Esterification of Cellulose with Long Fatty Acid Chain through Mechanochemical Method
Abstract
:1. Introduction
2. Materials and Methods
2.1. Materials
2.2. Preparation of Cellulose Oleate (CO)
2.3. Characterizations
2.3.1. Fourier Transform Infrared (FTIR) Spectroscopy
2.3.2. Solid-State Nuclear Magnetic Resonance (ssNMR)
2.3.3. Thermogravimetric Analysis (TGA)
2.3.4. Scanning Electron Microscopy (SEM)
2.3.5. X-Ray Diffraction (XRD) Analysis
2.3.6. Differential Scanning Calorimetry (DSC) Analysis
3. Results and Discussion
3.1. Preparation of Cellulose Oleate (CO)
3.2. Chemical Structure of Cellulose Oleates (CO)
3.3. The Effect of Reaction Conditions on DS of Cellulose Oleate (CO)
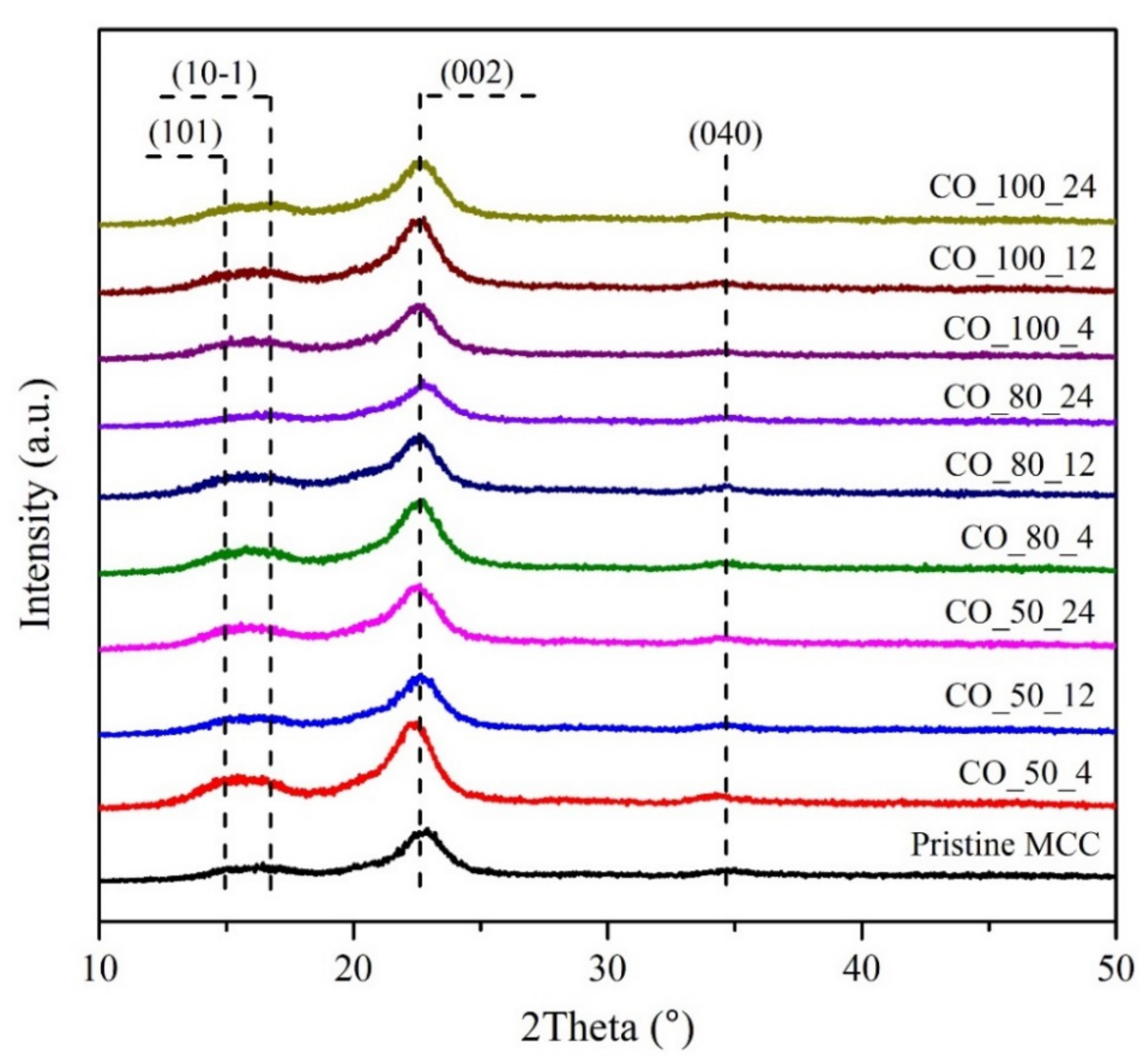
3.4. Crystal Structure of Cellulose Oleates (CO)
3.5. Thermal Stability of Cellulose Oleate (CO)
3.6. Surface Morphology of Cellulose Oleate (CO) by SEM Analysis
4. Conclusions
Supplementary Materials
Author Contributions
Funding
Institutional Review Board Statement
Informed Consent Statement
Data Availability Statement
Acknowledgments
Conflicts of Interest
References
- Chen, T.; Liu, W. Highly unsaturated microcrystalline cellulose and its cross-linked soybean-oil-based thermoset composites. ACS Sustain. Chem. Eng. 2019, 7, 1796–1805. [Google Scholar] [CrossRef]
- Zhang, J.; Chen, W.; Feng, Y.; Wu, J.; Yu, J.; He, J.; Zhang, J. Homogeneous esterification of cellulose in room temperature ionic liquids. Polym. Int. 2015, 64, 963–970. [Google Scholar] [CrossRef]
- Wang, Y.; Wang, X.; Xie, Y.; Zhang, K. Functional nanomaterials through esterification of cellulose: A review of chemistry and application. Cellulose 2018, 25, 3703–3731. [Google Scholar] [CrossRef] [Green Version]
- David, G.; Gontard, N.; Angellier-Coussy, H. Mitigating the impact of cellulose particles on the performance of biopolyester-based composites by gas-phase esterification. Polymers 2019, 11, 200. [Google Scholar] [CrossRef] [Green Version]
- Huang, L.; Wu, Q.; Wang, Q.; Wolcott, M. One-step activation and surface fatty acylation of cellulose fibers in a solvent-free condition. ACS Sustain. Chem. Eng. 2019, 7, 15920–15927. [Google Scholar] [CrossRef]
- Jebrane, M.; Terziev, N.; Heinmaa, I. Biobased and sustainable alternative route to long-chain cellulose esters. Biomacromolecules 2017, 18, 498–504. [Google Scholar] [CrossRef]
