconfined Compressive Strength of Cohesive Soil; ASTM International: West Conshohocken, PA, USA, 2016. [Google Scholar] [CrossRef]
- Madejová, J.; Barlog, M.; Jankovič, Ľ.; Slaný, M.; Pálková, H. Comparative study of alkylammonium- and alkylphosphonium-based analogues of organo-montmorillonites. Appl. Clay Sci. 2021, 200, 105894. [Google Scholar] [CrossRef]
- Yaghoubi, M.; Shukla, S.K.; Mohyeddin, A. Effects of addition of waste tyre fibres and cement on the engineering behaviour of Perth sand. Geomech. Geoengin. 2018, 13, 42–53. [Google Scholar] [CrossRef]
- Elsayed, E.M.; Elnouby, M.S.; Gouda, M.H.; Elessawy, N.A.; Santos, D.M.F. Effect of the morphology of tungsten oxide embedded in sodium alginate/polyvinylpyrrolidone composite beads on the photocatalytic degradation of methylene blue dye solution. Materials 2020, 13, 1905. [Google Scholar] [CrossRef] [PubMed]
- Latifi, N.; Rashid, A.S.A.; Siddiqua, S.; Majid, M.Z.A. Strength measurement and textural characteristics of tropical residual soil stabilised with liquid polymer. Measurement 2016, 91, 46–54. [Google Scholar] [CrossRef]
- Ouwerx, C.; Velings, N.; Mestdagh, M.M.; Axelos, M.A.V. Physico-chemical properties and rheology of alginate gel beads formed with various divalent cations. Polym. Gels Netw. 1998, 6, 393–408. [Google Scholar] [CrossRef]
- Zhang, Y.; Yu, W.; Lv, G.; Zhu, J.; Wang, W.; Ma, X.; Liu, X. The artificial organ: Cell encapsulation. In Reference Module in Biomedical Sciences: Comprehensive Biotechnology (Second Edition); Young, M.M., Ed.; Academic Press: Cambridge, MA, USA, 2011; pp. 99–114. [Google Scholar] [CrossRef]
- Valapa, R.B.; Loganathan, S.; Pugazhenthi, G.; Thomas, S.; Varghese, T.O. An overview of polymer–clay nanocomposites. In Clay–Polymer Nanocomposites; Jlassi, K., Chehimi, M.M., Thomas, S., Eds.; Elsevier: Amsterdam, The Netherlands, 2017; pp. 29–81. ISBN 9780323461535. [Google Scholar] [CrossRef]
- Soltani, A.; Deng, A.; Taheri, A.; Mirzababaei, M. Rubber powder–polymer combined stabilization of South Australian expansive soils. Geosynth. Int. 2018, 25, 304–321. [Google Scholar] [CrossRef]
- ASTM D4609. Standard Guide for Evaluating Effectiveness of Admixtures for Soil Stabilization; ASTM International: West Conshohocken, PA, USA, 2008. [Google Scholar] [CrossRef]
- Iyengar, S.R.; Masad, E.; Rodriguez, A.K.; Bazzi, H.S.; Little, D.; Hanley, H.J.M. Pavement subgrade stabilization using polymers: Characterization and performance. J. Mater. Civ. Eng. 2013, 25, 472–483. [Google Scholar] [CrossRef]
- Shahbazi, M.; Rowshanzamir, M.; Abtahi, S.M.; Hejazi, S.M. Optimization of carpet waste fibers and steel slag particles to reinforce expansive soil using response surface methodology. Appl. Clay Sci. 2017, 142, 185–192. [Google Scholar] [CrossRef]
- Rodriguez, A.K.; Ayyavu, C.; Iyengar, S.R.; Bazzi, H.S.; Masad, E.; Little, D.; Hanley, H.J.M. Polyampholyte polymer as a stabiliser for subgrade soil. Int. J. Pavement Eng. 2018, 19, 467–478. [Google Scholar] [CrossRef]









| Soil Property | Value | Standard |
|---|---|---|
| Particle-size distribution (PSD) | ||
| Sand fraction (2–4.75 mm) (%) | 1 | ASTM D422 [60] |
