The Effect of Different Cleaning Methods on Protein Deposition and Optical Characteristics of Orthokeratology Lenses
Abstract
:1. Introduction
2. Materials and Methods
2.1. Orthokeratology Lenses, Contact Lens Care Solution, and Artificial Tear solution
2.2. Short-Term Protein Deposition Analysis
2.3. Long-Term Lysosomal Deposition Assay
2.4. Optical Characteristics of Orthokeratology Lens
2.5. Statistical Analysis
3. Results
3.1. Proteins Are Absorbed Increasingly in the Presence of Lipids
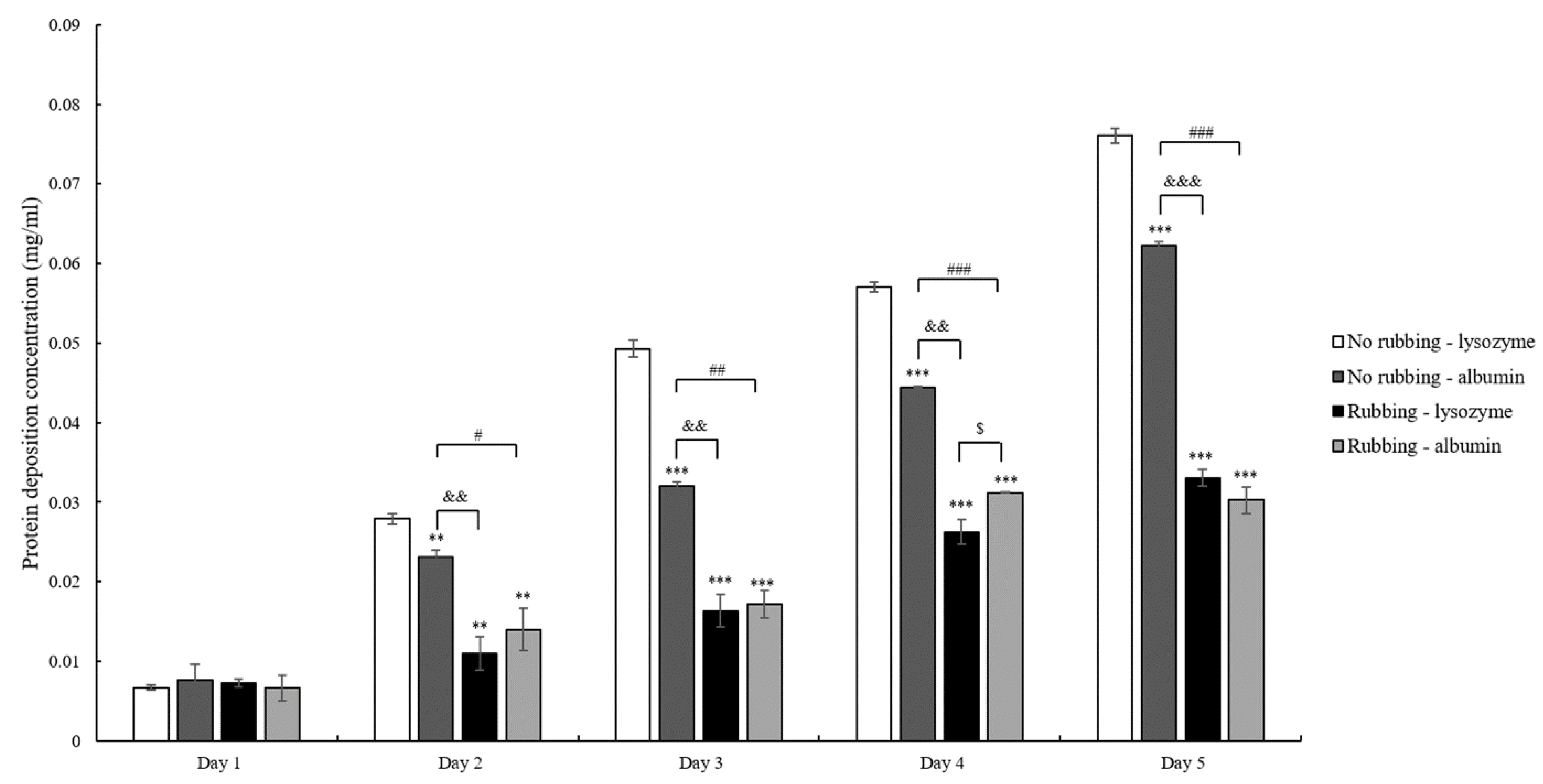
3.2. Rubbing the Lens Effectively Removes Absorbed Proteins from the Lens
3.3. Lysozyme Deposition on the Lens Tends to Be Stable after 14 Days
3.4. Optical Characteristics of Orthokeratology Lenses Changed after Long-Term of Lysozyme Deposition
4. Discussion
5. Conclusions
Author Contributions
Funding
Institutional Review Board Statement
Informed Consent Statement
Data Availability Statement
Conflicts of Interest
References
- Van Meter, W.S.; Musch, D.C.; Jacobs, D.S.; Kaufman, S.C.; Reinhart, W.J.; Udell, I.J. Safety of overnight orthokeratology for myopia: A report by the american academy of ophthalmology. Ophthalmology 2008, 115, 2301–2313 e2301. [Google Scholar] [CrossRef] [PubMed]
- Bullimore, M.A.; Johnson, L.A. Overnight orthokeratology. Cont. Lens Anterior Eye 2020, 43, 322–332. [Google Scholar] [CrossRef] [PubMed]
- Santodomingo-Rubido, J.; Villa-Collar, C.; Gilmartin, B.; Gutierrez-Ortega, R. Orthokeratology vs. Spectacles: Adverse events and discontinuations. Optom. Vis. Sci. 2012, 89, 1133–1139. [Google Scholar] [CrossRef] [PubMed]
- Liu, Y.M.; Xie, P. The safety of orthokeratology--A systematic review. Eye Contact Lens 2016, 42, 35–42. [Google Scholar] [CrossRef] [PubMed]
- Hsiao, C.H.; Lin, H.C.; Chen, Y.F.; Ma, D.H.; Yeh, L.K.; Tan, H.Y.; Huang, S.C.; Lin, K.K. Infectious keratitis related to overnight orthokeratology. Cornea 2005, 24, 783–788. [Google Scholar] [CrossRef] [PubMed]
- Cope, J.R.; Collier, S.A.; Schein, O.D.; Brown, A.C.; Verani, J.R.; Gallen, R.; Beach, M.J.; Yoder, J.S. Acanthamoeba keratitis among rigid gas permeable contact lens wearers in the united states, 2005 through 2011. Ophthalmology 2016, 123, 1435–1441. [Google Scholar] [CrossRef] [PubMed] [Green Version]
