Optimization of Chitosan Properties with the Aim of a Water Resistant Adhesive Development
Abstract
1. Introduction
2. Chitosan
2.1. History
2.2. Structure
2.3. Production
3. Adhesion Principles
3.1. Adhesion Theories
- -
- Mechanical adhesion which occurs thanks to mechanical interlocking,
- -
- Specific adhesion which concerns the bonding between the adhesive and the adherence,
- -
- Effective adhesion: a combination between the two others.
3.2. The Chitosan as an Adhesive
4. The Various Modifications of Chitosan in Order to Optimize Its Adhesion Properties
4.1. Crosslinking
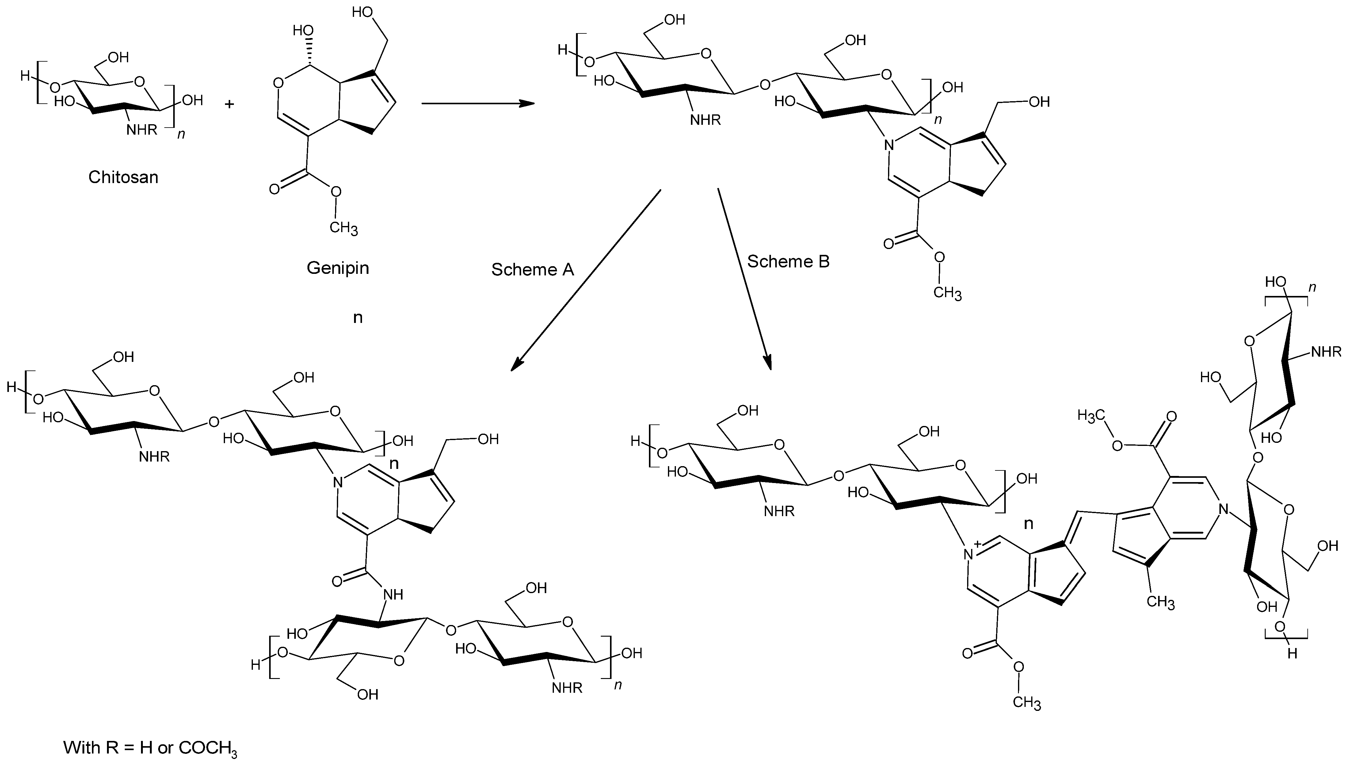
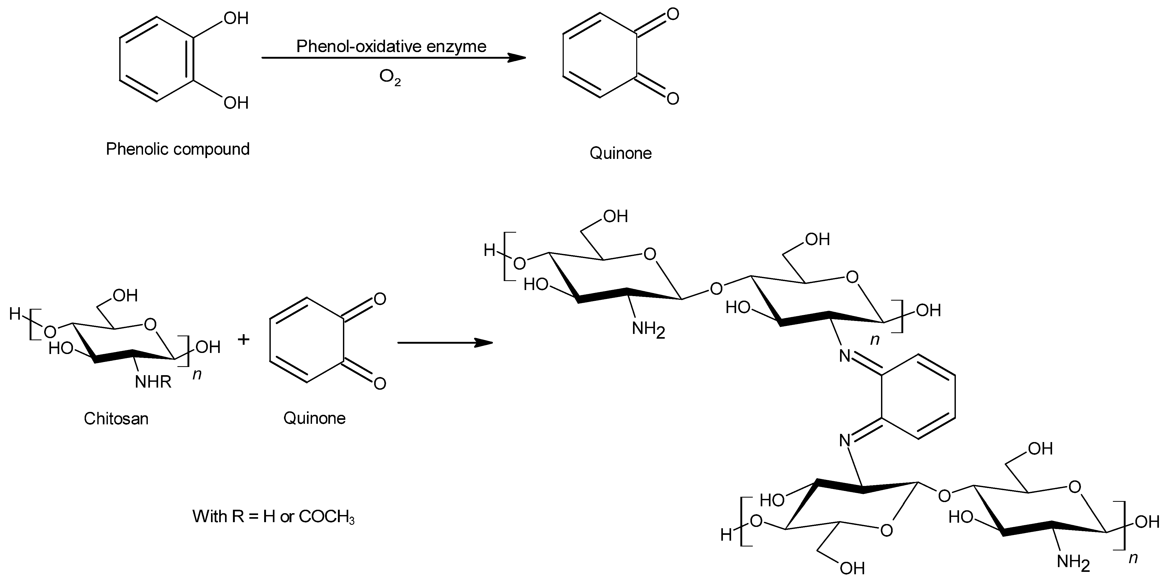
4.1.1. Covalent Bond
4.1.2. Ionic Interactions
4.1.3. Ionic/Covalent Co-Cross-Linking
4.2. Hydrophobization
4.2.1. Hydrophobic Alkyl Chains Grafting
4.2.2. Other Hydrophobic Reagents
4.3. Formulation
4.3.1. Plasticizers Adding
4.3.2. Interpenetrating Polymers
5. Conclusions
Author Contributions
Funding
Institutional Review Board Statement
Informed Consent Statement
Data Availability Statement
Conflicts of Interest
References
- Patel, A.K.; Michaud, P.; Petit, E.; de Baynast, H.; Grédiac, M.; Mathias, J.-D. Development of a chitosan-based adhesive. Application to wood bonding. J. Appl. Polym. Sci. 2013, 127, 5014–5021. [Google Scholar] [CrossRef]
- Patel, A.K.; Mathias, J.-D.; Michaud, P. Polysaccharides as Adhesives. Rev. Adhes. Adhes. 2013, 1, 312–345. [Google Scholar] [CrossRef]
- Patel, A.K. Chitosan: Emergence as potent candidate for green adhesive market. Biochem. Eng. J. 2015, 102, 74–81. [Google Scholar] [CrossRef]
- Patel, A.K.; Michaud, P.; de Baynast, H.; Grédiac, M.; Mathias, J.-D. Preparation of chitosan-based adhesives and assessment of their mechanical properties. J. Appl. Polym. Sci. 2013, 127, 3869–3876. [Google Scholar] [CrossRef]
- Pizzi, A.; Mittal, K.L. Handbook of Adhesive Technology, 3rd ed.; CRC Press: Boca Raton, FL, USA, 2020; ISBN 978-0-367-57239-6. [Google Scholar]
- Hajji, S.; Younes, I.; Ghorbel-Bellaaj, O.; Hajji, R.; Rinaudo, M.; Nasri, M.; Jellouli, K. Structural differences between chitin and chitosan extracted from three different marine sources. Int. J. Biol. Macromol. 2014, 65, 298–306. [Google Scholar] [CrossRef]
- Nwe, N.; Furuike, T.; Tamura, H. Chitin and Chitosan from Terrestrial Organisms. In Chitin, Chitosan, Oligosaccharides and Their Derivatives; Kim, S.-K., Ed.; CRC Press: Boca Raton, FL, USA, 2010; pp. 3–10. ISBN 978-1-4398-1603-5. [Google Scholar]
- Yen, M.-T.; Mau, J.-L. Selected physical properties of chitin prepared from shiitake stipes. LWT-Food Sci. Technol. 2007, 40, 558–563. [Google Scholar] [CrossRef]
- Brück, W.; Slater, J.; Carney, B. Chitin and Chitosan from Marine Organisms. In Chitin, Chitosan, Oligosaccharides and Their Derivatives; Kim, S.-K., Ed.; CRC Press: Boca Raton, FL, USA, 2010; pp. 11–23. ISBN 978-1-4398-1603-5. [Google Scholar]
