Cross-Linking and Evaluation of the Thermo-Mechanical Behavior of Epoxy Based Poly(ionic Liquid) Thermosets
Abstract
:1. Introduction
2. Materials and Methods
2.1. Chemicals and Materials
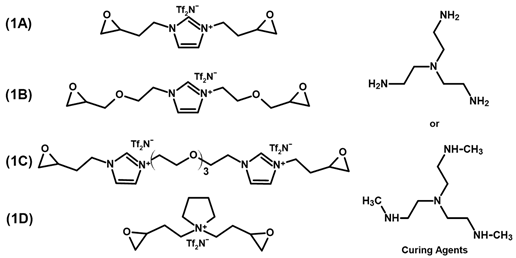
2.2. Synthesis and Thermal Curing of Ionic Liquids
2.3. Characterization Methods
3. Results and Discussion
3.1. Thermal Properties of Thermally Cured IL-E
DSC Measurements of Cured Samples
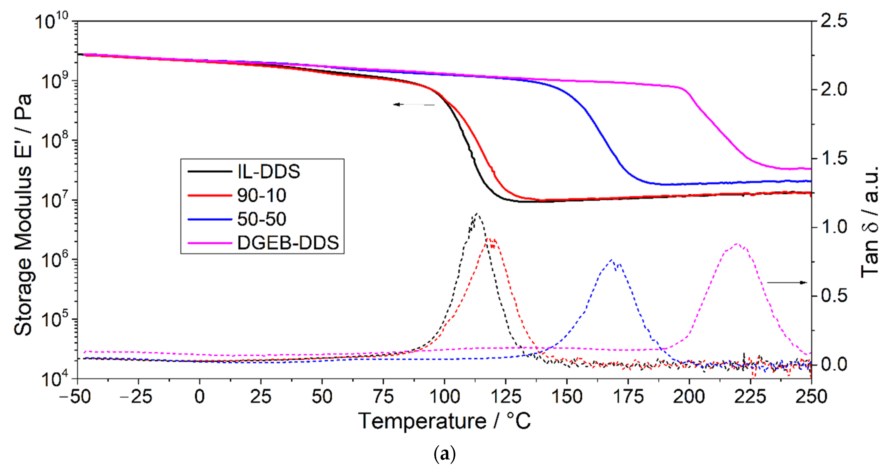
3.2. Thermomechanical Properties of Thermally Cured IL-E
4. Conclusions
Supplementary Materials
Author Contributions
Funding
Institutional Review Board Statement
Informed Consent Statement
Data Availability Statement
Acknowledgments
Conflicts of Interest
References
- Zhao, Q.; Anderson, J.L. 2.11—Ionic Liquids. In Comprehensive Sampling and Sample Preparation: Analytical Techniques for Scientists; Pawliszyn, J., Ed.; Elsevier Academic Press: Amsterdam, The Netherlands, 2012; pp. 213–242. ISBN 978-0-12-381374-9. [Google Scholar]
- Singh, S.K.; Savoy, A.W. Ionic liquids synthesis and applications: An overview. J. Mol. Liq. 2020, 297, 112038. [Google Scholar] [CrossRef]
- Siriwardana, A.I. Industrial Applications of Ionic Liquids. In Electrochemistry in Ionic Liquids; Torriero, A.A.J., Ed.; Springer: Cham, Switzerland, 2015; pp. 563–603. ISBN 978-3-319-15131-1. [Google Scholar]
- Izgorodina, E.I.; Forsyth, M.; MacFarlane, D.R. Towards a Better Understanding of ‘Delocalized Charge’ in Ionic Liquid Anions. Aust. J. Chem. 2007, 60, 15–20. [Google Scholar] [CrossRef] [Green Version]
- Soares, B.G.; Livi, S.; Duchet-Rumeau, J.; Gerard, J.-F. Synthesis and Characterization of Epoxy/MCDEA Networks Modified with Imidazolium-Based Ionic Liquids. Macromol. Mater. Eng. 2011, 296, 826–834. [Google Scholar] [CrossRef]
- Styring, P. Chapter 7—Novel Sorbent Materials for Carbon Capture. In Novel Materials for Carbon Dioxide Mitigation Technology; Morreale, B., Shi, F., Eds.; Elsevier: Amsterdam, The Netherlands, 2015; pp. 207–229. ISBN 978-0-444-63259-3. [Google Scholar]
- Harada, L.; Pereira, J.; Campos, W.; Silva, E.; Moutinho, C.; Vila, M.; Oliveira, J., Jr.; Teixeira, J.; Balcão, V.; Tubino, M. Insights into Protein-Ionic Liquid Interactions Aiming at Macromolecule Delivery Systems. J. Braz. Chem. Soc. 2018. [Google Scholar] [CrossRef]
- Walsh, D.A.; Goodwin, S. The Oxygen Reduction Reaction in Room-Temperature Ionic Liquids. In Encyclopedia of Interfacial Chemistry: Surface Science and Electrochemistry; Wandelt, K., Ed.; Elsevier: Amsterdam, The Netherlands; Oxford, UK; Cambridge, MA, USA, 2018; pp. 898–907. ISBN 978-0-12-809894-3. [Google Scholar]
- Marsh, K.N.; Boxall, J.A.; Lichtenthaler, R. Room temperature ionic liquids and their mixtures—A review. Fluid Phase Equilibria 2004, 219, 93–98. [Google Scholar] [CrossRef]
- Vashchuk, A.; Fainleib, A.M.; Starostenko, O.; Grande, D. Application of ionic liquids in thermosetting polymers: Epoxy and cyanate ester resins. Express Polym. Lett. 2018, 12, 898–917. [Google Scholar] [CrossRef]
- Mai, N.L.; Ahn, K.; Koo, Y.-M. Methods for recovery of ionic liquids—A review. Process. Biochem. 2014, 49, 872–881. [Google Scholar] [CrossRef]
- Yusuf, S.N.F.; Yahya, R.; Arof, A.K. Ionic Liquid Enhancement of Polymer Electrolyte Conductivity and their Effects on the Performance of Electrochemical Devices. In Progress and Developments in Ionic Liquids; Handy, S., Ed.; InTech: Rijeka, Croatia, 2017; ISBN 978-953-51-2902-8. [Google Scholar]
- Wang, Q.; Cai, X.; Liu, Y.; Xie, J.; Zhou, Y.; Wang, J. Pd nanoparticles encapsulated into mesoporous ionic copolymer: Efficient and recyclable catalyst for the oxidation of benzyl alcohol with O2 balloon in water. Appl. Catal. B Environ. 2016, 189, 242–251. [Google Scholar] [CrossRef]
- Hou, W.; Wang, Q.; Guo, Z.; Li, J.; Zhou, Y.; Wang, J. Nanobelt α-CuV 2 O 6 with hydrophilic mesoporous poly(ionic liquid): A binary catalyst for synthesis of 2,5-diformylfuran from fructose. Catal. Sci. Technol. 2017, 7, 1006–1016. [Google Scholar] [CrossRef]
