The Effects of Adding Heartwood Extractives from Acacia confusa on the Lightfastness Improvement of Refined Oriental Lacquer
Abstract
:1. Introduction
2. Materials and Methods
2.1. Materials
2.2. Manufacture of ROL
2.3. Manufacture of Heartwood Extractives
2.4. Determination of the Properties of Heartwood Extractives
2.4.1. Measurement of Total Phenolics Contents (TPC)
2.4.2. Measurement of Total Flavonoid Content (TFC)
2.5. Manufacture of Heartwood Extractive-Containing ROL
2.6. Evaluation of Coating Properties
2.7. Manufacture and Evaluation of Film Properties
3. Results and Discussion
3.1. Heartwood Extractives of A. confusa Soaked in Different Solvents
3.2. Coating Properties of ROL with Various A. confusa Heartwood Extractive Additions
3.3. Film Lightfastness of ROL
3.4. FTIR Analyses
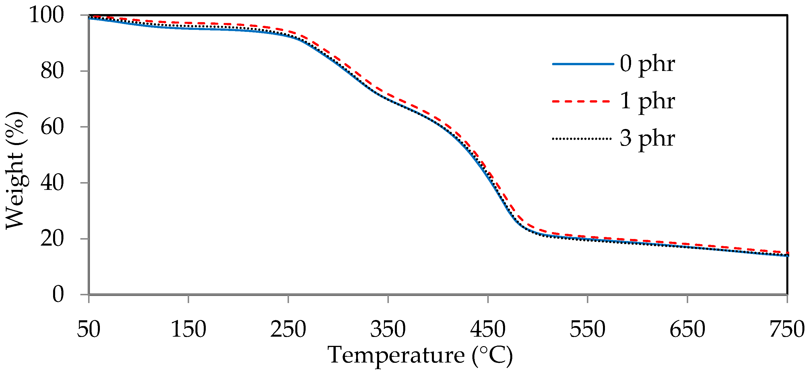
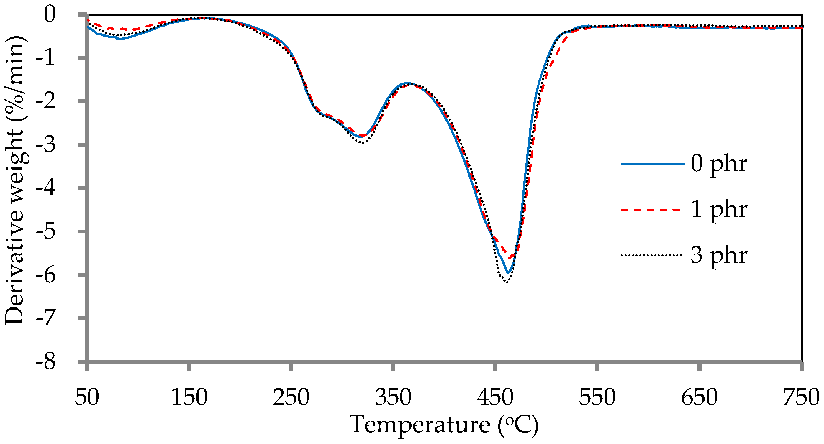
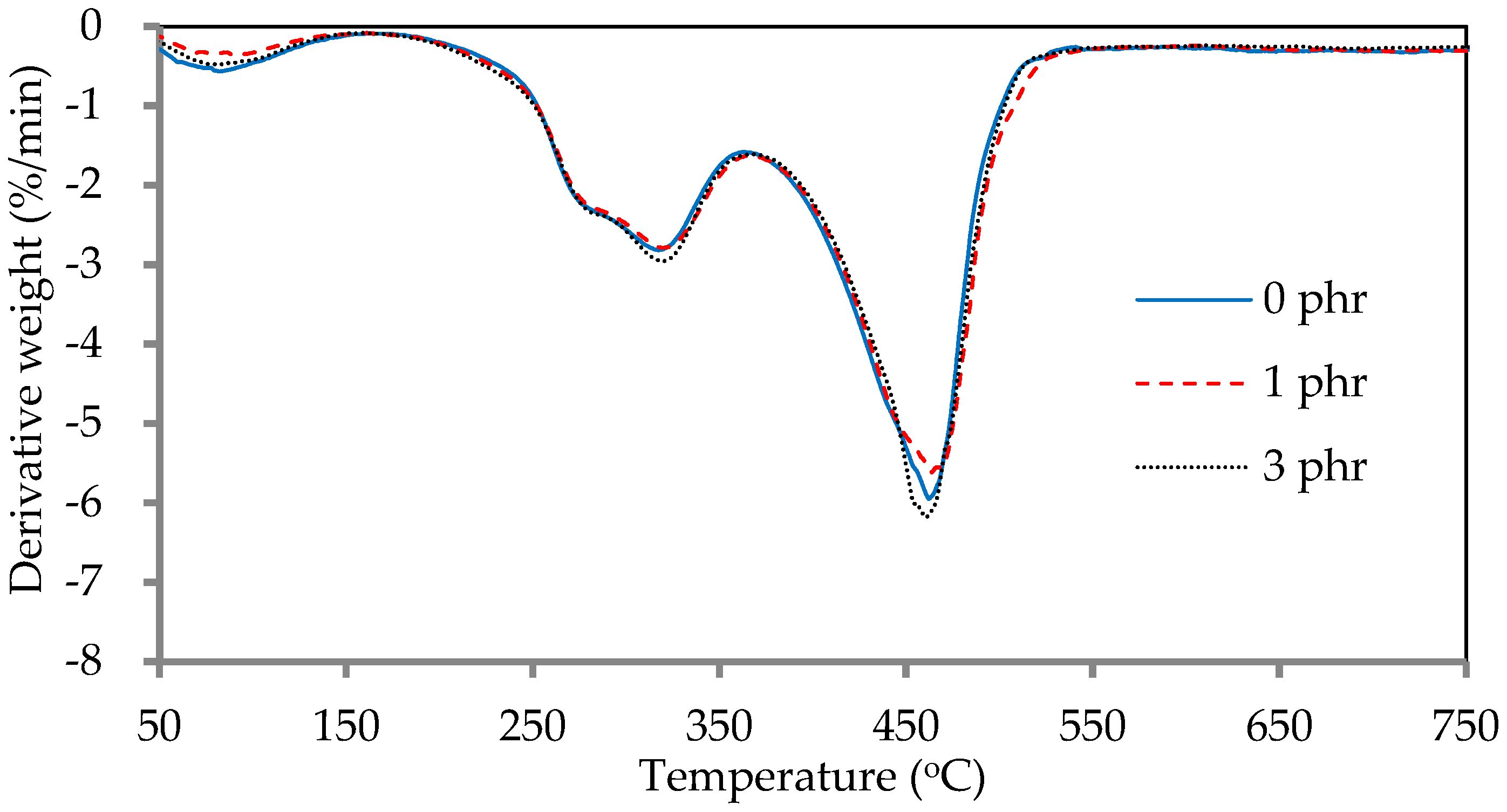
3.5. Film Properties
4. Conclusions
Author Contributions
Funding
Institutional Review Board Statement
Informed Consent Statement
Data Availability Statement
Conflicts of Interest
References
- Niimura, N.; Miyakoshi, T.; Onodera, J.; Higuchi, T. Characterization of Rhus vernicifera and Rhus succedanea lacquer films and their pyrolysis mechanisms studied using two-stage pyrolysis-gas chromatography/mass spectrometry. J. Anal. Appl. Pyrolysis 1996, 37, 199–209. [Google Scholar] [CrossRef]
- Honda, T.; Lu, R.; Sakai, R.; Ishimura, T.; Miyakoshi, T. Characterization and comparison of Asian lacquer saps. Prog. Org. Coat. 2008, 61, 68–75. [Google Scholar] [CrossRef]
- Kumanotani, J. Urushi (oriental lacquer)—A natural aesthetic durable and future-promising coating. Prog. Org. Coat. 1995, 26, 163–195. [Google Scholar] [CrossRef]
- Chang, C.W.; Lee, H.L.; Lu, K.T. Manufacture and characteristics of oil-modified refined lacquer for wood coatings. Coatings 2019, 9, 11. [Google Scholar] [CrossRef] [Green Version]
- Lu, R.; Harigaya, S.; Ishimura, T.; Nagase, K.; Miyakoshi, T. Development of a fast-drying lacquer based on raw lacquer sap. Prog. Org. Coat. 2004, 51, 238–243. [Google Scholar] [CrossRef]
- Niimura, N.; Miyakoshi, T. Structural study of oriental lacquer films during the hardening process. Talanta 2006, 70, 146–152. [Google Scholar] [CrossRef]
- Niimura, N.; Miyakoshi, T. Characterization of synthesized lacquer analogue films using X-ray photoelectron spectroscopy. Surf. Interface Anal. 2000, 29, 381–385. [Google Scholar] [CrossRef]
