Advanced Carbon Materials Derived from Polybenzoxazines: A Review
Abstract
1. Introduction
2. Synthesis of Carbonaceous Materials from Polybenzoxazines (General Procedures)
2.1. Solid Blocks and Composites
2.2. Carbon Aerogels
2.3. Carbon Nanofibers
2.4. Carbon Dots
3. Fundamental Properties
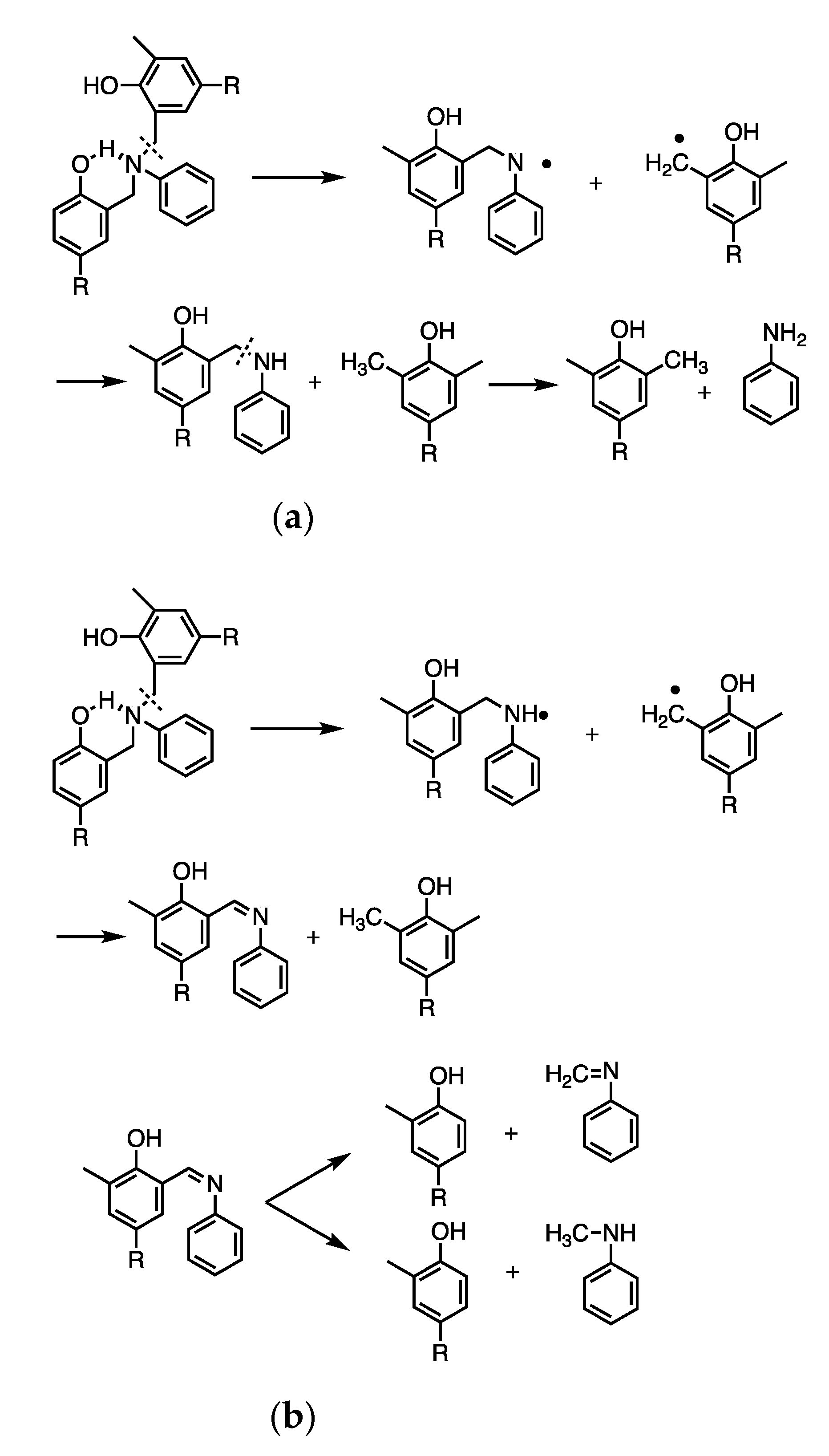
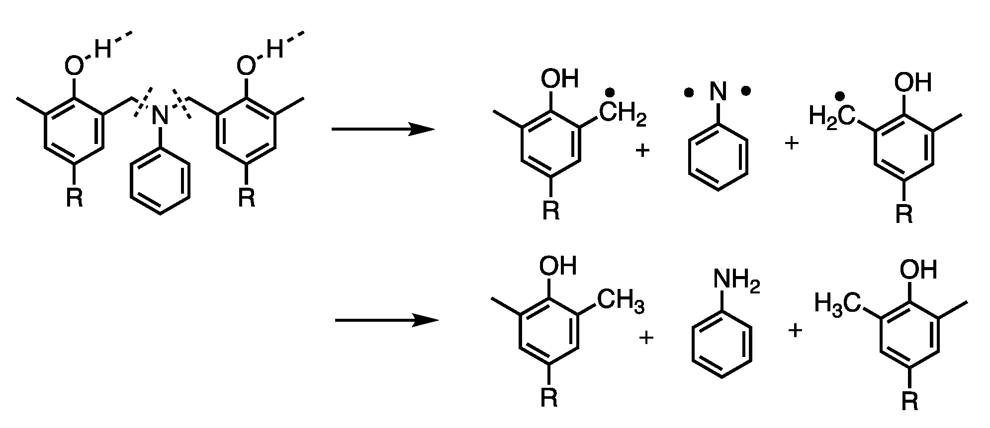
3.1. Mechanism of Carbonization from Polybenzoxazines
3.2. Electrochemical Properties
4. Applications
4.1. Topology of Polybenzoxazine-Based Carbon
4.1.1. Carbon Films
4.1.2. Polybenzoxazine-Based Carbon Foam
4.1.3. Carbon Nanofibers
4.1.4. Carbon Nanospheres/Nanodots
4.2. Polybenzoxazine-Based Carbon Aerogels
4.2.1. Controlled Microporosity and Mesoporosity
4.2.2. Porous Carbon Nanofibers
4.2.3. As Electrodes
Supercapacitors
Synthesis Techniques
Unique Structure
Multi-Element Doping
Use of Soft Templating Agent
As Materials for Batteries
4.2.4. As Adsorbents
CO2 Capture
Organic Compounds
4.2.5. As Non-Metallic Catalysts
4.2.6. As Organic Sensors
4.2.7. As Carbon Dots
4.2.8. As Electromagnetic Shielding Materials
4.2.9. As Intumescent Coating Materials
4.2.10. As Recoverable Porous Magnetic Carbons
4.2.11. As Carbon Monoliths/Adsorbents
5. Extreme Property Materials
6. Conclusions
Author Contributions
Funding
Institutional Review Board Statement
Informed Consent Statement
Data Availability Statement
Acknowledgments
Conflicts of Interest
References
- Osawa, E.; Kroto, H.W.; Fowler, P.W.; Wasserman, E. The evolution of the football structure for the C60 molecule: A retrospective. The Fullerenes 1993, 2010, 1–8. [Google Scholar] [CrossRef]
- Kroto, H.W.; Heath, J.R.; O’Brien, S.C.; Curl, R.F.; Smalley, R.E. C60: Buckminsterfullerene. Nat. Cell Biol. 1985, 318, 162–163. [Google Scholar] [CrossRef]
- Iijima, S. Helical microtubules of graphitic carbon. Nature 1991, 354, 56–58. [Google Scholar] [CrossRef]
- Geim, A.K.; Novoselov, K. The rise of graphene. Nat. Mater. 2007, 6, 183–191. [Google Scholar] [CrossRef] [PubMed]
- Hummers, W.S., Jr.; Offeman, R.E. Preparation of Graphitic Oxide. J. Am. Chem. Soc. 1958, 80, 1339. [Google Scholar] [CrossRef]
- Paul, R.; Dai, L. Interfacial aspects of carbon composites. Compos. Interfaces 2018, 25, 539–605. [Google Scholar] [CrossRef]
- McCreery, R.L. Advanced Carbon Electrode Materials for Molecular Electrochemistry. Chem. Rev. 2008, 108, 2646–2687. [Google Scholar] [CrossRef] [PubMed]
- Khan, J.; Momin, S.A.; Mariatti, M. A review on advanced carbon-based thermal interface materials for electronic devices. Carbon 2020, 168, 65–112. [Google Scholar] [CrossRef]
- Zhou, Y.; Chen, G.; Zhang, J. A review of advanced metal-free carbon catalysts for oxygen reduction reactions towards the selective generation of hydrogen peroxide. J. Mater. Chem. A 2020, 8, 20849–20869. [Google Scholar] [CrossRef]
- Tiwari, A. Advanced Carbon Materials and Technology; Wiley-Scrivener: Beverly, MA, USA, 2013. [Google Scholar]
- Gaddam, R.R.; Kumar, N.A.; Narayan, R.; Raju, K.; Zhao, X. Advanced carbon materials for electrochemical energy storage. Nanomater. Synth. 2019, 2019, 385–418. [Google Scholar] [CrossRef]
- Sluiter, M.H.F.; Kawazoe, Y. Cluster expansion method for adsorption: Application to hydrogen chemisorption on graphene. Phys. Rev. B 2003, 68, 085410. [Google Scholar] [CrossRef]
- Feng, L.; Zhang, W.X. The structure and magnetism of graphone. AIP Adv. 2012, 2, 042138. [Google Scholar] [CrossRef]
- Ghosh, N.; Kiskan, B.; Yagci, Y. Polybenzoxazines—New high performance thermosetting resins: Synthesis and properties. Prog. Polym. Sci. 2007, 32, 1344–1391. [Google Scholar] [CrossRef]
- Takeichi, T.; Agag, T. High performance polybenzoxazines as novel thermosets. High Perform. Polym. 2006, 18, 777–797. [Google Scholar] [CrossRef]
- Ishida, H. Overview and historical background of polybenzoxazine research. In Handbook of Benzoxazine Resins; Ishida, H., Agag, T., Eds.; Elsevier: Amsterdam, The Netherlands, 2011; pp. 3–81. [Google Scholar]
- Kiskan, B. Adapting benzoxazine chemistry for unconventional applications. React. Funct. Polym. 2018, 129, 76–88. [Google Scholar] [CrossRef]