- Andou, Y.; Lee, H.S.; Kim, D.; Nagasawa, N.; Nishida, H.; Shirai, Y. Enhancement of compatibility based on vapor-phase-assisted surface polymerization (VASP) method for polymer composites with agricultural wastes. Compos. Interfaces 2014, 9, 773–785. [Google Scholar] [CrossRef]
- Vaca-Garcia, C.; Thiebaud, S.; Borredon, M.E.; Gozzelino, G. Cellulose esterification with fatty acids and acetic anhydride in lithium chloride/N,N-dimethylacetamide medium. J. Am. Oil. Chem. Soc. 1998, 75, 315–319. [Google Scholar] [CrossRef] [Green Version]
- Kulpinski, P. Cellulose nanofibers prepared by the N-methylmorpholine-N-oxide method. J. Appl. Polym. Sci. 2005, 98, 1855–1859. [Google Scholar] [CrossRef]
- Onwukamike, K.N.; Grelier, S.; Grau, E.; Cramail, H.; Meier, M.A.R. Sustainable transesterification of cellulose with high oleic sunflower oil in a DBU-CO2 switchable solvent. ACS Sustain. Chem. Eng. 2018, 6, 8826–8835. [Google Scholar] [CrossRef]
- Gericke, M.; Fardim, P.; Heinze, T. Ionic liquids—Promising but challenging solvents for homogeneous derivatization of cellulose. Molecules 2012, 17, 7458–7502. [Google Scholar] [CrossRef] [Green Version]
- Liu, H.R.; Yu, H.W.; Zhou, E.P.; Zhang, X.H.; Zhang, X.C. Influence of anions of imidazole ionic liquids on dissolution of cellulose. Asian J. Chem. 2013, 25, 8266–8270. [Google Scholar] [CrossRef]
- Verma, C.; Mishra, A.; Chauhan, S.; Verma, P.; Srivastava, V.; Quraishi, M.A.; Ebenso, E.E. Dissolution of cellulose in ionic liquids and their mixed cosolvents: A review. Sustain. Chem. Pharm. 2019, 13, 100162. [Google Scholar] [CrossRef]
- Wu, J.; Zhang, H.; He, J.; Ren, Q.; Guo, M. Homogeneous acetylation and regioselectivity of cellulose in a new ionic liquid. Biomacromolecules 2004, 5, 266–268. [Google Scholar] [CrossRef]
- Liu, Y.; Jing, S.; Carvalho, D.; Fu, J.; Martins, M.; Cavaco-Paulo, A. Cellulose dissolved in ionic liquids for modification of the shape of keratin fibers. ACS Sustain. Chem. Eng. 2021, 9, 4102–4110. [Google Scholar] [CrossRef]
- Kakuchi, R.; Ito, R.; Nomura, S.; Abroshan, H.; Ninomiya, K.; Ikai, T.; Maeda, K.; Kim, H.J.; Takahashi, K. A mechanistic insight into the organocatalytic properties of imidazolium-based ionic liquids and a positive co-solvent effect on cellulose modification reactions in an ionic liquid. RCS Adv. 2017, 7, 9423–9430. [Google Scholar]
- Tang, L.; Huang, B.; Yang, N.; Li, T.; Lin, W.; Chen, X. Organic solvent-free and efficient manufacture of functionalized cellulose nanocrystals via one-pot tande reactions. Green Chem. 2013, 15, 2369–2373. [Google Scholar] [CrossRef]