- Okahisa, Y.; Narita, C.; Yoshimura, T. Resistance of wood coated with oriental lacquer (urushi) against damage caused by subterranean termite. Wood Sci. 2019, 65, 41–49. [Google Scholar] [CrossRef]
- Sandak, A.; Földvári-Nagy, E.; Poohphajai, F.; Diaz, R.H.; Gordobil, O.; Sajinčič, N.; Ponnuchamy, V.; Sandak, J. Hybrid approach for wood modification: Characterization and evaluation of weathering resistance of coatings on acetylated wood. Coatings 2021, 11, 658. [Google Scholar] [CrossRef]
- Wiles, D.M.; Carlsson, D.J. Stop photodegradation. Chemtech 1981, 11, 158–161. [Google Scholar]
- Rabek, J.F. Polymer Photodegradation-Mechanisms and Experimental Methods; Chapman & Hall: London, UK, 1995; pp. 24–31. [Google Scholar]
- Hong, J.W.; Park, M.Y.; Kim, H.K.; Choi, J.O. UV-degradation chemistry of oriental lacquer coating containing hinder amine light stabilizer. Bull. Korean Chem. Soc. 2000, 21, 61–64. [Google Scholar]
- Chang, C.W.; Lee, J.J.; Lu, K.T. The effects of adding different HALS on the curing process, film properties and lightfastness of refined oriental lacquer. Polymers 2020, 12, 990. [Google Scholar] [CrossRef] [PubMed]
- Lee, J.J.; Chang, C.W.; Lu, K.T. Effect of adding amounts of HALS on the lightfastness improvement of refined oriental lacquer. Forest Prod. Ind. 2018, 37, 193–203. [Google Scholar]
- Linsebigler, A.L.; Lu, G.; Yates, J.T. Photocatalysis on TiO2 surfaces: Principles, mechanisms, and selected results. Chem. Rev. 1995, 95, 735–758. [Google Scholar] [CrossRef]
- Valet, A. Light stabilization of radiation cured coating. Poly. Paint Colour J. 1992, 182, 406–411. [Google Scholar]
- Rabek, J.F. Photostabilization of Polymers: Principles and Applications; Elsevier Applied Science: East Lansing, MI, USA, 1990; pp. 357–368. [Google Scholar]
- René, D.L. Polymer stabilizers. a survey with reference to possible applications in the conservation field. Stud. Conserv. 1988, 33, 9–22. [Google Scholar]
- Bulian, F.; Graystone, J.A. Wood Coatings: Theory and Practice; Elsevier: Amsterdam, The Netherlands, 2009; pp. 195–231. [Google Scholar]
- Lee, J.J.; Lu, K.T. Effects of adding amounts of TiO2 on the lightfastness improvement and film properties of refined oriental lacquer. Q. J. Chin. For. 2019, 52, 17–34. [Google Scholar]
- Lu, K.T.; Lee, J.J. Effects of adding antioxidants on the lightfastness improvement of refined oriental lacquer. Polymers 2021, 13, 1110. [Google Scholar] [CrossRef]