- Zhang, Z.; Hu, S.; Song, J.; Li, W.; Yang, G.; Han, B. Hydrogenation of CO2 to formic acid promoted by a diamine-functionalized ionic liquid. ChemSusChem 2009, 2, 234–238. [Google Scholar] [CrossRef] [PubMed]
- Kubisa, P. Application of ionic liquids as solvents for polymerization processes. Prog. Polym. Sci. 2004, 29, 3–12. [Google Scholar] [CrossRef]
- Nguyen, T.K.L. New Generation of Epoxy Networks Based on Ionic Liquids: From Structuration to Final Properties. Ph.D. Thesis, Université de Lyon, Lyon, France, 2019. [Google Scholar]
- Kumar, V.; Jamie Talisman, I.; Bukhari, O.; Razzaghy, J.; Malhotra, S.V. Dual role of ionic liquids as phase transfer catalyst and solvent for glycosidation reactions. RSC Adv. 2011, 1, 1721–1727. [Google Scholar] [CrossRef]
- Bugatti, V.; Viscusi, G.; Di Bartolomeo, A.; Iemmo, L.; Zampino, D.C.; Vittoria, V.; Gorrasi, G. Ionic Liquid as Dispersing Agent of LDH-Carbon Nanotubes into a Biodegradable Vinyl Alcohol Polymer. Polymers 2020, 12, 495. [Google Scholar] [CrossRef] [Green Version]
- Booker, K.; Holdsworth, C.; Bowyer, M.; McCluskey, A. Ionic Liquids as Porogens in the Synthesis of Molecularly Imprinted Polymers. In Applications of Ionic Liquids in Science and Technology; Handy, S., Ed.; InTech: Rijeka, Croatia, 2011; ISBN 978-953-307-605-8. [Google Scholar]
- Bai, L.; Wang, J.; Zhang, H.; Liu, S.; Qin, J.; Liu, H. Ionic liquid as porogen in the preparation of a polymer-based monolith for the separation of protein by high performance liquid chromatography. Anal. Methods 2015, 7, 607–613. [Google Scholar] [CrossRef]
- Zhang, Y.; Zhang, S.; Lu, X.; Zhou, Q.; Fan, W.; Zhang, X. Dual amino-functionalised phosphonium ionic liquids for CO2 capture. Chemistry 2009, 15, 3003–3011. [Google Scholar] [CrossRef] [PubMed]
- Guerrero-Sanchez, C.; Ortiz-Alvarado, A.; Schubert, U.S. Temperature effect on the magneto-rheological behavior of magnetite particles dispersed in an ionic liquid. J. Phys. Conf. Ser. 2009, 149, 12052. [Google Scholar] [CrossRef]
- Guerrero-Sanchez, C.; Wouters, D.; Hoeppener, S.; Hoogenboom, R.; Schubert, U.S. Micellar dye shuttle between water and an ionic liquid. Soft Matter 2011, 7, 3827–3831. [Google Scholar] [CrossRef] [Green Version]
- Ribot, J.C.; Guerrero-Sanchez, C.; Greaves, T.L.; Kennedy, D.F.; Hoogenboom, R.; Schubert, U.S. Amphiphilic oligoether-based ionic liquids as functional materials for thermoresponsive ion gels with tunable properties via aqueous gelation. Soft Matter 2012, 8, 1025–1032. [Google Scholar] [CrossRef]
- Ribot, J.C.; Guerrero-Sanchez, C.; Hoogenboom, R.; Schubert, U.S. Thermoreversible ionogels with tunable properties via aqueous gelation of an amphiphilic quaternary ammonium oligoether-based ionic liquid. J. Mater. Chem. 2010, 20, 8279–8284. [Google Scholar] [CrossRef]
- Shaplov, A.S.; Ponkratov, D.O.; Vlasov, P.S.; Lozinskaya, E.I.; Komarova, L.I.; Malyshkina, I.A.; Vidal, F.; Nguyen, G.T.M.; Armand, M.; Wandrey, C.; et al. Synthesis and properties of polymeric analogs of ionic liquids. Polym. Sci. Ser. B 2013, 55, 122–138. [Google Scholar] [CrossRef]
- Tomé, L.C.; Isik, M.; Freire, C.S.R.; Mecerreyes, D.; Marrucho, I.M. Novel pyrrolidinium-based polymeric ionic liquids with cyano counter-anions: High performance membrane materials for post-combustion CO2 separation. J. Membr. Sci. 2015, 483, 155–165. [Google Scholar] [CrossRef]
- Li, X.; Zhang, Z.; Li, S.; Yang, L.; Hirano, S.-i. Polymeric ionic liquid-plastic crystal composite electrolytes for lithium ion batteries. J. Power Sources 2016, 307, 678–683. [Google Scholar] [CrossRef]
- Pont, A.-L.; Marcilla, R.; de Meatza, I.; Grande, H.; Mecerreyes, D. Pyrrolidinium-based polymeric ionic liquids as mechanically and electrochemically stable polymer electrolytes. J. Power Sources 2009, 188, 558–563. [Google Scholar] [CrossRef]
- Marcilla, R.; Blazquez, J.A.; Fernandez, R.; Grande, H.; Pomposo, J.A.; Mecerreyes, D. Synthesis of Novel Polycations Using the Chemistry of Ionic Liquids. Macromol. Chem. Phys. 2005, 206, 299–304. [Google Scholar] [CrossRef]