- Lyu, Y.; Ishida, H. Natural-sourced benzoxazine resins, homopolymers, blends and composites: A review of their synthesis, manufacturing and applications. Prog. Polym. Sci. 2019, 99, 101168. [Google Scholar] [CrossRef]
- Rimdusit, S.; Jubsilp, C.; Tiptipakorn, S. Alloys and Composites of Polybenzoxazines; Springer Science and Business Media: Singapore, 2013; pp. 29–46. [Google Scholar]
- Ishida, H.; Froimowicz, P. (Eds.) Advanced and Emerging Polybenzoxazine Science and Technology; Elsevier: Amsterdam, The Netherlands, 2017. [Google Scholar]
- Ohashi, S.; Ishida, H. Various synthetic methods of benzoxazine monomers. In Advanced and Emerging Polybenzoxazine Science and Technology; Ishida, H., Froimowicz, P., Eds.; Elsevier: Amsterdam, The Netherlands, 2017; pp. 3–8. [Google Scholar] [CrossRef]
- Cui, S.; Arza, C.R.; Froimowicz, P.; Ishida, H. Developing further versatility in benzoxazine synthesis via hydrolytic ring-opening. Polymers 2020, 12, 694. [Google Scholar] [CrossRef]
- Han, L.; Salum, M.L.; Zhang, K.; Froimowicz, P.; Ishida, H. Intrinsic self-initiating thermal ring-opening polymerization of 1,3-benzoxazines without the influence of impurities using very high purity crystals. J. Polym. Sci. Part A Polym. Chem. 2017, 55, 3434–3445. [Google Scholar] [CrossRef]
- Sini, N.K.; Endo, T. Toward Elucidating the Role of Number of Oxazine Rings and Intermediates in the Benzoxazine Backbone on Their Thermal Characteristics. Macromolecules 2016, 49, 8466–8478. [Google Scholar] [CrossRef]
- Trybuła, D.; Marszałek-Harych, A.; Gazińska, M.; Berski, S.; Jędrzkiewicz, D.; Ejfler, J. N-Activated 1,3-Benzoxazine Monomer as a Key Agent in Polybenzoxazine Synthesis. Macromolecules 2020, 53, 8202–8215. [Google Scholar] [CrossRef]
- Zhen, H.; Yang, H.; Wang, M.; Lu, G.; Liu, Y.; Run, M. Cyclo-oligomerization of hydroxyl-containing mono-functional benzoxazines: A mechanism for oligomer formation. Polym. Chem. 2020, 11, 2325–2331. [Google Scholar] [CrossRef]
- Zhang, K.; Liu, Y.; Ishida, H. Polymerization of an AB-type benzoxazine monomer toward different polybenzoxazine networks: When diels–alder reaction meets benzoxazine chemistry in a single-component resin. Macromolecules 2019, 52, 7386–7395. [Google Scholar] [CrossRef]
- Kistler, S.S. Coherent Expanded Aerogels and Jellies. Nat. Cell Biol. 1931, 127, 741. [Google Scholar] [CrossRef]
- Fung, A.; Wang, Z.; Lu, K.; Dresselhaus, M.; Pekala, R. Characterization of carbon aerogels by transport measurements. J. Mater. Res. 1993, 8, 1875–1885. [Google Scholar] [CrossRef]
- Wang, Y.; Gawryla, M.D.; Schiraldi, D.A. Effects of freezing conditions on the morphology and mechanical properties of clay and polymer/clay aerogels. J. Appl. Polym. Sci. 2013, 129, 1637–1641. [Google Scholar] [CrossRef]
- Cheng, Z.; DeGracia, K.; Schiraldi, D.A. Sustainable, low flammability, mechanically-strong poly(vinyl alcohol) aerogels. Polymers 2018, 10, 1102. [Google Scholar] [CrossRef]
- Sun, M.; Sun, H.; Wang, Y.; Sanchez-Soto, M.; Schiraldi, D.A. The relation between the rheological properties of gels and the mechanical properties of their corresponding aerogels. Gels 2018, 4, 33. [Google Scholar] [CrossRef] [PubMed]
- Lorjai, P.; Chaisuwan, T.; Wongkasemjit, S. Porous structure of polybenzoxazine-based organic aerogel prepared by sol–gel process and their carbon aerogels. J. Sol-Gel Sci. Technol. 2009, 52, 56–64. [Google Scholar] [CrossRef]
- Thubsuang, U.; Ishida, H.; Wongkasemjit, S.; Chaisuwan, T. Self-formation of 3D interconnected macroporous carbon xerogels derived from polybenzoxazine by selective solvent during the sol–gel process. J. Mater. Sci. 2014, 49, 4946–4961. [Google Scholar] [CrossRef]
- Mahadik-Khanolkar, S.; Donthula, S.; Sotiriou-Leventis, C.; Leventis, N. Polybenzoxazine aerogels. 1. High-yield room-temperature acid-catalyzed synthesis of robust monoliths, oxidative aromatization, and conversion to microporous carbons. Chem. Mater. 2014, 26, 1303–1317. [Google Scholar] [CrossRef]