- Vincent, S.J.; Cho, P.; Chan, K.Y.; Fadel, D.; Ghorbani-Mojarrad, N.; Gonzalez-Meijome, J.M.; Johnson, L.; Kang, P.; Michaud, L.; Simard, P.; et al. Clear-orthokeratology. Cont. Lens Anterior Eye 2021, 44, 240–269. [Google Scholar] [CrossRef] [PubMed]
- Allansmith, M.R.; Korb, D.R.; Greiner, J.V.; Henriquez, A.S.; Simon, M.A.; Finnemore, V.M. Giant papillary conjunctivitis in contact lens wearers. Am. J. Ophthalmol. 1977, 83, 697–708. [Google Scholar] [CrossRef]
- Skotnitsky, C.; Sankaridurg, P.R.; Sweeney, D.F.; Holden, B.A. General and local contact lens induced papillary conjunctivitis (clpc). Clin. Exp. Optom. 2002, 85, 193–197. [Google Scholar] [CrossRef] [PubMed]
- Cho, P.; Poon, H.Y.; Chen, C.C.; Yuon, L.T. To rub or not to rub?-effective rigid contact lens cleaning. Ophthalmic Physiol. Opt. 2020, 40, 17–23. [Google Scholar] [CrossRef] [PubMed]
- Choy, C.K.; Cho, P.; Benzie, I.F.; Ng, V. Effect of one overnight wear of orthokeratology lenses on tear composition. Optom. Vis. Sci. 2004, 81, 414–420. [Google Scholar] [CrossRef] [PubMed]
- Sack, R.A.; Tan, K.O.; Tan, A. Diurnal tear cycle: Evidence for a nocturnal inflammatory constitutive tear fluid. Invest. Ophthalmol. Vis. Sci. 1992, 33, 626–640. [Google Scholar] [PubMed]
- Omali, N.B.; Subbaraman, L.N.; Heynen, M.; Ng, A.; Coles-Brennan, C.; Fadli, Z.; Jones, L. Surface versus bulk activity of lysozyme deposited on hydrogel contact lens materials in vitro. Cont. Lens Anterior Eye 2018, 41, 329–334. [Google Scholar] [CrossRef] [PubMed]
- Su, C.Y.; Lai, C.C.; Yeh, L.K.; Li, K.Y.; Shih, B.W.; Tseng, C.L.; Fang, H.W. The characteristics of a preservative-free contact lens care solution on lysozyme adsorption and interfacial friction behavior. Colloids Surf. B Biointerfaces 2018, 171, 538–543. [Google Scholar] [CrossRef] [PubMed]
- ISO. 18369-2 Ophthalmic Optics—Contact Lenses—Part 2: Tolerances; International Standarization Organization: Geneva, Switzerland, 2017. [Google Scholar]
- Bontempo, A.R.; Rapp, J. Protein-lipid interaction on the surface of a rigid gas-permeable contact lens in vitro. Curr. Eye Res. 1997, 16, 1258–1262. [Google Scholar] [CrossRef] [PubMed]
- Luensmann, D.; Jones, L. Albumin adsorption to contact lens materials: A review. Cont. Lens Anterior Eye 2008, 31, 179–187. [Google Scholar] [CrossRef] [PubMed]