- Eksiler, K.; Andou, Y.; Yilmaz, F.; Shirai, Y.; Ariffin, H.; Hassan, M.A. Dynamically controlled fibrillation under combination of ionic liquid with mechanical grinding. J. Appl. Polym. Sci. 2016, 134, 44469. [Google Scholar] [CrossRef]
- Kuga, S.; Wu, M. Mechanochemistry of cellulose. Cellulose 2019, 26, 215–225. [Google Scholar] [CrossRef]
- Hou, D.F.; Li, M.L.; Yan, C.; Zhou, L.; Liu, Z.Y.; Yang, W.; Yang, M.B. Mechanochemical preparation of thermoplastic cellulose oleate by ball milling. Green Chem. 2021, 23, 2069–2078. [Google Scholar] [CrossRef]
- Wu, Z.; Liu, P.; Wu, Z.; Cravotto, G. In situ modification of activated carbons by oleic acid under microwave heating to improve adsorptive removal of naphthalene in aqueous solutions. Processes 2021, 9, 391. [Google Scholar] [CrossRef]
- Jandura, P.; Kokta, B.V.; Riedl, B. Fibrous long-chain organic acid cellulose esters and their characterization by diffuse reflectance FTIR spectroscopy, solid-state CP/MAS 13C-NMR, and x-ray diffraction. J. Appl. Polym. Sci. 2000, 78, 1354–1365. [Google Scholar] [CrossRef]
- Almasi, H.; Ghanbarzadeh, B.; Dehghannia, J.; Pirsa, S.; Zandi, M. Heterogeneous modification of softwoods cellulose nanofibers with oleic acid: Effect of reaction time and oleic acid concentration. Fibers Polym. 2015, 16, 1715–1722. [Google Scholar] [CrossRef]
- Huang, F.Y.; Yu, Y.; Wu, X.J. Characterization and properties of cellulose oleate. Adv. Mater. Res. 2011, 197–198, 1306–1309. [Google Scholar] [CrossRef]
- Duchatel-Crépy, L.; Joly, N.; Martin, P.; Marin, A.; Tahon, J.F.; Lefebvre, J.M.; Gaucher, V. Substitution degree and fatty chain length influence on structure and properties of fatty acid cellulose esters. Carbohydr. Polym. 2019, 234, 115912. [Google Scholar] [CrossRef] [PubMed]
- Shin, Y.; Winder, E.M.; Han, K.S.; Lee, H.; Bonheyo, G.T. Enhanced capacities of mixed fatty acid-modified sawdust aggregators for remediation of crude oil spill. ACS Omega 2019, 4, 412–420. [Google Scholar] [CrossRef]
- Freire, C.S.R.; Silvestre, A.J.D.; Neto, C.P.; Belgacem, M.N.; Gandini, A. Controlled heterogeneous modification of cellulose fibers with fatty acids: Effect of reaction conditions on the extent of esterification and fiber properties. J. Appl. Polym. Sci. 2006, 100, 1093–1102. [Google Scholar] [CrossRef]