- Thubsuang, U.; Ishida, H.; Wongkasemjit, S.; Chaisuwan, T. Advanced and economical ambient drying method for controlled mesopore polybenzoxazine-based carbon xerogels: Effects of non-ionic and cationic surfactant on porous structure. J. Colloid Interface Sci. 2015, 459, 241–249. [Google Scholar] [CrossRef]
- Alhwaige, A.; Ishida, H.; Qutubuddin, S. Carbon aerogels with excellent co2 adsorption capacity synthesized from clay-reinforced biobased chitosan-polybenzoxazine nanocomposites. ACS Sustain. Chem. Eng. 2016, 4, 1286–1295. [Google Scholar] [CrossRef]
- Si, Y.; Ren, T.; Ding, B.; Yu, J.; Sun, G. Synthesis of mesoporous magnetic Fe3O4@carbon nanofibers utilizing in situ polymerized polybenzoxazine for water purification. J. Mater. Chem. 2012, 22, 4619–4622. [Google Scholar] [CrossRef]
- Si, Y.; Ren, T.; Li, Y.; Ding, B.; Yu, J. Fabrication of magnetic polybenzoxazine-based carbon nanofibers with Fe3O4 inclusions with a hierarchical porous structure for water treatment. Carbon 2012, 50, 5176–5185. [Google Scholar] [CrossRef]
- Ertas, Y.; Uyar, T. Main-chain polybenzoxazine nanofibers via electrospinning. Polymer 2014, 55, 556–564. [Google Scholar] [CrossRef]
- Fang, B.; Lu, X.; Hu, J.; Zhang, G.; Zheng, X.; He, L.; Cao, J.; Gu, J.; Cao, F. pH controlled green luminescent carbon dots derived from benzoxazine monomers for the fluorescence turn-on and turn-off detection. J. Colloid Interface Sci. 2019, 536, 516–525. [Google Scholar] [CrossRef] [PubMed]
- Huang, S.; Gu, J.; Ye, J.; Fang, B.; Wan, S.; Wang, C.; Ashraf, U.; Li, Q.; Wang, X.; Shao, L.; et al. Benzoxazine monomer derived carbon dots as a broad-spectrum agent to block viral infectivity. J. Colloid Interface Sci. 2019, 542, 198–206. [Google Scholar] [CrossRef] [PubMed]
- Speight, J.G. Industrial Organic Chemistry. In Environmental Organic Chemistry for Engineers; Elsevier: Amsterdam, The Netherlands, 2017; pp. 87–151. [Google Scholar]
- Low, H.Y.; Ishida, H. An investigation of the thermal and thermo-oxidative degradation of polybenzoxazines with a reactive functional group. J. Polym. Sci. Part B Polym. Phys. 1999, 37, 647–659. [Google Scholar] [CrossRef]
- Low, H.Y.; Ishida, H. Structural effects of phenols on the thermal and thermo-oxidative degradation of polybenzoxazines. Polymer 1999, 40, 4365–4376. [Google Scholar] [CrossRef]
- Hemvichian, K.; Ishida, H. Thermal decomposition processes in aromatic amine-based polybenzoxazines investigated by TGA and GC–MS. Polymer 2002, 43, 4391–4402. [Google Scholar] [CrossRef]
- Low, H.Y.; Ishida, H. Improved thermal stability of polybenzoxazines by transition metals. Polym. Degrad. Stab. 2006, 91, 805–815. [Google Scholar] [CrossRef]
- Bagherifam, S.; Uyar, T.; Ishida, H.; Hacaloglu, J. The use of pyrolysis mass spectrometry to investigate polymerization and degradation processes of methyl amine-based benzoxazine. Polym. Test. 2010, 29, 520–526. [Google Scholar] [CrossRef]
- Hemvichian, K.; Laobuthee, A.; Chirachanchai, S.; Ishida, H. Thermal decomposition processes in polybenzoxazine model dimers investigated by TGA–FTIR and GC–MS. Polym. Degrad. Stab. 2002, 76, 1–15. [Google Scholar] [CrossRef]
- Liu, Y.; Yue, Z.; Li, Z.; Liu, Z. Thermal degradation behavior and kinetics of polybenzoxazine based on bisphenol-S and aniline. Thermochim. Acta 2011, 523, 170–175. [Google Scholar] [CrossRef]
- Liu, Y.; Zhang, H.; Wang, M.; Liao, C.; Zhang, J. Thermal degradation behavior and mechanism of polybenzoxazine based on bisphenol-S and methylamine. J. Therm. Anal. Calorim. 2013, 112, 1213–1219. [Google Scholar] [CrossRef]
- Hamerton, I.; Thompson, S.; Howlin, B.J.; Stone, C.A. New method to predict the thermal degradation behavior of polybenzoxazines from empirical data using structure property relationships. Macromolecules 2013, 46, 7605–7615. [Google Scholar] [CrossRef]
- Zhu, Y.; Jiang, Y.; Lin, R.; Yu, S. Research on thermal degradation process of p-nitrophenol-based polybenzoxazine. Polym. Degrad. Stab. 2017, 141, 1–10. [Google Scholar] [CrossRef]