- Marcilla, R.; Alberto Blazquez, J.; Rodriguez, J.; Pomposo, J.A.; Mecerreyes, D. Tuning the solubility of polymerized ionic liquids by simple anion-exchange reactions. J. Polym. Sci. Part A Polym. Chem. 2004, 42, 208–212. [Google Scholar] [CrossRef]
- Tomé, L.C.; Aboudzadeh, M.A.; Rebelo, L.P.N.; Freire, C.S.R.; Mecerreyes, D.; Marrucho, I.M. Polymeric ionic liquids with mixtures of counter-anions: A new straightforward strategy for designing pyrrolidinium-based CO2 separation membranes. J. Mater. Chem. A 2013, 1, 10403–10411. [Google Scholar] [CrossRef]
- Radchenko, A.V.; Chabane, H.; Demir, B.; Searles, D.J.; Duchet-Rumeau, J.; Gérard, J.-F.; Baudoux, J.; Livi, S. New Epoxy Thermosets Derived from a Bisimidazolium Ionic Liquid Monomer: An Experimental and Modeling Investigation. ACS Sustain. Chem. Eng. 2020. [Google Scholar] [CrossRef]
- Bhavsar, R.S.; Kumbharkar, S.C.; Rewar, A.S.; Kharul, U.K. Polybenzimidazole based film forming polymeric ionic liquids: Synthesis and effects of cation–anion variation on their physical properties. Polym. Chem. 2014, 5, 4083–4096. [Google Scholar] [CrossRef]
- Livi, S.; Lins, L.C.; Capeletti, L.B.; Chardin, C.; Halawani, N.; Baudoux, J.; Cardoso, M.B. Antibacterial surface based on new epoxy-amine networks from ionic liquid monomers. Eur. Polym. J. 2019, 116, 56–64. [Google Scholar] [CrossRef]
- Zhang, S.-Y.; Zhuang, Q.; Zhang, M.; Wang, H.; Gao, Z.; Sun, J.-K.; Yuan, J. Poly(ionic liquid) composites. Chem. Soc. Rev. 2020, 49, 1726–1755. [Google Scholar] [CrossRef] [Green Version]
- Hu, X.; Tang, J.; Blasig, A.; Shen, Y.; Radosz, M. CO2 permeability, diffusivity and solubility in polyethylene glycol-grafted polyionic membranes and their CO2 selectivity relative to methane and nitrogen. J. Membr. Sci. 2006, 281, 130–138. [Google Scholar] [CrossRef]
- Bhavsar, R.S.; Kumbharkar, S.C.; Kharul, U.K. Polymeric ionic liquids (PILs): Effect of anion variation on their CO2 sorption. J. Membr. Sci. 2012, 389, 305–315. [Google Scholar] [CrossRef]
- Kumbharkar, S.C.; Bhavsar, R.S.; Kharul, U.K. Film forming polymeric ionic liquids (PILs) based on polybenzimidazoles for CO2 separation. RSC Adv. 2014, 4, 4500–4503. [Google Scholar] [CrossRef]
- Bara, J.E.; Lessmann, S.; Gabriel, C.J.; Hatakeyama, E.S.; Noble, R.D.; Gin, D.L. Synthesis and Performance of Polymerizable Room-Temperature Ionic Liquids as Gas Separation Membranes. Ind. Eng. Chem. Res. 2007, 46, 5397–5404. [Google Scholar] [CrossRef]
- McDanel, W.M.; Cowan, M.G.; Barton, J.A.; Gin, D.L.; Noble, R.D. Effect of Monomer Structure on Curing Behavior, CO2 Solubility, and Gas Permeability of Ionic Liquid-Based Epoxy–Amine Resins and Ion-Gels. Ind. Eng. Chem. Res. 2015, 54, 4396–4406. [Google Scholar] [CrossRef]
- Bara, J.E.; Gabriel, C.J.; Hatakeyama, E.S.; Carlisle, T.K.; Lessmann, S.; Noble, R.D.; Gin, D.L. Improving CO2 selectivity in polymerized room-temperature ionic liquid gas separation membranes through incorporation of polar substituents. J. Membr. Sci. 2008, 321, 3–7. [Google Scholar] [CrossRef]
- Bara, J.E.; Hatakeyama, E.S.; Gin, D.L.; Noble, R.D. Improving CO2 permeability in polymerized room-temperature ionic liquid gas separation membranes through the formation of a solid composite with a room-temperature ionic liquid. Polym. Adv. Technol. 2008, 19, 1415–1420. [Google Scholar] [CrossRef]
- Carlisle, T.K.; Nicodemus, G.D.; Gin, D.L.; Noble, R.D. CO2/light gas separation performance of cross-linked poly(vinylimidazolium) gel membranes as a function of ionic liquid loading and cross-linker content. J. Membr. Sci. 2012, 397–398, 24–37. [Google Scholar] [CrossRef]
- McDanel, W.M.; Cowan, M.G.; Carlisle, T.K.; Swanson, A.K.; Noble, R.D.; Gin, D.L. Cross-linked ionic resins and gels from epoxide-functionalized imidazolium ionic liquid monomers. Polymer 2014, 55, 3305–3313. [Google Scholar] [CrossRef]
- Leng, Y.; Wang, J.; Jiang, P. Amino-containing cross-linked ionic copolymer-anchored heteropoly acid for solvent-free oxidation of benzyl alcohol with H2O2. Catal. Commun. 2012, 27, 101–104. [Google Scholar] [CrossRef]