- Leskinen, Y.; Salas, C.; Kelley, S.; Argyropoulos, D. Wood extractives promote cellulase activity on cellulosic substrates. Biomacromolecules 2015, 16, 3326–3334. [Google Scholar] [CrossRef]
- Szadkowski, J.; Antczak, A. The yield of model hydrolysis and fermentation in the technology of bioethanol production from poplar wood (Populus sp.). Przem. Chem. 2017, 1, 48–50. [Google Scholar]
- Szadkowska, D.; Zawadzki, J.; Kozakiewicz, P.; Radomski, A. Identification of extractives from various. Forests 2021, 12, 647. [Google Scholar] [CrossRef]
- Rowell, R.M. Handbook of Wood Chemistry and Wood Composites, 2nd ed.; CRC Press: Boca Raton, FL, USA, 2012. [Google Scholar]
- Havelt, T.; Frase, J.N.; Ralf Pude, R.; Schmitz, M. Characterization of bioactive ingredients in extracts of fresh and dried coniferous trees for the development of sustainable packaging materials. Processes 2020, 8, 1366. [Google Scholar] [CrossRef]
- Rowell, R.M.; Pettersen, R.; Han, J.S.; Rowell, J.S.; Tshabalala, M.A. Cell wall chemistry. In Handbook of Wood Chemistry and Wood Composites, 1st ed.; Rowell, R.M., Ed.; CRC Press: Boca Raton, FL, USA, 2005. [Google Scholar]
- Husain, S.R.; Cillard, J.; Cillard, P. Hydroxyl radical scavenging activity of flavonoids. Phytochemistry 1987, 26, 2489–2491. [Google Scholar] [CrossRef]
- Pietta, P.G. Flavonoids as antioxidant. J. Nat. Prod. 2000, 63, 1035–1042. [Google Scholar] [CrossRef]
- Yokozawa, T.; Chen, C.P.; Dong, E.; Tanaka, T.; Nonaka, G.I.; Nishioka, I. Study on the inhibitory effect of tannins and flavonoids against the 1,1-diphenyl-2-picrylhydrazyl radicals. Biochem. Pharmacol. 1998, 56, 213–222. [Google Scholar] [CrossRef]
- Ka¨hko¨nen, M.P.; Hopia, A.I.; Vuorela, H.J.; Rauuha, J.P.; Pihlaja, K.; Kujala, T.S.; Heinonen, M. Antioxidant activity of plant extracts containing phenolic compounds. J. Agric. Food Chem. 1999, 47, 3954–3962. [Google Scholar] [CrossRef] [PubMed]
- Huvaere, K.; Skibsted, L.H. Flavonoids protecting food and beverages against light. J. Sci. Food Agric. 2015, 95, 20–35. [Google Scholar] [CrossRef] [PubMed]
- Forestry Statistics of Taiwan Region. Available online: http://www.forest.gov.tw (accessed on 30 August 2021).
- Chang, S.T.; Wu, J.H.; Wang, S.H.; Kang, P.L.; Yang, N.S.; Shyur, L.F. Antioxidant activity of extracts from Acacia confusa bark and heartwood. J. Agric. Food Chem. 2001, 49, 3420–3424. [Google Scholar] [CrossRef]
- Chang, T.C.; Chang, H.T.; Wu, C.L.; Lin, H.Y.; Chang, S.T. Stabilizing effect of extractives on the photo-oxidation of Acacia confusa wood. Polym. Degrad. Stab. 2010, 95, 1518–1522. [Google Scholar] [CrossRef]