- Zhu, Y.; Gu, Y. Effect of interaction between transition metal oxides and nitrogen atoms on thermal stability of polybenzoxazine. J. Macromol. Sci. Part B 2011, 50, 1130–1143. [Google Scholar] [CrossRef]
- Hamerton, I.; Howlin, B.; Mhlanga, P.; Hassan, W.A.W. Using QSPR techniques to predict char yield arising from the thermal degradation of polybenzoxazines. Polym. Degrad. Stab. 2013, 98, 446–452. [Google Scholar] [CrossRef]
- Gao, X.; Sun, X.; Xu, L.; Zhang, H.; Liu, G. Synthesis and electrochemical properties of benzoxazine-based heteroatom-doped carbon materials. J. Mater. Res. 2019, 34, 1219–1228. [Google Scholar] [CrossRef]
- Zhang, H.; Xu, L.; Liu, G. Synthesis of benzoxazine-based n-doped mesoporous carbons as high-performance electrode materials. Appl. Sci. 2020, 10, 422. [Google Scholar] [CrossRef]
- Takahashi, Y.; Osawa, T.; Shibayama, Y.; Matsumoto, A.; Takeichi, T. Characterization of carbon films prepared from polybenzoxazine films. J. Photopolym. Sci. Technol. 2015, 28, 131–136. [Google Scholar] [CrossRef][Green Version]
- Lorjai, P.; Wongkasemjit, S.; Chaisuwan, T. Preparation of polybenzoxazine foam and its transformation to carbon foam. Mater. Sci. Eng. A 2009, 527, 77–84. [Google Scholar] [CrossRef]
- Thubsuang, U.; Ishida, H.; Wongkasemjit, S.; Chaisuwan, T. Novel template confinement derived from polybenzoxazine-based carbon xerogels for synthesis of ZSM-5 nanoparticles via microwave irradiation. Microporous Mesoporous Mater. 2012, 156, 7–15. [Google Scholar] [CrossRef]
- Ren, T.; Si, Y.; Yang, J.; Ding, B.; Yang, X.; Hong, F.; Yu, J. Polyacrylonitrile/polybenzoxazine-based Fe3O4@carbon nanofibers: Hierarchical porous structure and magnetic adsorption property. J. Mater. Chem. 2012, 22, 15919–15927. [Google Scholar] [CrossRef]
- Zhu, Z.; Ji, C.; Zhong, L.; Liu, S.; Cui, F.; Sun, H.; Wang, W. Magnetic Fe–Co crystal doped hierarchical porous carbon fibers for removal of organic pollutants. J. Mater. Chem. A 2017, 5, 18071–18080. [Google Scholar] [CrossRef]
- Huang, Y.; Lai, F.; Zhang, L.; Lu, H.; Miao, Y.-E.; Liu, T. Elastic carbon aerogels reconstructed from electrospun nanofibers and graphene as three-dimensional networked matrix for efficient energy storage/conversion. Sci. Rep. 2016, 6, 31541. [Google Scholar] [CrossRef]
- Wang, S.; Li, W.-C.; Hao, G.-P.; Hao, Y.; Sun, Q.; Zhang, X.-Q.; Lu, A.-H. Temperature-programmed precise control over the sizes of carbon nanospheres based on benzoxazine chemistry. J. Am. Chem. Soc. 2011, 133, 15304–15307. [Google Scholar] [CrossRef]
- Zhao, J.; Gilani, M.R.H.S.; Lai, J.; Nsabimana, A.; Liu, Z.; Luque, R.; Xu, G. Autocatalysis synthesis of poly(benzoxazine-co-resol)-based polymer and carbon spheres. Macromolecules 2018, 51, 5494–5500. [Google Scholar] [CrossRef]
- Zhao, J.; Gilani, M.R.H.S.; Liu, Z.; Luque, R.; Xu, G. Facile surfactant-free synthesis of polybenzoxazine-based polymer and nitrogen-doped carbon nanospheres. Polym. Chem. 2018, 9, 4324–4331. [Google Scholar] [CrossRef]
- Dai, J.; Zou, H.; Shi, Z.; Yang, H.; Wang, R.; Zhang, Z.; Qiu, S. Janus N-doped carbon@silica hollow spheres as multifunctional amphiphilic nanoreactors for base-free aerobic oxidation of alcohols in water. ACS Appl. Mater. Interfaces 2018, 10, 33474–33483. [Google Scholar] [CrossRef]
- Du, J.; Chen, A.; Liu, L.; Li, B.; Zhang, Y. N-doped hollow mesoporous carbon spheres prepared by polybenzoxazines precursor for energy storage. Carbon 2020, 160, 265–272. [Google Scholar] [CrossRef]
- Zhu, W.; Meng, X.; Zhan, Y.; Li, H.; Ma, J.; Liu, J.; Zhai, C.; Zhang, W.; Fang, X.; Ding, T. Carbonization temperature controlled thermal conductivity of graphitic carbon nanoparticles and their polymer composites. AIP Adv. 2018, 8, 055332. [Google Scholar] [CrossRef]
- Solano-Umaña, V.; Vega-Baudrit, J.R. Meso and macro porous materials on medicine. J. Biomater. Nanobiotechnology 2015, 06, 247–256. [Google Scholar] [CrossRef]
- Naderi, M. Surface Area: Brunauer-Emmett-Teller (BET); Prog. Filtr. Sep.; Academic Press: New York, NY, USA, 2015; pp. 585–608. [Google Scholar] [CrossRef]