- Liu, G.; Hou, M.; Song, J.; Jiang, T.; Fan, H.; Zhang, Z.; Han, B. Immobilization of Pdnanoparticles with functional ionic liquid grafted onto cross-linked polymer for solvent-free Heck reaction. Green Chem. 2010, 12, 65–69. [Google Scholar] [CrossRef]
- Livi, S.; Chardin, C.; Lins, L.C.; Halawani, N.; Pruvost, S.; Duchet-Rumeau, J.; Gérard, J.-F.; Baudoux, J. From Ionic Liquid Epoxy Monomer to Tunable Epoxy–Amine Network: Reaction Mechanism and Final Properties. ACS Sustain. Chem. Eng. 2019, 7, 3602–3613. [Google Scholar] [CrossRef]
- Ohno, H.; Yoshizawa, M.; Ogihara, W. Development of new class of ion conductive polymers based on ionic liquids. Electrochim. Acta 2004, 50, 255–261. [Google Scholar] [CrossRef]
- Green, M.D.; La Salas-de Cruz, D.; Ye, Y.; Layman, J.M.; Elabd, Y.A.; Winey, K.I.; Long, T.E. Alkyl-Substituted N-Vinylimidazolium Polymerized Ionic Liquids: Thermal Properties and Ionic Conductivities. Macromol. Chem. Phys. 2011, 212, 2522–2528. [Google Scholar] [CrossRef]
- Gu, Y.; Lodge, T.P. Synthesis and Gas Separation Performance of Triblock Copolymer Ion Gels with a Polymerized Ionic Liquid Mid-Block. Macromolecules 2011, 44, 1732–1736. [Google Scholar] [CrossRef]
- Williams, S.R.; La Salas-de Cruz, D.; Winey, K.I.; Long, T.E. Ionene segmented block copolymers containing imidazolium cations: Structure–property relationships as a function of hard segment content. Polymer 2010, 51, 1252–1257. [Google Scholar] [CrossRef]
- Dai, Z.; Ansaloni, L.; Gin, D.L.; Noble, R.D.; Deng, L. Facile fabrication of CO2 separation membranes by cross-linking of poly(ethylene glycol) diglycidyl ether with a diamine and a polyamine-based ionic liquid. J. Membr. Sci. 2017, 523, 551–560. [Google Scholar] [CrossRef]
- Kammakakam, I.; Bara, J.E.; Jackson, E.M. Dual Anion–Cation Crosslinked Poly(ionic liquid) Composite Membranes for Enhanced CO2 Separation. ACS Appl. Polym. Mater. 2020, 2, 5067–5076. [Google Scholar] [CrossRef]
- Matsumoto, K.; Endo, T. Synthesis of networked polymers with lithium counter cations from a difunctional epoxide containing poly(ethylene glycol) and an epoxide monomer carrying a lithium sulfonate salt moiety. J. Polym. Sci. Part A Polym. Chem. 2010, 48, 3113–3118. [Google Scholar] [CrossRef]
- Mecerreyes, D. Applications of Ionic Liquids in Polymer Science and Technology; Springer: Berlin/Heidelberg, Germany, 2015; ISBN 978-3-662-44902-8. [Google Scholar]
- Shaplov, A.S.; Ponkratov, D.O.; Vlasov, P.S.; Lozinskaya, E.I.; Malyshkina, I.A.; Vidal, F.; Aubert, P.-H.; Armand, M.; Vygodskii, Y.S. Solid-state electrolytes based on ionic network polymers. Polym. Sci. Ser. B 2014, 56, 164–177. [Google Scholar] [CrossRef]
- O’Harra, K.E.; Noll, D.M.; Kammakakam, I.; DeVriese, E.M.; Solis, G.; Jackson, E.M.; Bara, J.E. Designing Imidazolium Poly(amide-amide) and Poly(amide-imide) Ionenes and Their Interactions with Mono- and Tris(imidazolium) Ionic Liquids. Polymers 2020, 12, 1254. [Google Scholar] [CrossRef] [PubMed]
- Jin, X.C.; Guo, L.Y.; Deng, L.L.; Wu, H. Study on epoxy resin modified by polyether ionic liquid. IOP Conf. Ser. Mater. Sci. Eng. 2017, 213, 12037. [Google Scholar] [CrossRef] [Green Version]
- Bernard, F.L.; Polesso, B.B.; Cobalchini, F.W.; Donato, A.J.; Seferin, M.; Ligabue, R.; Chaban, V.V.; do Nascimento, J.F.; Dalla Vecchia, F.; Einloft, S. CO2 capture: Tuning cation-anion interaction in urethane based poly(ionic liquids). Polymer 2016, 102, 199–208. [Google Scholar] [CrossRef]
- Vlassi, E.; Pispas, S. Imidazolium Quaternized Polymers Based On Poly(Chloromethyl Styrene) and their Complexes with FBS Proteins and DNA. Macromol. Chem. Phys. 2015, 216, 1718–1728. [Google Scholar] [CrossRef]
- Dennis, G.P.; O’Harra, K.E.; Kammakakam, I.; Jones, T.A.; Mittenthal, M.S.; Flowers, B.S.; Tuan, Y.; Jackson, E.M.; Bara, J.E. 6FDA -containing polyimide-ionene + ionic liquid gas separation membranes. J. Appl. Polym. Sci. 2020, 58, 2664–2674. [Google Scholar] [CrossRef]