- Chang, T.C.; Chang, H.T.; Wu, C.L.; Chang, S.T. Influences of extractives on the photodegradation of wood. Polym. Degrad. Stab. 2010, 95, 516–521. [Google Scholar] [CrossRef]
- Chang, T.C.; Yeh, T.F.; Chang, S.T. Investigation of photo-induced discoloration on wood treated with the polyphenols from Acacia confusa heartwood. J. Wood Chem. Technol. 2019, 39, 270–281. [Google Scholar] [CrossRef]
- Chang, T.C.; Chang, S.T. Wood photostabilization roles of the condensed tannins and flavonoids from the EtOAc fraction in the heartwood extract of Acacia confusa. Wood Sci. Technol. 2018, 52, 855–871. [Google Scholar] [CrossRef]
- Chang, T.C.; Chang, S.T. Multiple photostabilization actions of heartwood extract from Acacia confusa. Wood Sci. Technol. 2017, 51, 1133–1153. [Google Scholar] [CrossRef]
- Chang, T.C.; Hsiao, N.C.; Yu, P.C.; Chang, S.T. Exploitation of Acacia confusa heartwood extract as natural photostabilizers. Wood Sci. Technol. 2015, 49, 811–823. [Google Scholar] [CrossRef]
- Chang, T.C.; Lin, H.Y.; Wang, S.Y.; Chang, S.T. Study on inhibition mechanisms of light-induced wood radicals by Acacia confusa heartwood extracts. Polym. Degrad. Stab. 2014, 105, 42–47. [Google Scholar] [CrossRef]
- Chang, T.C.; Chang, S.T. Photostabilization mechanisms of the main wood photostabilizers from the heartwood extract in Acacia confusa: Okanin and melanoxetin. Wood Sci. Technol. 2019, 53, 335–348. [Google Scholar] [CrossRef]
- National Standards of the Republic of China. CNS 2810 Method of Test for Chinese Lacquer; CNS: Taipei, Taiwan, 1986. [Google Scholar]
- National Standards of the Republic of China. CNS 9007 Method of Test for Paints-Sampling and General Condition; CNS: Taipei, Taiwan, 1995. [Google Scholar]
- Antczak, A.; Radomski, A.; Zawadzki, J. Benzene substitution in wood analysis. Ann. Wars. Agric. Univ. For. Wood Technol. 2006, 58, 15–19. [Google Scholar]
- Kujala, T.S.; Loponen, J.M.; Klika, K.D.; Pihlaja, K. Phenolics and betacyanins in red beetroot (Beta vulgaris) root: Distribution and effect of cold storage on the content of total phenolics and three individual compounds. J. Agric. Food Chem. 2000, 48, 5338–5342. [Google Scholar] [CrossRef]
- Quettier-Deleu, C.; Bernard, G.; Jacques, V.; Thierry, D.; Claaude, B.; Michel, L.; Micheline, C.; Jean-Claude, C.; Francois, B.; Francis, T. Phenolic compounds and antioxidant activities of buckwheat (Fagopyrum esculentum Moench) hulls and flour. J. Ethnopharmacol. 2000, 72, 35–42. [Google Scholar] [CrossRef]