- Di Mario, F.; Rapanà, P.; Tomati, U.; Galli, E. Chitin and chitosan from Basidiomycetes. Int. J. Biol. Macromol. 2008, 43, 8–12. [Google Scholar] [CrossRef]
- Wang, J.-P.; Chen, Y.-Z.; Ge, X.-W.; Yu, H.-Q. Gamma radiation-induced grafting of a cationic monomer onto chitosan as a flocculant. Chemosphere 2007, 66, 1752–1757. [Google Scholar] [CrossRef]
- Mati-Baouche, N.; Elchinger, P.-H.; de Baynast, H.; Pierre, G.; Delattre, C.; Michaud, P. Chitosan as an adhesive. Eur. Polym. J. 2014, 60, 198–212. [Google Scholar] [CrossRef]
- Pillai, C.K.S.; Paul, W.; Sharma, C.P. Chitin and chitosan polymers: Chemistry, solubility and fiber formation. Prog. Polym. Sci. 2009, 34, 641–678. [Google Scholar] [CrossRef]
- Kong, M.; Chen, X.G.; Xing, K.; Park, H.J. Antimicrobial properties of chitosan and mode of action: A state of the art review. Int. J. Food Microbiol. 2010, 144, 51–63. [Google Scholar] [CrossRef]
- Lim, S.-H.; Hudson, S.M. Synthesis and antimicrobial activity of a water-soluble chitosan derivative with a fiber-reactive group. Carbohyd. Res. 2004, 339, 313–319. [Google Scholar] [CrossRef]
- Elsabee, M.Z.; Abdou, E.S. Chitosan based edible films and coatings: A review. Mater. Sci. Eng. C 2013, 33, 1819–1841. [Google Scholar] [CrossRef] [PubMed]
- Shalaby, S.W.; Burg, K.J.L. Absorbable and Biodegradable Polymers; Advances in Polymeric Biomaterials; CRC Press: Boca Raton, FL, USA, 2004; ISBN 978-0-8493-1484-1. [Google Scholar]
- Rinaudo, M. Chitin and chitosan: Properties and applications. Prog. Polym. Sci. 2006, 31, 603–632. [Google Scholar] [CrossRef]
- Revathi, M.; Saravanan, R.; Shanmugam, A. Production and characterization of chitinase from Vibrio species, a head waste of shrimp Metapenaeus dobsonii (Miers, 1878) and chitin of Sepiella inermis Orbigny, 1848. Adv. Biosci. Biotechnol. 2012, 3, 392–397. [Google Scholar] [CrossRef]
- Prabaharan, M. (Ed.) Chitosan and Its Derivatives as Promising Drug Delivery Carriers; ASME Press: New York, NY, USA, 2012; ISBN 978-0-7918-6005-2. [Google Scholar]
- Braconnot, H. De la fongine, ou analyse des champignons. J. Phys. Chim. Hist. Nat. Arts 1811, LXXIII, 130–135. [Google Scholar]
- Odier, A. Mémoire sur la composition chimique des parties cornées des insectes. Mem. Soc. Hist. Paris 1823, 1, 29–42. [Google Scholar]
- Lassaigne, J.-L. Sur le tissu tégumentaire des insectes des différents ordres. C. R. Séances Acad. Sci. 1843, 16, 1087–1089. [Google Scholar]
- Ledderhose, G. Ueber salzsaures glycosamin. Ber. Dtsch. Chem. Ges. 1876, 9, 1200–1201. [Google Scholar] [CrossRef]
- Purchase, E.R.; Braun, C.E. D-Glucosamine Hydrochloride. Org. Synth. 2003, 26, 36–37. [Google Scholar] [CrossRef]
- Rouget, C. Des substances amylacées dans les tissus des animaux, spécialement les articulés (chitine). C. R. Séances Acad. Sci. 1859, 48, 792–795. [Google Scholar]
- Hoppe-Seyler, F. Ueber Chitin und Cellulose. Ber. Dtsch. Chem. Ges. 1894, 27, 3329–3331. [Google Scholar] [CrossRef]
- Bhardwaj, N.; Kundu, S.C. Electrospinning: A fascinating fiber fabrication technique. Biotechnol. Adv. 2010, 28, 325–347. [Google Scholar] [CrossRef]