- Omali, N.B.; Subbaraman, L.N.; Coles-Brennan, C.; Fadli, Z.; Jones, L.W. Biological and clinical implications of lysozyme deposition on soft contact lenses. Optom. Vis. Sci. 2015, 92, 750–757. [Google Scholar] [CrossRef] [PubMed]
- Garrett, Q.; Griesser, H.J.; Milthorpe, B.K.; Garrett, R.W. Irreversible adsorption of human serum albumin to hydrogel contact lenses: A study using electron spin resonance spectroscopy. Biomaterials 1999, 20, 1345–1356. [Google Scholar] [CrossRef]
- Kiel, J.S. Protein removal from soft contact lens using disinfection/neutralization with hydrogen peroxide/catalytic disc. Clin. Ther. 1993, 15, 30–35. [Google Scholar] [PubMed]
- Lorentz, H.; Heynen, M.; Tran, H.; Jones, L. Using an in vitro model of lipid deposition to assess the efficiency of hydrogen peroxide solutions to remove lipid from various contact lens materials. Curr. Eye Res. 2012, 37, 777–786. [Google Scholar] [CrossRef] [PubMed]
- Mountford, J. A Model of Forces Acting in Orthokeratology; Butterworth-Heinemann: Edinburgh, UK, 2004. [Google Scholar]





| Category | Component | Stock Concentration (mg/mL) | Final Concentration in Artificial Tear Solution (mg/mL) |
|---|---|---|---|
| Complex of salt solution | Sodium chloride | N.A. | 5.26 |
| Potassium chloride | 1.19 | ||
| Sodium citrate | 0.44 | ||
| Glucose | 0.036 | ||
| Urea | 0.072 | ||
| Calcium chloride | 0.07 | ||
| Sodium carbonate | 1.27 | ||
| Potassium hydrogen carbonate | 0.30 | ||
| Sodium phosphate dibasic | 3.41 | ||
| Hydrochloric acid | 0.94 | ||
| ProClin 300 | 200 μL/liter of solution | ||
| Lipid stock solution | Oleic acid | 3.6 | 0.0018 |
| Oleic acid methyl ester | 24.0 | 0.012 | |
| Triolein | 32.0 | 0.016 | |
| Cholesterol | 3.6 | 0.0018 | |
| Cholesteryl oleate | 48.0 | 0.024 | |
| Phosphatidylcholine | 1.0 | 0.0005 | |
| Protein | Lysozyme | N.A. | 2.0 |
| Albumin | 0.2 |
| Cleaning Method | Item | Before | After | |||||
|---|---|---|---|---|---|---|---|---|
| BC (mm) | CT (mm) | PW (degree) | BC (mm) | CT (mm) | PW (degree) | Contact Angle (°) | ||
| No rubbing | 1 | 8.60 | 0.23 | +0.69 | 8.60 | 0.23 | +0.66 | 15.09 |
| 2 | 8.73 | 0.22 | +0.77 | 8.72 | 0.22 | +0.71 | 23.71 | |