- Hsieh, C.Y.; Chang, S.T. Antioxidant activities and xanthine oxidase inhibitory effects of phenolic phytochemicals from Acacia confusa twigs and branches. J. Agri. Food Chem. 2010, 58, 1578–1583. [Google Scholar] [CrossRef]
- Lu, R.; Honda, T.; Ishimura, T.; Miyakoshi, T. Study of a naturally drying lacquer hybridized with organic silane. Polym. J. 2005, 37, 309–315. [Google Scholar] [CrossRef] [Green Version]
- National Standards of the Republic of China. CNS 10757 Method of Test for Paints (Testing Methods Relating to Physical and Chemical Resistance of Coated Film); CNS: Taipei, Taiwan, 1994. [Google Scholar]
- National Standards of the Republic of China. CNS 10756 K6800 Method of Test for Paints (Film Formability of Paints); CNS: Taipei, Taiwan, 1994. [Google Scholar]
- Japanese Standards Association. JIS K 5400 Testing Methods for Paints; Japanese Standards Association: Tokyo, Japan, 1990. [Google Scholar]
- ASTM International. ASTM D638 Standard Test Method for Tensile Properties of Plastics; ASTM International: West Conshohocken, PA, USA, 2014. [Google Scholar]
- Larsen-Badse, J.; Mathew, K.G. Influence of structure on the abrasion resistance of a 1040-Steel. Wear 1969, 4, 199–205. [Google Scholar] [CrossRef]
- Qiu, H.; Liu, R.; Long, L. Analysis of chemical composition of extractives by acetone and the chromatic aberration of teak (Tectona Grandis L.F.) from China. Molecules 2019, 24, 1989. [Google Scholar] [CrossRef] [Green Version]
- Miranda, I.; Sousa, V.; Ferreira, J.; Pereira, H. Chemical characterization and extractives composition of heartwood and sapwood from Quercus faginea. PLoS ONE 2017, 12, e0179268. [Google Scholar] [CrossRef] [PubMed] [Green Version]
- Sophie, F.; Theis, B.N.; Annika, S.; Maria, F.; Annica, P.; Garbrecht, T.L. Hydrophobic and hydrophilic extractives in Norway spruce and Kurile larch and their role in brown-rot degradation. Front. Plant Sci. 2020, 11, 855–875. [Google Scholar]
- Morais, M.; Pereira, H. Variation of extractives content in heartwood and sapwood of Eucalyptus globulus trees. Wood Sci. Technol. 2012, 46, 709–719. [Google Scholar] [CrossRef]
- Stone, C.; Degboevi, H.M.; Candelier, K.; Engonga, P.E.; Dumarçay, S.; Thévenon, M.F.; Charbonnier, C.G.; Gérardin, P. Characterization of extracts from the bark of the gabon hazel tree (Coula edulis baill) for antioxidant, antifungal and anti-termite products. J. Renew. Mater. 2021, 9, 17–33. [Google Scholar]