- Hamed, I.; Özogul, F.; Regenstein, J.M. Industrial applications of crustacean by-products (chitin, chitosan, and chitooligosaccharides): A review. Trends Food Sci. Tech. 2016, 48, 40–50. [Google Scholar] [CrossRef]
- Dvir, T.; Tsur-Gang, O.; Cohen, S. “Designer” scaffolds for tissue engineering and regeneration. Isr. J. Chem. 2005, 45, 487–494. [Google Scholar] [CrossRef]
- Kurita, K. Controlled functionalization of the polysaccharide chitin. Prog. Polym. Sci. 2001, 26, 1921–1971. [Google Scholar] [CrossRef]
- Fesel, P.H.; Zuccaro, A. β-glucan: Crucial component of the fungal cell wall and elusive MAMP in plants. Fungal Genet. Biol. 2016, 90, 53–60. [Google Scholar] [CrossRef]
- Hahn, T.; Roth, A.; Ji, R.; Schmitt, E.; Zibek, S. Chitosan production with larval exoskeletons derived from the insect protein production. J. Biotechnol. 2020, 310, 62–67. [Google Scholar] [CrossRef]
- Jeon, Y.T.; Lee, M.Y.; Lee, H.S.; Lee, J.W. The Global Market Trend and Perspectives of Chitosan. J. Chitin Chitosan 2021, 26, 63–68. [Google Scholar] [CrossRef]
- Younes, I.; Rinaudo, M. Chitin and Chitosan Preparation from Marine Sources. Structure, Properties and Applications. Mar. Drugs 2015, 13, 1133–1174. [Google Scholar] [CrossRef]
- Muñoz, I.; Rodríguez, C.; Gillet, D.; Moerschbacher, B.M. Life cycle assessment of chitosan production in India and Europe. Int. J. Life Cycle Assess. 2018, 23, 1151–1160. [Google Scholar] [CrossRef]
- Kumar, R.N.; Pizzi, A. Adhesives for Wood and Lignocellulosic Materials, 1st ed.; Wiley: Hoboken, NJ, USA, 2019; ISBN 978-1-119-60543-0. [Google Scholar]
- McBain, J.W.; Hopkins, D.G. On Adhesives and Adhesive Action. J. Phys. Chem. 1925, 29, 188–204. [Google Scholar] [CrossRef]
- Sharpe, L.H.; Schonhorn, H. Surface energetics, adhesion and adhesive joints. In Contact Angle, Wettability, and Adhesion; Fowkes, F.M., Ed.; Advances in Chemistry; American Chemical Society: Washington, DC, USA, 1964; Volume 43, ISBN 978-0-8412-0044-9. [Google Scholar]
- Dupré, A.; Dupré, P. Théorie Mécanique de la Chaleur; Gauthier-Villars: Paris, France, 1869. [Google Scholar]
- Kinloch, A.J. The science of adhesion Part 1 Surface and interfacial aspects. J. Mater. Sci. 1980, 15, 2141–2166. [Google Scholar] [CrossRef]
- Fowkes, F.M. Role of acid-base interfacial bonding in adhesion. J. Adhes. Sci. Technol. 1987, 1, 7–27. [Google Scholar] [CrossRef]
- Yang, S.; Gu, L.; Gibson, R.F. Nondestructive detection of weak joints in adhesively bonded composite structures. Compos. Struct. 2001, 51, 63–71. [Google Scholar] [CrossRef]
- Voyutskii, S.S.; Vakula, V.L. The role of diffusion phenomena in polymer-to-polymer adhesion. J. Appl. Polym. Sci. 1963, 7, 475–491. [Google Scholar] [CrossRef]
- Marra, G.G. The Role of Adhesion and Adhesives in the Wood Produts Industry; Masonite Research Center St Charles IL.: Madison, WI, USA, 1980. [Google Scholar]