| Silt fraction (2–75 μm) (%) | 47 | ASTM D422 [60] |
| Clay fraction (<2 μm) (%) | 52 | ASTM D422 [60] |
| Consistency/Atterberg limits | ||
| Liquid limit (LL) (%) | 84.3 | AS 1289.3.9.1 [61] |
| Plastic limit (PL) (%) | 32.0 | AS 1289.3.2.1 [62] |
| Plasticity index (PI) (%) | 52.3 | AS 1289.3.3.1 [63] |
| USCS soil classification | CH a | ASTM D2487 [64] |
| Compaction properties for standard Proctor energy (SPE) | ||
| Specific gravity of soil solids, | 2.73 | ASTM D854 [65] |
| Optimum moisture content (OMC), wopt (%) b | 28.0 | ASTM D698 [66] |
| Maximum dry unit weight (MDUW), γdmax (kN/m3) b | 14.6 | ASTM D698 [66] |
| Void ratio at MDUW, e c | 0.834 | ASTM D698 [66] |
| Group | Sample | fGR (%) a | DSA (g/L) b | Tc (d) c | wo (%) d | γdo (kN/m3) e | eog | |
|---|---|---|---|---|---|---|---|---|
| Untreated | R0S0T0 | 0 | 0 | 0 | 28.0 | 14.6 | 2.73 | 0.834 |
| R5S0T0 | 5 | 26.2 | 14.3 | 2.55 | 0.749 | |||
| R10S0T0 | 10 | 24.5 | 13.8 | 2.40 | 0.706 | |||
| R20S0T0 | 20 | 22.2 | 13.4 | 2.18 | 0.596 | |||
| R30S0T0 | 30 | 20.6 | 12.9 | 2.03 | 0.544 | |||
| SA-treated | R0S5T1,4,7,14 | 0 | 5 | 1, 4, 7, 14 | 28.0 | 14.6 | 2.73 | 0.834 |
| R0S10T1,4,7,14 | 10 | |||||||
| R0S15T1,4,7,14 | 15 | |||||||
| SA-treated | R5S5T1,4,7,14 | 5 | 5 | 1, 4, 7, 14 | 26.2 | 14.3 | 2.55 | 0.749 |
| R5S10T1,4,7,14 | 10 | |||||||
| R5S15T1,4,7,14 | 15 | |||||||
| SA-treated | R10S5T1,4,7,14 | 10 | 5 | 1, 4, 7, 14 | 24.5 | 13.8 | 2.40 | 0.706 |
| R10S10T1,4,7,14 | 10 | |||||||
| R10S15T1,4,7,14 | 15 |
| Sample | OMC, wopt (%) | MDUW, γdmax (kN/m3) | UCS, qu (kPa) | Improvement (%) a |
|---|---|---|---|---|
| R0S0T0 | 28.0 | 14.6 | 127.6 | — |
| R5S0T0 | 26.2 | 14.3 | 146.4 | +15 |
| R10S0T0 | 24.5 | 13.8 | 120.5 | −6 |
| R20S0T0 | 22.2 | 13.4 | 115.4 | −10 |
| R30S0T0 | 20.6 | 12.9 | 81.3 | −36 |
Publisher’s Note: MDPI stays neutral with regard to jurisdictional claims in published maps and institutional affiliations. |
© 2021 by the authors. Licensee MDPI, Basel, Switzerland. This article is an open access article distributed under the terms and conditions of the Creative Commons Attribution (CC BY) license (http://creativecommons.org/licenses/by/4.0/).
Share and Cite
Soltani, A.; Raeesi, R.; Taheri, A.; Deng, A.; Mirzababaei, M. Improved Shear Strength Performance of Compacted Rubberized Clays Treated with Sodium Alginate Biopolymer. Polymers 2021, 13, 764. https://doi.org/10.3390/polym13050764
Soltani A, Raeesi R, Taheri A, Deng A, Mirzababaei M. Improved Shear Strength Performance of Compacted Rubberized Clays Treated with Sodium Alginate Biopolymer. Polymers. 2021; 13(5):764. https://doi.org/10.3390/polym13050764
Chicago/Turabian StyleSoltani, Amin, Ramin Raeesi, Abbas Taheri, An Deng, and Mehdi Mirzababaei. 2021. "Improved Shear Strength Performance of Compacted Rubberized Clays Treated with Sodium Alginate Biopolymer" Polymers 13, no. 5: 764. https://doi.org/10.3390/polym13050764
APA StyleSoltani, A., Raeesi, R., Taheri, A., Deng, A., & Mirzababaei, M. (2021). Improved Shear Strength Performance of Compacted Rubberized Clays Treated with Sodium Alginate Biopolymer. Polymers, 13(5), 764. https://doi.org/10.3390/polym13050764