- Kammakakam, I.; O’Harra, K.E.; Dennis, G.P.; Jackson, E.M.; Bara, J.E. Self-healing imidazolium-based ionene-polyamide membranes: An experimental study on physical and gas transport properties. Polym. Int. 2019, 68, 1123–1129. [Google Scholar] [CrossRef]
- Bara, J.E.; O’Harra, K.E.; Durbin, M.M.; Dennis, G.P.; Jackson, E.M.; Thomas, B.; Odutola, J.A. Synthesis and Characterization of Ionene-Polyamide Materials as Candidates for New Gas Separation Membranes. MRS Adv. 2018, 3, 3091–3102. [Google Scholar] [CrossRef]
- Carlisle, T.K.; Bara, J.E.; Lafrate, A.L.; Gin, D.L.; Noble, R.D. Main-chain imidazolium polymer membranes for CO2 separations: An initial study of a new ionic liquid-inspired platform. J. Membr. Sci. 2010, 359, 37–43. [Google Scholar] [CrossRef]
- Hess, M.; Jones, R.G.; Kahovec, J.; Kitayama, T.; Kratochvíl, P.; Kubisa, P.; Mormann, W.; Stepto, R.F.T.; Tabak, D.; Vohlídal, J.; et al. Terminology of polymers containing ionizable or ionic groups and of polymers containing ions (IUPAC Recommendations 2006). Pure Appl. Chem. 2006, 78, 2067–2074. [Google Scholar] [CrossRef]
- Bara, J.E.; O’Harra, K.E. Recent Advances in the Design of Ionenes: Toward Convergence with High-Performance Polymers. Macromol. Chem. Phys. 2019, 1900078. [Google Scholar] [CrossRef]
- O’Harra, K.E.; Kammakakam, I.; DeVriese, E.M.; Noll, D.M.; Bara, J.E.; Jackson, E.M. Synthesis and Performance of 6FDA-Based Polyimide-Ionenes and Composites with Ionic Liquids as Gas Separation Membranes. Membranes 2019, 9, 79. [Google Scholar] [CrossRef] [Green Version]
- O’Harra, K.E.; Kammakakam, I.; Noll, D.M.; Turflinger, E.M.; Dennis, G.P.; Jackson, E.M.; Bara, J.E. Synthesis and Performance of Aromatic Polyamide Ionenes as Gas Separation Membranes. Membranes 2020, 10, 51. [Google Scholar] [CrossRef] [Green Version]
- Hall, L.M.; Seitz, M.E.; Winey, K.I.; Opper, K.L.; Wagener, K.B.; Stevens, M.J.; Frischknecht, A.L. Ionic aggregate structure in ionomer melts: Effect of molecular architecture on aggregates and the ionomer peak. J. Am. Chem. Soc. 2012, 134, 574–587. [Google Scholar] [CrossRef]
- Evans, C.M.; Bridges, C.R.; Sanoja, G.E.; Bartels, J.; Segalman, R.A. Role of Tethered Ion Placement on Polymerized Ionic Liquid Structure and Conductivity: Pendant versus Backbone Charge Placement. ACS Macro Lett. 2016, 5, 925–930. [Google Scholar] [CrossRef]
- Li, P.; Coleman, M.R. Synthesis of room temperature ionic liquids based random copolyimides for gas separation applications. Eur. Polym. J. 2013, 49, 482–491. [Google Scholar] [CrossRef]
- Pascault, J.-P.; Williams, R.J.J. Epoxy Polymers: New Materials and Innovations; Wiley-VCH Verlag GmbH: Weinheim, Germany, 2010; ISBN 9781282472297. [Google Scholar]
- Sinturel, C.; Thomas, R.; Thomas, S. Micro- and Nanostructured Epoxy/Rubber Blends; Wiley-VCH: Weinheim, Germany, 2014; ISBN 3527666877. [Google Scholar]
- White, J.E.; Brennan, D.J.; Silvis, H.C.; Mang, M.N. Epoxy-Based Thermoplastics: New Polymers with Unusual Property Profiles. In Specialty Monomers and Polymers; Havelka, K.O., McCormick, C.L., Eds.; American Chemical Society: Washington, DC, USA, 2000; pp. 132–146. ISBN 0-8412-3637-2. [Google Scholar]
- Parajó, J.J.; López, M.V.; Salgado, J. Short-term thermal stability of ionic liquids. In Proceedings of the 21st International Electronic Conference on Synthetic Organic Chemistry, Online. 1–30 November 2017; p. 4820. [Google Scholar]
- Chardin, C.; Rouden, J.; Livi, S.; Baudoux, J. Dimethyldioxirane (DMDO) as a valuable oxidant for the synthesis of polyfunctional aromatic imidazolium monomers bearing epoxides. Green Chem. 2017, 19, 5054–5059. [Google Scholar] [CrossRef]
- Grugel, R.N.; Kaukler, W.F.; Paley, M.S.; Henry, C.R.; Canaday, C.T.; Hastings, W.C.; Rabenberg, E. Development of Ionic Liquid Based Epoxies for Carbon Fiber Composite Cryogenic Tanks: National Space & Missile Materials Symposium (NSMMS), Huntsville. 2014. Available online: https://ntrs.nasa.gov/search.jsp?R=20140011777 (accessed on 28 February 2020).