- Marra, A.A. Technology of Wood Bonding: Principles in Practice; Van Nostrand Reinhold: New York, NY, USA, 1992; ISBN 978-0-442-00797-3. [Google Scholar]
- Marra, A.A. Adhesive Properties, Treaties of Analytical Chemistry; John Wiley & Sons: Hoboken, NJ, USA, 1977; Volume 4. [Google Scholar]
- Matsuo, M.; Nakano, Y.; Nakashima, T.; Bin, Y. Mechanical Properties of Chitosan and Chitosan–Poly(Vinyl Alcohol) Blend Films. In Chitin, Chitosan, Oligosaccharides and Their Derivatives; Kim, S.-K., Ed.; CRC Press: New York, NY, USA, 2010; pp. 95–116. ISBN 978-1-4398-1603-5. [Google Scholar]
- Park, S.Y.; Marsh, K.S.; Rhim, J.W. Characteristics of Different Molecular Weight Chitosan Films Affected by the Type of Organic Solvents. J. Food Sci. 2002, 67, 194–197. [Google Scholar] [CrossRef]
- Crini, G.; Badot, P.-M.; Guibal, É. Chitine et Chitosane: Du Biopolymère à L’application; Presses Universitaires de Franche-Comté: Besançon, France, 2009; ISBN 978-2-84867-249-6. [Google Scholar]
- Tsaih, M.L.; Chen, R.H. Effect of molecular weight and urea on the conformation of chitosan molecules in dilute solutions. Int. J. Biol. Macromol. 1997, 20, 233–240. [Google Scholar] [CrossRef]
- Ahmed, S.; Annu, A.A.; Ali, A.; Sheikh, J. A review on chitosan centred scaffolds and their applications in tissue engineering. Int. J. Biol. Macromol. 2018, 116, 849–862. [Google Scholar] [CrossRef]
- Lee, D.W.; Lim, C.; Israelachvili, J.N.; Hwang, D.S. Strong Adhesion and Cohesion of Chitosan in Aqueous Solutions. Langmuir 2013, 29, 14222–14229. [Google Scholar] [CrossRef]
- Qun, G.; Ajun, W. Effects of molecular weight, degree of acetylation and ionic strength on surface tension of chitosan in dilute solution. Carbohyd. Polym. 2006, 64, 29–36. [Google Scholar] [CrossRef]
- Mati-Baouche, N.; de Baynast, H.; Vial, C.; Audonnet, F.; Sun, S.; Petit, E.; Pennec, F.; Prevot, V.; Michaud, P. Physico-chemical, thermal, and mechanical approaches for the characterization of solubilized and solid state chitosans. J. Appl. Polym. Sci. 2015, 132. [Google Scholar] [CrossRef]
- Desbrières, J. Viscosity of Semiflexible Chitosan Solutions: Influence of Concentration, Temperature, and Role of Intermolecular Interactions. Biomacromolecules 2002, 3, 342–349. [Google Scholar] [CrossRef] [PubMed]
- Hwang, J.K.; Shin, H.H. Rheological properties of chitosan solutions. Korea-Aust. Rheol. J. 2000, 12, 175–179. [Google Scholar]
- Calero, N.; Muñoz, J.; Ramírez, P.; Guerrero, A. Flow behaviour, linear viscoelasticity and surface properties of chitosan aqueous solutions. Food Hydrocolloid. 2010, 24, 659–666. [Google Scholar] [CrossRef]
- Uragami, T.; Matsuda, T.; Okuno, H.; Miyata, T. Structure of chemically modified chitosan membranes and their characteristics of permeation and separation of aqueous ethanol solutions. J. Membr. Sci. 1994, 88, 243–251. [Google Scholar] [CrossRef]
- Geng, X.; Kwon, O.; Jang, J. Electrospinning of chitosan dissolved in concentrated acetic acid solution. Biomaterials 2005, 26, 5427–5432. [Google Scholar] [CrossRef]