- Zhang, L.-H.; Li, W.-C.; Tang, L.; Wang, Q.-G.; Hu, Q.-T.; Zhang, Y.; Lu, A.-H. Primary amine modulated synthesis of two-dimensional porous nanocarbons with tunable ultramicropores. J. Mater. Chem. A 2018, 6, 24285–24290. [Google Scholar] [CrossRef]
- Abuzeid, H.R.; El-Mahdy, A.F.M.; Ahmed, M.M.M.; Kuo, S.-W. Triazine-functionalized covalent benzoxazine framework for direct synthesis of N-doped microporous carbon. Polym. Chem. 2019, 10, 6010–6020. [Google Scholar] [CrossRef]
- Thubsuang, U.; Ishida, H.; Wongkasemjit, S.; Chaisuwan, T. Improvement in the pore structure of polybenzoxazine-based carbon xerogels through a silica templating method. J. Porous Mater. 2014, 21, 401–411. [Google Scholar] [CrossRef]
- Kim, D.; Yun, S.; Chun, S.; Choi, J. Porous carbon networks with nanosphere-interconnected structure via 3-aminophenol-formaldehyde polymerization. Macromol. Res. 2018, 26, 317–321. [Google Scholar] [CrossRef]
- Mahadik-Khanolkar, S.; Donthula, S.; Bang, A.; Wisner, C.; Sotiriou-Leventis, C.; Leventis, N. Polybenzoxazine aerogels. 2. Interpenetrating networks with iron oxide and the carbothermal synthesis of highly porous monolithic pure iron(0) aerogels as energetic materials. Chem. Mater. 2014, 26, 1318–1331. [Google Scholar] [CrossRef]
- Liu, Y.; Cao, L.; Luo, J.; Peng, Y.; Ji, Q.; Dai, J.; Zhu, J.; Liu, X. Biobased nitrogen- and oxygen-codoped carbon materials for high-performance supercapacitor. ACS Sustain. Chem. Eng. 2019, 7, 2763–2773. [Google Scholar] [CrossRef]
- Ge, J.; Qu, Y.; Cao, L.; Wang, F.; Dou, L.; Yu, J.; Ding, B. Polybenzoxazine-based highly porous carbon nanofibrous membranes hybridized by tin oxide nanoclusters: Durable mechanical elasticity and capacitive performance. J. Mater. Chem. A 2016, 4, 7795–7804. [Google Scholar] [CrossRef]
- Liu, M.; Qian, J.; Zhao, Y.; Zhu, D.; Gan, L.; Chen, L. Core–shell ultramicroporous@microporous carbon nanospheres as advanced supercapacitor electrodes. J. Mater. Chem. A 2015, 3, 11517–11526. [Google Scholar] [CrossRef]
- Thubsuang, U.; Chotirut, S.; Thongnok, A.; Promraksa, A.; Nisoa, M.; Manmuanpom, N.; Wongkasemjit, S.; Chaisuwan, T. Facile preparation of polybenzoxazine-based carbon microspheres with nitrogen functionalities: Effects of mixed solvents on pore structure and supercapacitive performance. Front. Chem. Sci. Eng. 2020, 14, 1072–1086. [Google Scholar] [CrossRef]
- Wan, L.; Du, C.; Yang, S. Synthesis of graphene oxide/polybenzoxazine-based nitrogen-containing porous carbon nanocomposite for enhanced supercapacitor properties. Electrochim. Acta 2017, 251, 12–24. [Google Scholar] [CrossRef]
- Thirukumaran, P.; Atchudan, R.; Parveen, A.S.; Lee, Y.R.; Kim, S.-C. Polybenzoxazine originated N-doped mesoporous carbon ropes as an electrode material for high-performance supercapacitors. J. Alloy. Compd. 2018, 750, 384–391. [Google Scholar] [CrossRef]
- Wang, Y.; Dong, L.; Lai, G.; Wei, M.; Jiang, X.; Bai, L. Nitrogen-doped hierarchically porous carbons derived from polybenzoxazine for enhanced supercapacitor performance. Nanomaterials 2019, 9, 131. [Google Scholar] [CrossRef] [PubMed]
- Zhang, M.; Yang, C.; Wang, Y.; Gao, F.; Cheng, J.; Zhang, J. High-performance supercapacitor based on nitrogen and phosphorus co-doped nonporous polybenzoxazine-based carbon electrodes. J. Electrochem. Soc. 2018, 165, A3313–A3320. [Google Scholar] [CrossRef]
- Yan, D.; Guo, D.-C.; Lu, A.-H.; Dong, X.-L.; Li, W.-C. One-pot synthesis of unique skin-tissue-bone structured porous carbons for enhanced supercapacitor performance. J. Colloid Interface Sci. 2019, 557, 519–527. [Google Scholar] [CrossRef]
- Bai, L.; Ge, Y.; Bai, L. Boron and nitrogen co-doped porous carbons synthesized from polybenzoxazines for high-performance supercapacitors. Coatings 2019, 9, 657. [Google Scholar] [CrossRef]
- Wen, J.; Chen, X.; Huang, M.; Yang, W.; Deng, J. Core–shell-structured MnO2@carbon spheres and nitrogen-doped activated carbon for asymmetric supercapacitors with enhanced energy density. J. Chem. Sci. 2020, 132, 1–11. [Google Scholar] [CrossRef]