- Yebra-Biurrun, M.C.; Nirmala, P.; Pramod Kumar, J.; Pankaj Prasad, R.; Sangeeta, R. Total phenolic, flavonoid contents, and antioxidant activities of fruit, seed, and bark extracts of Zanthoxylum armatum DC. Sci. World J. 2020, 8780704, 1–7. [Google Scholar]
- Mansouri, A.; Embarek, G.; Kokkalou, E.; Kefalas, P. Phenolic profile and antioxidant activity of the Algerian ripe date palm fruit (Phoenix dactylifera). Food Chem. 2005, 89, 411–420. [Google Scholar] [CrossRef]
- Wojdylo, A.; Oszmianski, J.; Czemerys, R. Antioxidant activity and phenolic compounds in 32 selected herbs. Food Chem. 2007, 105, 940–949. [Google Scholar] [CrossRef]
- Pandya, H.; Mahanwar, P. Fundamental insight into anionic aqueous polyurethane dispersions. Adv. Ind. Eng. Polym. 2020, 3, 102–110. [Google Scholar] [CrossRef]
- Nichols, J.A.; Katiyar, S.K. Skin photoprotection by natural polyphenols: Anti-inflammatory, antioxidant and dna repair mechanism. Arch. Dermatol. Res. 2010, 302, 71–83. [Google Scholar] [CrossRef] [Green Version]
- Wang, S.Q.; Balagula, Y.; Osterwalder, U. Photoprotection: A review of the current and future technologies. Dermatol. Ther. 2010, 23, 31–47. [Google Scholar] [CrossRef] [PubMed]
- McPhail, D.B.; Hartley, R.C.; Gardner, P.T.; Duthie, G.G. Kinetic and stoichmetric assessment of antioxidant activity of flavonoids by electron spin resonance spectroscopy. J. Agri. Food Chem. 2003, 51, 1684–1690. [Google Scholar] [CrossRef]
- Makino, R.; Ohara, S.; Hashida, K. Radical scavenging characteristics of condensed tannins from barks of various tree species compared with Quebracho wood tannins. Holzforschung 2011, 65, 651–657. [Google Scholar] [CrossRef]
- Kamiya, Y.; Lu, R.; Kumamoto, T.; Honda, T.; Miyakoshi, T. Deterioration of surface structure of lacquer films due to ultraviolet irradiation. Surf. Interface Anal. 2006, 38, 1311–1315. [Google Scholar]
- Breese, K.D.; LameÁthe, J.F.; DeArmitt, C. Improving synthetic hindered phenol antioxidants: Learning from vitamin E. Polym. Degrad. Stab. 2000, 70, 89–96. [Google Scholar] [CrossRef]
- Gaugler, M.; Grigsby, W.J. Thermal degradation of condensed tannins from radiate pine bark. J. Wood Chem. Technol. 2009, 29, 305–321. [Google Scholar] [CrossRef]









| Solvents | TPC (mgGAE/g) | TFC (μgRE/g) |
|---|---|---|
| Acetone (70%) | 535.2 ± 19.7 | 252.3 ± 10.6 |
| Toluene / EtOH (2/1, v/v) | 509.3 ± 9.6 | 216.0 ± 9.1 |