- Liu, C.F.; Sun, R.C.; Zhang, A.P.; Ren, J.L.; Wang, X.A.; Qin, M.H.; Chao, Z.N.; Luo, W. Homogeneous modification of sugarcane bagasse cellulose with succinic anhydride using a ionic liquid as reaction medium. Carbohydr. Res. 2007, 342, 919–926. [Google Scholar] [CrossRef] [PubMed]
- Zhao, G.; Wang, F.; Lang, X.; He, B.; Li, J.; Li, X. Facile one-pot fabrication of cellulose nanocrystals and enzymatic synthesis of its esterified derivative in mixed ionic liquids. RSC Adv. 2017, 7, 27017–27023. [Google Scholar] [CrossRef]
- Low, F.W.; Samsudin, N.A.; Yusoff, Y.; Tiong, S.K. Hydrolytic cleavage of glycosidic bonds for cellulose nanoparticles (CNPs) production by BmimHSO4 ionic liquid catalyst. Thermochim. Acta 2020, 684, 178484. [Google Scholar] [CrossRef]
- Almasi, H.; Ghanbarzadeh, B.; Dehghannya, J.; Entezami, A.A.; Asl, A.K. Novel nanocomposites based on fatty acid modified cellulose nanofibers/poly(lactic acid): Morphological and physical properties. Food Packag. Shelf Life 2015, 5, 21–31. [Google Scholar] [CrossRef]
- Chen, Z.; Zhang, J.; Xiao, P.; Tian, W.; Zhang, J. Novel thermoplastic cellulose esters containing bulky moieties and soft segments. ACS Sustain. Chem. Eng. 2018, 6, 4931–4939. [Google Scholar] [CrossRef]
- Uschanov, P.; Johansson, L.S.; Maunu, S.L.; Laine, J. Heterogeneous modification of various celluloses with fatty acids. Cellulose 2011, 18, 393–404. [Google Scholar] [CrossRef]
- Sang, X.; Qin, C.; Tong, Z.; Kong, S.; Jia, Z.; Wan, G.; Liu, X. Mechanism and kinetics studies of carboxyl group formation on the surface of cellulose fiber in a TEMPO-mediated system. Cellulose 2017, 24, 2415–2425. [Google Scholar] [CrossRef]
- Lubis, M.; Gana, A.; Maysarah, S.; Ginting, M.H.S.; Harahap, M.B. Production of bioplastic from jackfruit seed starch (Artocarpus heterophyllus) reinforced with microcrystalline cellulose from cocoa pod husk (Theobroma cacao L) using glycerol as plasticizer. IOP Conf. Ser. Mater. Sci. Eng. 2018, 309, 012100. [Google Scholar] [CrossRef]
- Chuayjuljit, S.; Su-Uthai, S.; Tunwattaseree, C.; Charuchinda, S. Preparation of microcrystalline cellulose from waste-cotton fabric for biodegradability enhancement of natural rubber sheets. J. Reinf. Plast. Compos. 2019, 15, 146–154. [Google Scholar] [CrossRef]
- Hamdaoui, L.E.; Es-said, A.; Elmarouani, M.; Bouchti, M.E.; Bchitou, R.; Kifani-Sahban, F.; Moussaouiti, M.E. Tosylation optimization, characterization and pyrolysis kinetics of cellulose tosylate. ChemistrySelect 2020, 5, 7695–7703. [Google Scholar] [CrossRef]