- Wang, L.; Sun, J.; Zhang, H.; Xu, L.; Liu, G. Preparation of benzoxazine-based N-doped mesoporous carbon material and its electrochemical behaviour as supercapacitor. J. Electroanal. Chem. 2020, 868, 114196. [Google Scholar] [CrossRef]
- Katanyoota, P.; Chaisuwan, T.; Wongchaisuwat, A.; Wongkasemjit, S. Novel polybenzoxazine-based carbon aerogel electrode for supercapacitors. Mater. Sci. Eng. B 2010, 167, 36–42. [Google Scholar] [CrossRef]
- Guo, D.-C.; Mi, J.; Hao, G.-P.; Dong, W.; Xiong, G.; Li, W.-C.; Lu, A.-H. Ionic liquid C16mimBF4assisted synthesis of poly(benzoxazine-co-resol)-based hierarchically porous carbons with superior performance in supercapacitors. Energy Environ. Sci. 2013, 6, 652–659. [Google Scholar] [CrossRef]
- Hao, G.-P.; Lu, A.-H.; Dong, W.; Jin, Z.-Y.; Zhang, X.-Q.; Zhang, J.-T.; Li, W.-C. Sandwich-type microporous carbon nanosheets for enhanced supercapacitor performance. Adv. Energy Mater. 2013, 3, 1421–1427. [Google Scholar] [CrossRef]
- Wang, S.; Zhang, L.; Han, F.; Li, W.-C.; Xu, Y.-Y.; Qu, W.-H.; Lu, A.-H. Diaminohexane-assisted preparation of coral-like, poly(benzoxazine)-based porous carbons for electrochemical energy storage. ACS Appl. Mater. Interfaces 2014, 6, 11101–11109. [Google Scholar] [CrossRef] [PubMed]
- Wan, L.; Wang, J.; Xie, L.; Sun, Y.; Li, K. Nitrogen-enriched hierarchically porous carbons prepared from polybenzoxazine for high-performance supercapacitors. ACS Appl. Mater. Interfaces 2014, 6, 15583–15596. [Google Scholar] [CrossRef]
- Wickramaratne, N.P.; Xu, J.; Wang, M.; Zhu, L.; Dai, L.; Jaroniec, M. Nitrogen enriched porous carbon spheres: Attractive materials for supercapacitor electrodes and CO2 adsorption. Chem. Mater. 2014, 26, 2820–2828. [Google Scholar] [CrossRef]
- Wan, L.; Wang, J.; Sun, Y.; Feng, C.; Li, K. Polybenzoxazine-based nitrogen-containing porous carbons for high-performance supercapacitor electrodes and carbon dioxide capture. RSC Adv. 2015, 5, 5331–5342. [Google Scholar] [CrossRef]
- Liu, D.; Zeng, C.; Qu, D.; Tang, H.; Li, Y.; Su, B.-L.; Qu, D. Highly efficient synthesis of ordered nitrogen-doped mesoporous carbons with tunable properties and its application in high performance supercapacitors. J. Power Sources 2016, 321, 143–154. [Google Scholar] [CrossRef]
- Ishida, H. Process for preparation of benzoxazine compounds in solventless systems. U.S. Patent 5,543,516A, 6 August 1996. [Google Scholar]
- Li, X.; Yang, M.; Chen, H.; Liu, Y.; Li, H. N-doped porous carbons derived from cross-linked polybenzoxazine as efficient catalysts for ORR in alkaline electrolyte. J. Electrochem. Soc. 2020, 167, 116516. [Google Scholar] [CrossRef]
- Guo, D.-C.; Han, F.; Lu, A.-H. Porous carbon anodes for a high capacity lithium-ion battery obtained by incorporating silica into benzoxazine during polymerization. Chem. A Eur. J. 2015, 21, 1520–1525. [Google Scholar] [CrossRef]
- Cheng, F.; Wang, S.; Lu, A.-H.; Li, W.-C. Immobilization of nanosized LiFePO4 spheres by 3D coralloid carbon structure with large pore volume and thin walls for high power lithium-ion batteries. J. Power Sources 2013, 229, 249–257. [Google Scholar] [CrossRef]
- Chen, W.; Liang, J.; Yang, Z.; Li, G. A review of lithium-ion battery for electric vehicle applications and beyond. Energy Procedia 2019, 158, 4363–4368. [Google Scholar] [CrossRef]
- Pei, F.; An, T.; Zang, J.; Zhao, X.; Fang, X.; Zheng, M.; Dong, Q.; Zheng, N. From hollow carbon spheres to n-doped hollow porous carbon bowls: Rational design of hollow carbon host for Li-S batteries. Adv. Energy Mater. 2016, 6, 1502539. [Google Scholar] [CrossRef]
- Wang, P.; Zhang, G.; Li, Z.; Sheng, W.; Zhang, Y.; Gu, J.; Zheng, X.; Cao, F. Improved electrochemical performance of LiFePO4@N-doped carbon nanocomposites using polybenzoxazine as nitrogen and carbon sources. ACS Appl. Mater. Interfaces 2016, 8, 26908–26915. [Google Scholar] [CrossRef]
- Pei, F.; Lin, L.; Ou, D.; Zheng, Z.; Mo, S.; Fang, X.; Zheng, N. Self-supporting sulfur cathodes enabled by two-dimensional carbon yolk-shell nanosheets for high-energy-density lithium-sulfur batteries. Nat. Commun. 2017, 8, 1–10. [Google Scholar] [CrossRef]