- Cho, J.; Heuzey, M.-C.; Bégin, A.; Carreau, P.J. Viscoelastic properties of chitosan solutions: Effect of concentration and ionic strength. J. Food Eng. 2006, 74, 500–515. [Google Scholar] [CrossRef]
- Fernández, M.; Von Plessing, C.; Cárdenas, G. Preparation and Characterization of Chitosan Gels. J. Chil. Chem. Soc. 2006, 51, 1022–1024. [Google Scholar] [CrossRef]
- Abdelmoula, M.; Hlima, H.B.; Michalet, F.; Bourduche, G.; Gravier, A.; Delattre, C.; Grédiac, M.; Mathias, J.-D.; Michaud, P.; de Baynast, H. Chitosan-based adhesive: Optimization of tensile shear strength in dry and wet conditions. Polysaccharides 2021, 2, 110–120. [Google Scholar] [CrossRef]
- You, L.; Lu, F.; Li, D.; Qiao, Z.; Yin, Y. Preparation and flocculation properties of cationic starch/chitosan crosslinking-copolymer. J. Hazard. Mater. 2009, 172, 38–45. [Google Scholar] [CrossRef]
- Dimida, S.; Demitri, C.; De Benedictis, V.M.; Scalera, F.; Gervaso, F.; Sannino, A. Genipin-cross-linked chitosan-based hydrogels: Reaction kinetics and structure-related characteristics. J. Appl. Polym. Sci. 2015, 132. [Google Scholar] [CrossRef]
- Berger, J.; Reist, M.; Mayer, J.M.; Felt, O.; Peppas, N.A.; Gurny, R. Structure and interactions in covalently and ionically crosslinked chitosan hydrogels for biomedical applications. Eur. J. Pharm. Biopharm. 2004, 57, 19–34. [Google Scholar] [CrossRef]
- Morais, W.A.; Fernandes, A.L.P.; Dantas, T.N.C.; Pereira, M.R.; Fonseca, J.L.C. Sorption studies of a model anionic dye on crosslinked chitosan. Colloid Surface A 2007, 310, 20–31. [Google Scholar] [CrossRef]
- Cestari, A.R.; Vieira, E.F.S.; Tavares, A.M.G.; Bruns, R.E. The removal of the indigo carmine dye from aqueous solutions using cross-linked chitosan—Evaluation of adsorption thermodynamics using a full factorial design. J. Hazard. Mater. 2008, 153, 566–574. [Google Scholar] [CrossRef] [PubMed]
- Chiou, M.-S.; Chuang, G.-S. Competitive adsorption of dye metanil yellow and RB15 in acid solutions on chemically cross-linked chitosan beads. Chemosphere 2006, 62, 731–740. [Google Scholar] [CrossRef]
- Hasan, M.; Ahmad, A.L.; Hameed, B.H. Adsorption of reactive dye onto cross-linked chitosan/oil palm ash composite beads. Chem. Eng. J. 2008, 136, 164–172. [Google Scholar] [CrossRef]
- Li, N.; Bai, R. Copper adsorption on chitosan–cellulose hydrogel beads: Behaviors and mechanisms. Sep. Purif. Technol. 2005, 42, 237–247. [Google Scholar] [CrossRef]
- Ngah, W.S.; Ab Ghani, S.; Kamari, A. Adsorption behaviour of Fe(II) and Fe(III) ions in aqueous solution on chitosan and cross-linked chitosan beads. Bioresource Technol. 2005, 96, 443–450. [Google Scholar] [CrossRef]
- Nitsae, M.; Madjid, A.; Hakim, L.; Sabarudin, A. Preparation of Chitosan Beads using Tripolyphosphate and Ethylene Glycol Diglycidyl Ether as Crosslinker for Cr(VI) Adsorption. Chem. Chem. Technol. 2016, 10, 105–113. [Google Scholar] [CrossRef]