- Syakur, A.; Sutanto, H. Determination of Hydrophobic Contact Angle of Epoxy Resin Compound Silicon Rubber and Silica. IOP Conf. Ser. Mater. Sci. Eng. 2017, 190, 12025. [Google Scholar] [CrossRef] [Green Version]
- Paley, M.S.; Libb, R.S.; Grugel, R.N.; Boothe, R.E. Ionic Liquid Epoxy Resins. U.S. Patent US8193280B2, 4 July 2008. [Google Scholar]
- Demberelnyamba, D.; Yoon, S.J.; Lee, H. New Epoxide Molten Salts: Key Intermediates for Designing Novel Ionic Liquids. Chem. Lett. 2004, 33, 560–561. [Google Scholar] [CrossRef]
- Aslanov, A.F.; Korotkikh, N.I.; Shvaika, O.P. Synthesis of 1,3-diglycidylimidazolium salts. Chem. Heterocycl. Compd. 1996, 32, 914–917. [Google Scholar] [CrossRef]
- Lees, I.; Biyani, K.; Connor, E.; Hecker, S.; Zhang, H.; Cope, M.J.; Goka, E.; Lee, A.; Madsen, D.; Shao, J.; et al. Polyimidazoles for Use as Bile Acid Sequestrants. U.S. Patent US20190169342A1, 6 June 2019. [Google Scholar]
- Xu, C.; Yuan, L.; Liang, G.; Gu, A. Building a poly(epoxy propylimidazolium ionic liquid)/graphene hybrid through π cation –π interaction for fabricating high-k polymer composites with low dielectric loss and percolation threshold. J. Mater. Chem. C 2016, 4, 3175–3184. [Google Scholar] [CrossRef]
- Radchenko, A.V.; Duchet-Rumeau, J.; Gérard, J.-F.; Baudoux, J.; Livi, S. Cycloaliphatic epoxidized ionic liquids as new versatile monomers for the development of shape memory PIL networks by 3D printing. Polym. Chem. 2020, 11, 5475–5483. [Google Scholar] [CrossRef]
- Rabenberg, E.; Brown, A.; Kaukler, W.F.; Grugel, R.N. Evaluation of an ionic liquid-based epoxy after exposure on the MISSE-8 Carrier. Results Phys. 2016, 6, 1185–1187. [Google Scholar] [CrossRef] [Green Version]
- Lyne, C.T.; Henry, C.R.; Kaukler, W.F.; Grugel, R.N. Evaluation of ionic liquid epoxy carbon fiber composites in a cryogenic environment. Results Phys. 2018, 8, 513–515. [Google Scholar] [CrossRef]
- Karr, L.; Curreri, P.; Paley, M.; Kaukler, W.; Marone, M. Task-Specific Ionic Liquids for Mars Exploration (Green Chemistry for a Red Planet). LPI Contrib 2012, 4383. Available online: https://www.lpi.usra.edu/meetings/marsconcepts2012/pdf/4383.pdf (accessed on 3 March 2020).