- Pei, F.; Lin, L.; Fu, A.; Mo, S.; Ou, D.; Fang, X.; Zheng, N. A two-dimensional porous carbon-modified separator for high-energy-density Li-S batteries. Joule 2018, 2, 323–336. [Google Scholar] [CrossRef]
- Wu, J.-Y.; Mohamed, M.G.; Kuo, S.-W. Directly synthesized nitrogen-doped microporous carbons from polybenzoxazine resins for carbon dioxide capture. Polym. Chem. 2017, 8, 5481–5489. [Google Scholar] [CrossRef]
- Far, H.M.; Rewatkar, P.M.; Donthula, S.; Taghvaee, T.; Saeed, A.M.; Sotiriou-Leventis, C.; Leventis, N. Exceptionally high CO2 adsorption at 273 K by microporous carbons from phenolic aerogels: The role of heteroatoms in comparison with carbons from polybenzoxazine and other organic aerogels. Macromol. Chem. Phys. 2019, 220, 1–16. [Google Scholar] [CrossRef]
- Hong, L.; Ju, S.; Liu, X.; Zhuang, Q.; Zhan, G.; Yu, X. Highly selective CO2 uptake in novel fishnet-like polybenzoxazine-based porous carbon. Energy Fuels 2019, 33, 11454–11464. [Google Scholar] [CrossRef]
- Konnola, R.; Anirudhan, T.S. Efficient carbon dioxide capture by nitrogen and sulfur dual-doped mesoporous carbon spheres from polybenzoxazines synthesized by a simple strategy. J. Environ. Chem. Eng. 2020, 8, 103614. [Google Scholar] [CrossRef]
- Mohamed, M.G.; Tsai, M.-Y.; Su, W.-C.; El-Mahdy, A.F.; Wang, C.-F.; Huang, C.-F.; Dai, L.; Chen, T.; Kuo, S.-W. Nitrogen-Doped microporous carbons derived from azobenzene and nitrile-functionalized polybenzoxazines for CO2 uptake. Mater. Today Commun. 2020, 24, 101111. [Google Scholar] [CrossRef]
- Mohamed, M.G.; Ebrahium, S.M.; Hammam, A.S.; Kuo, S.-W.; Aly, K.I. Enhanced CO2 capture in nitrogen-enriched microporous carbons derived from Polybenzoxazines containing azobenzene and carboxylic acid units. J. Polym. Res. 2020, 27, 1–12. [Google Scholar] [CrossRef]
- Zhao, R.; Jin, Z.; Wang, J.; Zhang, G.; Zhang, D.; Sun, Y.; Guan, T.; Zhao, J.; Li, K. Adsorptive desulfurization of model fuel by S, N-codoped porous carbons based on polybenzoxazine. Fuel 2018, 218, 258–265. [Google Scholar] [CrossRef]
- Barwe, S.; Andronescu, C.; Masa, J.; Ventosa, E.; Klink, S.; Genç, A.; Arbiol, J.; Schuhmann, W. Polybenzoxazine-derived N-doped carbon as matrix for powder-based electrocatalysts. ChemSusChem 2017, 10, 2653–2659. [Google Scholar] [CrossRef] [PubMed]
- Thirukumaran, P.; Atchudan, R.; Balasubramanian, R.; Parveen, A.S.; Kim, S.-C. Direct synthesis of nitrogen-rich carbon sheets via polybenzoxazine as highly active electrocatalyst for water splitting. Int. J. Hydrogen Energy 2018, 43, 13266–13275. [Google Scholar] [CrossRef]
- Thirukumaran, P.; Balasubramanian, R.; Atchudan, R.; Parveen, A.S.; Lee, Y.R.; Kim, S.-C. Metal-free nitrogen-rich glassy carbon as an electrocatalyst for hydrogen evolution reaction. Mater. Res. Bull. 2020, 124, 110734. [Google Scholar] [CrossRef]
- Thubsuang, U.; Chotirut, S.; Nuithitikul, K.; Payaka, A.; Manmuanpom, N.; Chaisuwan, T.; Wongkasemjit, S. Oxidative upgrade of furfural to succinic acid using SO3H-carbocatalysts with nitrogen functionalities based on polybenzoxazine. J. Colloid Interface Sci. 2020, 565, 96–109. [Google Scholar] [CrossRef] [PubMed]
- Zhang, M.; He, L.; Shi, T.; Zha, R. Neat 3D C3N4 monolithic aerogels embedded with carbon aerogels via ring-opening polymerization with high photoreactivity. Appl. Catal. B Environ. 2020, 266, 118652. [Google Scholar] [CrossRef]
- Thubsuang, U.; Sukanan, D.; Sahasithiwat, S.; Wongkasemjit, S.; Chaisuwan, T. Highly sensitive room temperature organic vapor sensor based on polybenzoxazine-derived carbon aerogel thin film composite. Mater. Sci. Eng. B 2015, 200, 67–77. [Google Scholar] [CrossRef]
- Fang, B.; Wang, P.; Zhu, Y.; Wang, C.; Zhang, G.; Zheng, X.; Ding, C.; Gu, J.; Cao, F. Basophilic green fluorescent carbon nanoparticles derived from benzoxazine for the detection of Cr(vi) in a strongly alkaline environment. RSC Adv. 2018, 8, 7377–7382. [Google Scholar] [CrossRef]
- Zhang, S.; Ran, Q.; Fu, Q.; Gu, Y. Carbonized polybenzoxazine for electromagnetic interference shielding. Mater. Chem. Phys. 2019, 236, 121806. [Google Scholar] [CrossRef]