| 3 | 9.11 | 0.23 | +1.10 | 9.10 | 0.23 | +1.11 | 13.02 | |
| Rubbing | 1 | 9.01 | 0.24 | +0.93 | 8.92 # | 0.24 | +0.74 | 80.29 |
| 2 | 8.57 | 0.23 | +0.76 | 8.57 | 0.24 | +0.76 | 64.56 | |
| 3 | 8.71 | 0.21 | −0.62 | 8.71 | 0.24 # | −0.48 | 52.32 | |
| Cleaning Method | Item | Before | After | ||||
|---|---|---|---|---|---|---|---|
| VIS | UVA | UVB | VIS | UVA | UVB | ||
| No Rubbing | 1 | 83.85 | 12.63 | 0.734 | 85.18 | 12.86 | 0.779 |
| 2 | 88.06 | 13.96 | 1.061 | 83.26 | 12.89 | 0.909 | |
| 3 | 82.98 | 12.24 | 0.677 | 76.69 | 11.52 | 0.785 | |
| Rubbing | 1 | 87.86 | 13.55 | 0.831 | 78.19 | 10.74 | 0.523 |
| 2 | 84.99 | 12.37 | 0.629 | 83.41 | 12.26 | 0.675 | |
| 3 | 84.12 | 13.44 | 0.987 | 83.73 | 13.23 | 1.014 | |
Publisher’s Note: MDPI stays neutral with regard to jurisdictional claims in published maps and institutional affiliations. |
© 2021 by the authors. Licensee MDPI, Basel, Switzerland. This article is an open access article distributed under the terms and conditions of the Creative Commons Attribution (CC BY) license (https://creativecommons.org/licenses/by/4.0/).
Share and Cite
Su, C.-Y.; Yeh, L.-K.; Tsao, Y.-F.; Lin, W.-P.; Hou, C.-H.; Huang, H.-F.; Lai, C.-C.; Fang, H.-W. The Effect of Different Cleaning Methods on Protein Deposition and Optical Characteristics of Orthokeratology Lenses. Polymers 2021, 13, 4318. https://doi.org/10.3390/polym13244318
Su C-Y, Yeh L-K, Tsao Y-F, Lin W-P, Hou C-H, Huang H-F, Lai C-C, Fang H-W. The Effect of Different Cleaning Methods on Protein Deposition and Optical Characteristics of Orthokeratology Lenses. Polymers. 2021; 13(24):4318. https://doi.org/10.3390/polym13244318
Chicago/Turabian StyleSu, Chen-Ying, Lung-Kun Yeh, Yi-Fei Tsao, Wen-Pin Lin, Chiun-Ho Hou, Hsueh-Fang Huang, Chi-Chun Lai, and Hsu-Wei Fang. 2021. "The Effect of Different Cleaning Methods on Protein Deposition and Optical Characteristics of Orthokeratology Lenses" Polymers 13, no. 24: 4318. https://doi.org/10.3390/polym13244318
APA StyleSu, C.-Y., Yeh, L.-K., Tsao, Y.-F., Lin, W.-P., Hou, C.-H., Huang, H.-F., Lai, C.-C., & Fang, H.-W. (2021). The Effect of Different Cleaning Methods on Protein Deposition and Optical Characteristics of Orthokeratology Lenses. Polymers, 13(24), 4318. https://doi.org/10.3390/polym13244318