- Hu, H.; Li, H.; Zhang, Y.; Chen, Y.; Huang, Z.; Huang, A.; Zhu, Y.; Qin, X.; Lin, B. Green mechanical activation-assisted solid phase synthesis of cellulose esters using a co-reactant: Effect of chain length of fatty acids on reaction efficiency and structure properties of products. RSC Adv. 2015, 5, 20656–20662. [Google Scholar] [CrossRef]







| Samples | Temperature (°C) | Reaction Time (h) | DS |
|---|---|---|---|
| CO_50_4 | 50 | 4 | 0.030 |
| CO_50_12 | 50 | 12 | 0.014 |
| CO_50_24 | 50 | 24 | 0.001 |
| CO_80_4 | 80 | 4 | 0.091 |
| CO_80_12 | 80 | 12 | 0.104 |
| CO_80_24 | 80 | 24 | 0.088 |
| CO_100_4 | 100 | 4 | 0.132 |
| CO_100_12 | 100 | 12 | 0.210 |
| CO_100_24 | 100 | 24 | 0.204 |
| Sample | (002) Peak Position (2θ) | Max Intensity (counts/s) | FWHM (2θ) | CrI (%) | Crystallite Size(nm) |
|---|---|---|---|---|---|
| MCC | 22.99 | 141 | 1.92 | 86.30 | 4.41 |
| CO_50_4 | 22.33 | 250 | 1.92 | 82.17 | 4.41 |
| CO_50_12 | 22.83 | 162 | 1.92 | 82.63 | 4.41 |
| CO_50_24 | 22.39 | 186 | 2.11 | 79.75 | 4.01 |
| CO_80_4 | 22.62 | 223 | 2.11 | 82.97 | 4.01 |
| CO_80_12 | 22.72 | 170 | 1.92 | 78.77 | 4.41 |
| CO_80_24 | 22.79 | 121 | 1.73 | 84.62 | 4.89 |
| CO_100_4 | 22.77 | 146 | 1.73 | 80.00 | 4.89 |
| CO_100_12 | 22.83 | 157 | 1.92 | 80.83 | 4.41 |
| CO_100_24 | 22.70 | 163 | 1.73 | 79.81 | 4.89 |
Publisher’s Note: MDPI stays neutral with regard to jurisdictional claims in published maps and institutional affiliations. |
© 2021 by the authors. Licensee MDPI, Basel, Switzerland. This article is an open access article distributed under the terms and conditions of the Creative Commons Attribution (CC BY) license (https://creativecommons.org/licenses/by/4.0/).
Share and Cite
Lease, J.; Kawano, T.; Andou, Y. Esterification of Cellulose with Long Fatty Acid Chain through Mechanochemical Method. Polymers 2021, 13, 4397. https://doi.org/10.3390/polym13244397
Lease J, Kawano T, Andou Y. Esterification of Cellulose with Long Fatty Acid Chain through Mechanochemical Method. Polymers. 2021; 13(24):4397. https://doi.org/10.3390/polym13244397
Chicago/Turabian StyleLease, Jacqueline, Tessei Kawano, and Yoshito Andou. 2021. "Esterification of Cellulose with Long Fatty Acid Chain through Mechanochemical Method" Polymers 13, no. 24: 4397. https://doi.org/10.3390/polym13244397
APA StyleLease, J., Kawano, T., & Andou, Y. (2021). Esterification of Cellulose with Long Fatty Acid Chain through Mechanochemical Method. Polymers, 13(24), 4397. https://doi.org/10.3390/polym13244397