- Maksym, P.; Tarnacka, M.; Dzienia, A.; Matuszek, K.; Chrobok, A.; Kaminski, K.; Paluch, M. Enhanced Polymerization Rate and Conductivity of Ionic Liquid-Based Epoxy Resin. Macromolecules 2017, 50, 3262–3272. [Google Scholar] [CrossRef]
- Perchacz, M.; Matějka, L.; Konefał, R.; Seixas, L.; Livi, S.; Baudoux, J.; Beneš, H.; Donato, R.K. Self-Catalyzed Coupling between Brønsted-Acidic Imidazolium Salts and Epoxy-Based Materials: A Theoretical/Experimental Study. ACS Sustain. Chem. Eng. 2019, 7, 19050–19061. [Google Scholar] [CrossRef]
- Yin, J.; Zhang, C.; Yu, Y.; Hao, T.; Wang, H.; Ding, X.; Meng, J. Tuning the microstructure of crosslinked Poly(ionic liquid) membranes and gels via a multicomponent reaction for improved CO2 capture performance. J. Membr. Sci. 2020, 593, 117405. [Google Scholar] [CrossRef]
- Jiang, Z.; Wang, Q.; Liu, L.; Zhang, Y.; Du, F.; Pang, A. Dual-Functionalized Imidazolium Ionic Liquids as Curing Agents for Epoxy Resins. Ind. Eng. Chem. Res. 2020, 59, 3024–3034. [Google Scholar] [CrossRef]
- Zhang, C.; Cao, B.; Coleman, M.R.; Li, P. Gas transport properties in (6FDA-RTIL)-(6FDA-MDA) block copolyimides. J. Appl. Polym. Sci. 2016, 133. [Google Scholar] [CrossRef]
- Li, P.; Zhao, Q.; Anderson, J.L.; Varanasi, S.; Coleman, M.R. Synthesis of copolyimides based on room temperature ionic liquid diamines. J. Polym. Sci. Part A Polym. Chem. 2010, 48, 4036–4046. [Google Scholar] [CrossRef]
- Demir, B.; Perli, G.; Chan, K.-Y.; Duchet-Rumeau, J.; Livi, S. Molecular-Level Investigation of Cycloaliphatic Epoxidised Ionic Liquids as a New Generation of Monomers for Versatile Poly(Ionic Liquids). Polymers 2021, 13, 1512. [Google Scholar] [CrossRef]
- Kiefer, J.; Fries, J.; Leipertz, A. Experimental vibrational study of imidazolium-based ionic liquids: Raman and infrared spectra of 1-ethyl-3-methylimidazolium bis(trifluoromethylsulfonyl)imide and 1-ethyl-3-methylimidazolium ethylsulfate. Appl. Spectrosc. 2007, 61, 1306–1311. [Google Scholar] [CrossRef] [PubMed]
- Boumediene, M.; Haddad, B.; Paolone, A.; Drai, M.; Villemin, D.; Rahmouni, M.; Bresson, S.; Abbas, O. Synthesis, thermal stability, vibrational spectra and conformational studies of novel dicationic meta-xylyl linked bis-1-methylimidazolium ionic liquids. Journal of Molecular Structure 2019, 1186, 68–79. [Google Scholar] [CrossRef]
- ISO/DIS6721-4. Plastics—Determination of Dynamic Mechanical Properties—Part 4: Tensile Vibration—Non-Resonance Method; International Organization for Standardization: Geneva, Switzerland, 2019. [Google Scholar]
- ISO/DIS11357-2 Plastics—Differential Scanning Calorimetry (DSC)—Part 2: Determination of Glass Transition Temperature and Step Height; International Organization for Standardization: Geneva, Switzerland, 2014.
- Burrell, A.K.; del Sesto, R.E.; Baker, S.N.; McCleskey, T.M.; Baker, G.A. The large scale synthesis of pure imidazolium and pyrrolidinium ionic liquids. Green Chem. 2007, 9, 449. [Google Scholar] [CrossRef]
- De Nograro, F.F.; Guerrero, P.; Corcuera, M.A.; Mondragon, I. Effects of chemical structure of hardener on curing evolution and on the dynamic mechanical behavior of epoxy resins. J. Appl. Polym. Sci. 1995, 56, 177–192. [Google Scholar] [CrossRef]
- Ozeren Ozgul, E.; Ozkul, M.H. Effects of epoxy, hardener, and diluent types on the workability of epoxy mixtures. Constr. Build. Mater. 2018, 158, 369–377. [Google Scholar] [CrossRef]
- Cole, K.C.; Hechler, J.J.; Noel, D. A new approach to modeling the cure kinetics of epoxy/amine thermosetting resins. 2. Application to a typical system based on bis[4-(diglycidylamino)phenyl]methane and bis(4-aminophenyl) sulfone. Macromolecules 1991, 24, 3098–3110. [Google Scholar] [CrossRef] [Green Version]
- Anusic, A.; Resch-Fauster, K.; Mahendran, A.R.; Wuzella, G. Anhydride Cured Bio-Based Epoxy Resin: Effect of Moisture on Thermal and Mechanical Properties. Macromol. Mater. Eng. 2019, 304, 1900031. [Google Scholar] [CrossRef] [Green Version]
- Galy, J.; Sabra, A.; Pascault, J.-P. Characterization of epoxy thermosetting systems by differential scanning calorimetry. Polym. Eng. Sci. 1986, 26, 1514–1523. [Google Scholar] [CrossRef]