| Heartwood Extractive Additions (phr) | pH | Viscosity (cps, 25 °C) | Drying Time (h) (25 °C, 80% RH) | |
|---|---|---|---|---|
| TF 1 | HD 2 | |||
| 0 | 3.8 | 2026 | 4.5 | 7.5 |
| 1 | 3.7 | 2042 | 5.5 | 11.0 |
| 3 | 3.9 | 2224 | 8.0 | 16.0 |
| 5 | 3.8 | 2044 | 10.5 | 22.0 |
| 10 | 3.7 | 1994 | 15.0 | >24.0 |
| Heartwood Extractive Additions (phr) | After 192 h UV Irradiation | ||
|---|---|---|---|
| ΔE * | ΔYI | ΔL * | |
| 0 | 35.4 | 103.3 | 14.3 |
| 1 | 21.8 | 82.5 | 6.1 |
| 3 | 22.1 | 69.9 | 8.2 |
| 5 | 20.3 | 66.5 | 7.4 |
| 10 | 12.7 | 43.6 | 3.9 |
| Heartwood Extractive Additions (phr) | Hardness (König, s) | Mass Retention (wt.%) | Tg (°C) | Impact Resistance (300 g, cm) | Adhesion (Grade) | Bending Resistance (mm) | Tensile Strength (MPa) | Elongation at Break (%) | Strain Energy (kJ) | Abrasion resistance (mg/1000 circles) |
|---|---|---|---|---|---|---|---|---|---|---|
| 0 | 95 ± 2 | 88.5 ± 0.2 | 90 | 5 | 8 | 2 | 18 ± 1 | 12 ± 1 | 3.4 ± 0.7 | 9.7 ± 1.9 |
| 1 | 88 ± 4 | 87.5 ± 1.0 | 88 | 5 | 10 | 3 | 15 ± 2 | 7 ± 0 | 1.5 ± 0.2 | 10.1 ± 1.3 |
| 3 | 55 ± 2 | 85.4 ± 0.6 | 69 | 5 | 8 | 3 | 8 ± 1 | 6 ± 0 | 0.9 ± 0.1 | 19.8 ± 1.9 |
Publisher’s Note: MDPI stays neutral with regard to jurisdictional claims in published maps and institutional affiliations. |
© 2021 by the authors. Licensee MDPI, Basel, Switzerland. This article is an open access article distributed under the terms and conditions of the Creative Commons Attribution (CC BY) license (https://creativecommons.org/licenses/by/4.0/).
Share and Cite
Chang, C.-W.; Lee, J.-J.; Lu, K.-T. The Effects of Adding Heartwood Extractives from Acacia confusa on the Lightfastness Improvement of Refined Oriental Lacquer. Polymers 2021, 13, 4085. https://doi.org/10.3390/polym13234085
Chang C-W, Lee J-J, Lu K-T. The Effects of Adding Heartwood Extractives from Acacia confusa on the Lightfastness Improvement of Refined Oriental Lacquer. Polymers. 2021; 13(23):4085. https://doi.org/10.3390/polym13234085
Chicago/Turabian StyleChang, Chia-Wei, Jia-Jhen Lee, and Kun-Tsung Lu. 2021. "The Effects of Adding Heartwood Extractives from Acacia confusa on the Lightfastness Improvement of Refined Oriental Lacquer" Polymers 13, no. 23: 4085. https://doi.org/10.3390/polym13234085
APA StyleChang, C.-W., Lee, J.-J., & Lu, K.-T. (2021). The Effects of Adding Heartwood Extractives from Acacia confusa on the Lightfastness Improvement of Refined Oriental Lacquer. Polymers, 13(23), 4085. https://doi.org/10.3390/polym13234085