- Azlan, K.; Saime, W.N.W.; Lai Ken, L. Chitosan and chemically modified chitosan beads for acid dyes sorption. J. Environ. Sci. 2009, 21, 296–302. [Google Scholar] [CrossRef]
- Cui, Z.; Beach, E.S.; Anastas, P.T. Modification of chitosan films with environmentally benign reagents for increased water resistance. Green Chem. Lett. Rev. 2011, 4, 35–40. [Google Scholar] [CrossRef]
- Sung, H.-W.; Chang, Y.; Chiu, C.-T.; Chen, C.-N.; Liang, H.-C. Crosslinking characteristics and mechanical properties of a bovine pericardium fixed with a naturally occurring crosslinking agent. J. Biomed. Mater. Res. 1999, 47, 116–126. [Google Scholar] [CrossRef]
- Tsai, C.-C.; Huang, R.-N.; Sung, H.-W.; Liang, H.C. In vitro evaluation of the genotoxicity of a naturally occurring crosslinking agent (genipin) for biologic tissue fixation. J. Biomed. Mater. Res. 2000, 52, 58–65. [Google Scholar] [CrossRef]
- Muzzarelli, R.A.A. Genipin-crosslinked chitosan hydrogels as biomedical and pharmaceutical aids. Carbohydr. Polym. 2009, 77, 1–9. [Google Scholar] [CrossRef]
- Yao, C.-H.; Liu, B.-S.; Chang, C.-J.; Hsu, S.-H.; Chen, Y.-S. Preparation of networks of gelatin and genipin as degradable biomaterials. Mater. Chem. Phys. 2004, 83, 204–208. [Google Scholar] [CrossRef]
- Butler, M.F.; Ng, Y.-F.; Pudney, P.D.A. Mechanism and kinetics of the crosslinking reaction between biopolymers containing primary amine groups and genipin. J. Polym. Sci. A Polym. Chem. 2003, 41, 3941–3953. [Google Scholar] [CrossRef]
- Waite, J.H. The phylogeny and chemical diversity of quinone-tanned glues and varnishes. Comp. Biochem. Physiol. 1990, 97, 19–29. [Google Scholar] [CrossRef]
- Peshkova, S.; Li, K. Investigation of chitosan–phenolics systems as wood adhesives. J. Biotechnol. 2003, 102, 199–207. [Google Scholar] [CrossRef]
- Yamada, K.; Chen, T.; Kumar, G.; Vesnovsky, O.; Topoleski, L.D.T.; Payne, G.F. Chitosan Based Water-Resistant Adhesive. Analogy to Mussel Glue. Biomacromolecules 2000, 1, 252–258. [Google Scholar] [CrossRef] [PubMed]
- Moura, M.J.; Faneca, H.; Lima, M.P.; Gil, M.H.; Figueiredo, M.M. In Situ Forming Chitosan Hydrogels Prepared via Ionic/Covalent Co-Cross-Linking. Biomacromolecules 2011, 12, 3275–3284. [Google Scholar] [CrossRef] [PubMed]
- Cui, Z.; Xiang, Y.; Si, J.; Yang, M.; Zhang, Q.; Zhang, T. Ionic interactions between sulfuric acid and chitosan membranes. Carbohydr. Polym. 2008, 73, 111–116. [Google Scholar] [CrossRef]
- Lusiana, R.A.; Siswanta, D. Preparation of Citric Acid Crosslinked Chitosan/Poly(Vinyl Alcohol) Blend Membranes for Creatinine Transport. Indones. J. Chem. 2016, 16, 144–150. [Google Scholar] [CrossRef]
- Ostrowska-Czubenko, J.; Gierszewska-Drużyńska, M. Effect of ionic crosslinking on the water state in hydrogel chitosan membranes. Carbohydr. Polym. 2009, 77, 590–598. [Google Scholar] [CrossRef]
- Mi, F.-L.; Sung, H.-W.; Shyu, S.-S.; Su, C.-C.; Peng, C.-K. Synthesis and characterization of biodegradable TPP/genipin co-crosslinked chitosan gel beads. Polymer 2003, 44, 6521–6530. [Google Scholar] [CrossRef]