- Mounif, E.; Bellenger, V.; Mazabraud, P.; Nony, F.; Tcharkhtchi, A. Chemorheological study of DGEBA/IPD system for reactive rotational molding (RRM). J. Appl. Polym. Sci. 2010, 116, 969–976. [Google Scholar] [CrossRef]
- Su, C.C.; Woo, E.M. Diffusion-controlled reaction mechanisms during cure in polycarbonate-modified epoxy networks. J. Polym. Sci. Part B Polym. Phys. 1997, 35, 2141–2150. [Google Scholar] [CrossRef]
- Garcia, F.G.; Soares, B.G.; Pita, V.J.R.R.; Sánchez, R.; Rieumont, J. Mechanical properties of epoxy networks based on DGEBA and aliphatic amines. J. Appl. Polym. Sci. 2007, 106, 2047–2055. [Google Scholar] [CrossRef]
- Boey, F.Y.C.; Qiang, W. Glass-transition temperature-conversion relationship for an epoxy-hexahydro-4-methylphthalic anhydride system. J. Appl. Polym. Sci. 2000, 78, 511–516. [Google Scholar] [CrossRef]
- Ignatenko, V.Y.; Ilyin, S.O.; Kostyuk, A.V.; Bondarenko, G.N.; Antonov, S.V. Acceleration of epoxy resin curing by using a combination of aliphatic and aromatic amines. Polym. Bull. 2020, 77, 1519–1540. [Google Scholar] [CrossRef]
- Cao, Y.; Mu, T. Comprehensive Investigation on the Thermal Stability of 66 Ionic Liquids by Thermogravimetric Analysis. Ind. Eng. Chem. Res. 2014, 53, 8651–8664. [Google Scholar] [CrossRef]
- Krevelen, D.W. Properties of Polymers: Their Correlation with Chemical Structure; Their Numerical Estimation and Prediction from Additive Group Contributions, 4th ed.; Elsevier Science & Technology: Oxford, UK, 2009; ISBN 978-0-08-054819-7. [Google Scholar]
- Qian, W.; Texter, J.; Yan, F. Frontiers in poly(ionic liquid)s: Syntheses and applications. Chem. Soc. Rev. 2017, 46, 1124–1159. [Google Scholar] [CrossRef]







| Monomer Structure | Tg, °C | Ref. |
|---|---|---|
![]() | 9/17/38 (A) −5/12 (B) −18/−27 (C) 3/20 (D) | [42,46] |
![]() | 60 & 109 | [34] |
![]() | 85 (3B) | [86] |
![]() | 55 (A) 62 (B) 53 (C) | [36,49] |
![]() | 61 | [79] |
![]() | |||
|---|---|---|---|
| Abbreviation | Epoxy Resin | Hardener | Cure Cycle |
| IL-TMHMDA | IL-E | ![]() TMHMDA | 60 °C (16 h) + 130 °C (1 h) |
| IL-IPD | IL-E | ![]() IPD | 130 °C (16 h) + 160 °C (3 h) |
| IL-MHHPA | IL-E | ![]() MHHPA | 80 °C (1 h) + 140 °C (2 h) + 180 °C (30 min) |
| IL-DDS | IL-E | ![]() DDS | 160 °C (16 h) + 180 °C (2 h) |
| DGEB-DDS | DGEBA | 160 °C (16 h) + 180 °C (2 h) | |
| 90-10 | 90 mol% IL-E 10 mol% DGEBA | 160 °C (16 h) + 180 °C (2 h) | |
| 50-50 | 50 mol% IL-E 50 mol% DGEBA | 160 °C (16 h) + 180 °C (2 h) | |
| Resin/Hardener | Tonset, °C | Tpeak, °C | Tg,u, °C |
|---|---|---|---|
| IL-TMHMDA | 58 | 109 | 32 |
| IL-IPD | 63 | 108 & 161 | 61 |
| IL-DDS | 171 | 230 & 283 | 65 |
| IL-MHHPA | 120 | 161 | 99 |
| DGEB-DDS | 177 | 241 | 200 |
| Material | Tg, °C | E’, GPa T = 0 °C | E’r*, Mpa | |
|---|---|---|---|---|
| Onset | Max tan δ | |||
| IL-TMHMDA | 18 | 28 | 1.3 | 7.8 |
| IL-IPD | 44 | 73 | 2.2 | 7.0 |
| IL-MHHPA | 91 | 107 | 1.9 | 10.0 |
| IL-DDS | 99 | 113 | 2.1 | 9.8 |
| DGEB-DDS | 196 | 220 | 2.2 | 33 |
Publisher’s Note: MDPI stays neutral with regard to jurisdictional claims in published maps and institutional affiliations. |
© 2021 by the authors. Licensee MDPI, Basel, Switzerland. This article is an open access article distributed under the terms and conditions of the Creative Commons Attribution (CC BY) license (https://creativecommons.org/licenses/by/4.0/).
Share and Cite
Wanghofer, F.; Wolfberger, A.; Wolfahrt, M.; Schlögl, S. Cross-Linking and Evaluation of the Thermo-Mechanical Behavior of Epoxy Based Poly(ionic Liquid) Thermosets. Polymers 2021, 13, 3914. https://doi.org/10.3390/polym13223914
Wanghofer F, Wolfberger A, Wolfahrt M, Schlögl S. Cross-Linking and Evaluation of the Thermo-Mechanical Behavior of Epoxy Based Poly(ionic Liquid) Thermosets. Polymers. 2021; 13(22):3914. https://doi.org/10.3390/polym13223914
Chicago/Turabian StyleWanghofer, Florian, Archim Wolfberger, Markus Wolfahrt, and Sandra Schlögl. 2021. "Cross-Linking and Evaluation of the Thermo-Mechanical Behavior of Epoxy Based Poly(ionic Liquid) Thermosets" Polymers 13, no. 22: 3914. https://doi.org/10.3390/polym13223914
APA StyleWanghofer, F., Wolfberger, A., Wolfahrt, M., & Schlögl, S. (2021). Cross-Linking and Evaluation of the Thermo-Mechanical Behavior of Epoxy Based Poly(ionic Liquid) Thermosets. Polymers, 13(22), 3914. https://doi.org/10.3390/polym13223914