- Zhang, S.; Yin, S.; Ran, Q.; Fu, Q.; Gu, Y. Facile preparation of polybenzoxazine/graphene nanocomposites for electromagnetic interference shielding. Polymers 2019, 162, 20–28. [Google Scholar] [CrossRef]
- Beraldo, C.H.M.; Silveira, M.; Baldissera, A.F.; Ferreira, C.A. A new benzoxazine-based intumescent coating for passive protection against fire. Prog. Org. Coatings 2019, 137, 105321. [Google Scholar] [CrossRef]
- Liu, Y.; Ran, Q.; Gu, Y. Preparation and properties of benzoxazine blends with intumescent flame retardancy. Polym. Degrad. Stab. 2019, 163, 15–24. [Google Scholar] [CrossRef]
- Feng, Z.; Zeng, M.; Meng, D.; Zhu, W.; Liu, Y.; Huang, X. Novel recoverable porous magnetic carbons derived from biobased polybenzoxazine by self-foaming and activation treatment. Colloids Surfaces A Physicochem. Eng. Asp. 2020, 591, 124559. [Google Scholar] [CrossRef]
- Hao, G.-P.; Li, W.-C.; Qian, D.; Wang, G.-H.; Zhang, W.-P.; Zhang, T.; Wang, A.-Q.; Schüth, F.; Bongard, H.-J.; Lu, A.-H. Structurally designed synthesis of mechanically stable poly(benzoxazine-co-resol)-based porous carbon monoliths and their application as high-performance CO2 capture sorbents. J. Am. Chem. Soc. 2011, 133, 11378–11388. [Google Scholar] [CrossRef] [PubMed]
- Sevilla, M.; Fuertes, A.B. Fabrication of porous carbon monoliths with a graphitic framework. Carbon 2013, 56, 155–166. [Google Scholar] [CrossRef]
- Jin, L.; Ishida, H. New thermo-oxidative protective coating for carbon/carbon composites in mid-temperature range using a combination of nano-filler and macro-filler with polybenzoxazine as a carbon-forming matrix. Polym. Compos. 2011, 32, 1164–1173. [Google Scholar] [CrossRef]
- Hatta, H.; Koyama, M.; Bando, T.; Kogo, Y.; Fukuda, H.; Ishida, H. The effects of processing variables on strength of carbon bonding between carbon/carbon composites. Mater. Sci. Eng. A 2009, 513-514, 138–144. [Google Scholar] [CrossRef]
- Xu, F.; Zhu, S.; Ma, Z.; Li, H.; Wang, J.; Wu, T.; Wang, F. Ablation behavior of inorganic particle-filled polybenzoxazine composite coating irradiated by high-intensity continuous laser. Ceram. Int. 2019, 45, 14968–14975. [Google Scholar] [CrossRef]
- Ma, C.; Ma, Z.; Gao, L.; Liu, Y.; Li, H.; Lv, Y.; Wang, F. Ablation behavior of glass fiber reinforced polybenzoxazine composites irradiated by high energy continuous-wave laser. Mater. Res. Express 2019, 6, 085315. [Google Scholar] [CrossRef]
























































| Cg (F/g) | Cg/SBET (µF/cm2) | CO2 Uptake (mmol/g) | |||||
|---|---|---|---|---|---|---|---|
| Sample | (S/cm−1) | 1 A/g | 40 A/g | 1 A/g | 40 A/g | 0 °C | 25 °C |
| NPC-c | 2.96 | 69.6 | - | 54.7 | - | 2.60 | 1.79 |
| NPC-0 | 3.07 | 303 | 128 | 24.6 | 10.4 | 5.47 | 3.65 |
| NPC-1 | 3.39 | 338 | 182 | 27.0 | 14.5 | 6.20 | 3.95 |
| NPC-2 | 3.44 | 362 | 200 | 17.8 | 9.80 | 5.11 | 3.38 |
| NPC-3 | 3.58 | 286 | 184 | 12.6 | 8.12 | 4.15 | 2.96 |
Publisher’s Note: MDPI stays neutral with regard to jurisdictional claims in published maps and institutional affiliations. |
© 2021 by the authors. Licensee MDPI, Basel, Switzerland. This article is an open access article distributed under the terms and conditions of the Creative Commons Attribution (CC BY) license (https://creativecommons.org/licenses/by/4.0/).
Share and Cite
Shaer, C.; Oppenheimer, L.; Lin, A.; Ishida, H. Advanced Carbon Materials Derived from Polybenzoxazines: A Review. Polymers 2021, 13, 3775. https://doi.org/10.3390/polym13213775
Shaer C, Oppenheimer L, Lin A, Ishida H. Advanced Carbon Materials Derived from Polybenzoxazines: A Review. Polymers. 2021; 13(21):3775. https://doi.org/10.3390/polym13213775
Chicago/Turabian StyleShaer, Cecilia, Leah Oppenheimer, Alice Lin, and Hatsuo Ishida. 2021. "Advanced Carbon Materials Derived from Polybenzoxazines: A Review" Polymers 13, no. 21: 3775. https://doi.org/10.3390/polym13213775
APA StyleShaer, C., Oppenheimer, L., Lin, A., & Ishida, H. (2021). Advanced Carbon Materials Derived from Polybenzoxazines: A Review. Polymers, 13(21), 3775. https://doi.org/10.3390/polym13213775