- Desbrières, J.; Martinez, C.; Rinaudo, M. Hydrophobic derivatives of chitosan: Characterization and rheological behaviour. Int. J. Biol. Macromol. 1996, 19, 21–28. [Google Scholar] [CrossRef]
- Desbrieres, J. Autoassociative natural polymer derivatives: The alkylchitosans. Rheological behaviour and temperature stability. Polymer 2004, 45, 3285–3295. [Google Scholar] [CrossRef]
- Gavalyan, V.B. Synthesis and characterization of new chitosan-based Schiff base compounds. Carbohyd. Polym. 2016, 145, 37–47. [Google Scholar] [CrossRef]
- Soliman, E.A.; El-Kousy, S.M.; Abd-Elbary, H.M.; Abou-zeid, A.R. Low Molecular Weight Chitosan-based Schiff Bases: Synthesis, Characterization and Antibacterial Activity. Am. J. Food Techno. 2012, 8, 17–30. [Google Scholar] [CrossRef][Green Version]
- Brasselet, C.; Pierre, G.; Dubessay, P.; Dols-Lafargue, M.; Coulon, J.; Maupeu, J.; Vallet-Courbin, A.; de Baynast, H.; Doco, T.; Michaud, P.; et al. Modification of Chitosan for the Generation of Functional Derivatives. Appl. Sci. 2019, 9, 1321. [Google Scholar] [CrossRef]
- Le Dung, P.; Milas, M.; Rinaudo, M.; Desbrières, J. Water soluble derivatives obtained by controlled chemical modifications of chitosan. Carbohyd. Polym. 1994, 24, 209–214. [Google Scholar] [CrossRef]
- Mati-Baouche, N.; Delattre, C. Alkyl-Chitosan-Based Adhesive: Water Resistance Improvement. Molecules 2019, 24, 1987. [Google Scholar] [CrossRef]
- Mourya, V.K.; Inamdar, N.N. Chitosan-modifications and applications: Opportunities galore. React. Funct. Polym. 2008, 68, 1013–1051. [Google Scholar] [CrossRef]
- Jensen, A.A.; Leffers, H. Emerging endocrine disrupters: Perfluoroalkylated substances. Int. J. Androl. 2008, 31, 161–169. [Google Scholar] [CrossRef] [PubMed]
- Höhne, S.; Frenzel, R.; Heppe, A.; Simon, F. Hydrophobic Chitosan Microparticles: Heterogeneous Phase Reaction of Chitosan with Hydrophobic Carbonyl Reagents. Biomacromolecules 2007, 8, 2051–2058. [Google Scholar] [CrossRef] [PubMed]
- Pal, A.K.; Katiyar, V. Nanoamphiphilic Chitosan Dispersed Poly(lactic acid) Bionanocomposite Films with Improved Thermal, Mechanical, and Gas Barrier Properties. Biomacromolecules 2016, 17, 2603–2618. [Google Scholar] [CrossRef]
- Pal, A.K.; Bhattacharjee, S.K.; Gaur, S.S.; Pal, A.; Katiyar, V. Chemomechanical, morphological, and rheological studies of chitosan-graft-lactic acid oligomer reinforced poly(lactic acid) bionanocomposite films. J. Appl. Polym. Sci. 2017, 135, 45546. [Google Scholar] [CrossRef]
- Rahman, M.; Brazel, C.S. The plasticizer market: An assessment of traditional plasticizersand research trends to meet new challenges. Prog. Polym. Sci. 2004, 29, 1223–1248. [Google Scholar] [CrossRef]
- Rosen, S.L. Fundamental Principles of Polymeric Materials, 2nd ed.; John Wiley & Sons: New York, NY, USA, 1993; Volume 33, ISBN 0-471-57525-9. [Google Scholar]
- Fedorko, P.; Djurado, D.; Trznadel, M.; Dufour, B.; Rannou, P.; Travers, J.P. Insulator-Metal transition in Polyaniline induced by plasticizers. Synth. Met. 2003, 135–136, 327–328. [Google Scholar] [CrossRef]
- Epure, V.; Griffon, M.; Pollet, E.; Avérous, L. Structure and properties of glycerol-plasticized chitosan obtained by mechanical kneading. Carbohydr. Polym. 2011, 83, 947–952. [Google Scholar] [CrossRef]
- Rodríguez-Núñez, J.R.; Madera-Santana, T.J.; Sánchez-Machado, D.I.; López-Cervantes, J.; Soto Valdez, H. Chitosan/Hydrophilic Plasticizer-Based Films: Preparation, Physicochemical and Antimicrobial Properties. J. Polym. Environ. 2014, 22, 41–51. [Google Scholar] [CrossRef]
- Santacruz, S.; Rivadeneira, C.; Castro, M. Edible films based on starch and chitosan. Effect of starch source and concentration, plasticizer, surfactant’s hydrophobic tail and mechanical treatment. Food Hydrocolloid. 2015, 49, 89–94. [Google Scholar] [CrossRef]
- Umemura, K.; Mihara, A.; Kawai, S. Development of new natural polymer-based wood adhesives III: Effects of glucose addition on properties of chitosan. J. Wood Sci. 2010, 56, 387–394. [Google Scholar] [CrossRef]
- Andreuccetti, C.; Carvalho, R.A.; Grosso, C.R.F. Effect of hydrophobic plasticizers on functional properties of gelatin-based films. Food Res. Int. 2009, 42, 1113–1121. [Google Scholar] [CrossRef]
- Yin, L.; Fei, L.; Cui, F.; Tang, C.; Yin, C. Superporous hydrogels containing poly(acrylic acid-co-acrylamide)/ O-carboxymethyl chitosan interpenetrating polymer networks. Biomaterials 2007, 28, 1258–1266. [Google Scholar] [CrossRef] [PubMed]
- Hou, X.; Siow, K.S. Novel interpenetrating polymer network electrolytes. Polymer 2001, 42, 4181–4188. [Google Scholar] [CrossRef]









Publisher’s Note: MDPI stays neutral with regard to jurisdictional claims in published maps and institutional affiliations. |
© 2021 by the authors. Licensee MDPI, Basel, Switzerland. This article is an open access article distributed under the terms and conditions of the Creative Commons Attribution (CC BY) license (https://creativecommons.org/licenses/by/4.0/).
Share and Cite
Silvestre, J.; Delattre, C.; Michaud, P.; de Baynast, H. Optimization of Chitosan Properties with the Aim of a Water Resistant Adhesive Development. Polymers 2021, 13, 4031. https://doi.org/10.3390/polym13224031
Silvestre J, Delattre C, Michaud P, de Baynast H. Optimization of Chitosan Properties with the Aim of a Water Resistant Adhesive Development. Polymers. 2021; 13(22):4031. https://doi.org/10.3390/polym13224031
Chicago/Turabian StyleSilvestre, Jeanne, Cédric Delattre, Philippe Michaud, and Hélène de Baynast. 2021. "Optimization of Chitosan Properties with the Aim of a Water Resistant Adhesive Development" Polymers 13, no. 22: 4031. https://doi.org/10.3390/polym13224031
APA StyleSilvestre, J., Delattre, C., Michaud, P., & de Baynast, H. (2021). Optimization of Chitosan Properties with the Aim of a Water Resistant Adhesive Development. Polymers, 13(22), 4031. https://doi.org/10.3390/polym13224031

