Abstract
This work provided an alternative route to balance the significantly increased dielectric permittivity (ε′) and effectively retained tanδ using an effective two-step concept. Ag-deposited nano-sized BaTiO3 (Ag-nBT) hybrid particle was used as the first filler to increase the ε′ of the poly(vinylidene-fluoride) (PVDF) polymer via the strong interfacial polarization and a high permittivity of nBT and suppress the increased loss tangent (tanδ) owing to the discrete growth of Ag nanoparticles on the surface of nBT, preventing a continuous percolating path. The ε′ and tanδ values at 103 Hz of the Ag-nBT/PVDF composite with fAg-nBT~0.29 were 61.7 and 0.036. The sub-micron-sized BaTiO3 (μBT) particle was selected as the blocking particles to doubly reduce the tanδ with simultaneously enhanced ε′ due to the presence of the tetragonal BT phase. The μBT blocking particles can effectively further inhibit the formation of conducting network and hence further reducing tanδ. By incorporation of μBT clocking particles with fμBT = 0.2, the ε′ value of the Ag-nBT/PVDF-μBT composite (fAg-nBT = 0.30) can significantly increase to 161.4, while the tanδ was reduced to 0.026. Furthermore, the tanδ was lower than 0.09 in the temperature range of −60–150 °C due to the blocking effect of μBT particles.
1. Introduction
Recently, poly(vinylidene-fluoride) (PVDF) polymer, a dielectric material, has received much attention in electronic devices. Since PVDF has a low dielectric constant (ε′~10) compared to those of dielectric oxides [1,2], many research groups have intensively studied the improvement of the dielectric properties of the PVDF polymer for use in various applications (e.g., capacitors [3], actuators [4], and transducers [5]). An outstanding method to obtain better dielectric properties is to fabricate PVDF polymer composites. Dielectric oxide/PVDF composites are extensively studied, such as BaTiO3 (BT)/PVDF [6], SrTiO3/PVDF [7], Na1/3Ca1/3Bi1/3Ti4O15/PVDF [8,9], La1.5Sr0.5NiO4/PVDF [10], TiO2 nanorod/PVDF [11], and CaCu3Ti4O12 CCTO)/PVDF [12]. The ε′ value can be increased in all composite systems. However, the ε′ values of many dielectric oxide/PVDF composite systems were still lower than 102 even when the volume fraction (f) was 0.5. Furthermore, the tanδ values of these composites were very large (>0.1) at f = 0.5. According to our previous work [13], the high ε′~66.1 (103 Hz) and tanδ ~ 0.218 were achieved in the nano-sized BT (nBT)/PVDF nanocomposite with fnBT = 0.4. Moreover, a low-frequency tanδ value is usually high due to polarization relaxation [6].
In addition to dielectric oxides, metal nanoparticles and conductive carbons have widely been used as a filler in the PVDF and other polymer composites such as Ni@NiO/PVDF [14], Al/PVDF [15], Zn/PVDF [16], Ag/PVDF [17], and multiwalled carbon nanotubes/PE (or epoxy) [18,19]. A rapidly enhanced ε′ of metal/PVDF composites can be accomplished using a low content of metal particles. The rapidly increased ε′ is related to the percolation theory. Although the ε′ values of many metal/PVDF composite systems can be significantly increased, a rapidly increased tanδ value (>>1.0) is usually obtained near a percolation threshold [20].
From the above limitations, a novel polymer composite system has been fabricated. Dielectric oxide and metal particles were simultaneously used as fillers in the PVDF polymer matrix, i.e., a 3-phase polymer composite [21,22,23,24,25,26,27,28,29]. As well known, the surface modification of a filler can be used to homogeneously disperse filler particles in polymer nanocomposites [8,23,30]. The ε′ values of ceramic/metal/PVDF composites can be increased. At 103 Hz, the ε′ value of the Ag-BT/PVDF composite with at fAg-BT = 0.568 (hereafter referred to as the (0.568)[Ag-BT]/PVDF) was ~160, while the increase in tanδ was suppressed at the level of ~0.11 [22]. The ε′ and tanδ values of the (0.5)Ba(Fe0.5Nb 0.5)O3/(0.25)Ni/PVDF were 475 and 0.61 at 102 Hz [31]. The ε′ values of the 3-phase polymer composites are usually much larger than 100. According to the previous work [32], we studied the effect of additional blocking nanoparticles into 3-phase polymer composites. The Ag deposited on sub-micron-sized BT (μBT)/nBT incorporated PVDF composites. A high ε′ value (ε′ = 165.2) with low tanδ value of ≈ 0.087 was obtained in the (0.51)[Ag-μBT]/PVDF-(0.2)nBT composite. The obtained tanδ value was lower than that of the (0.568)[Ag-BT]/PVDF) composite [22]. Therefore, the blocking particles can suppress the tanδ value of 3-phase polymer composites. However, the tanδ value of the (0.51)[Ag-μBT]/PVDF-(0.2)nBT composite was still quite high (>0.05), which can cause energy dissipation when it was used as a capacitor. There are some disadvantages found in the Ag-μBT/PVDF-0.2nBT composites. First, a low surface area of the μBT particles, which were used as the primary filler deposited by Ag, giving rise to the low content of the deposited Ag nanoparticles. Second, the nBT particles were too small for effectively blocking the conduction pathway and inhibiting the agglomeration of Ag-μBT hybrid particles. These disadvantages must be resolved to achieve the maximized properties using the blocking concept. According to our previous report [33], we found that the μBT particles could disperse multiwall carbon nanotube (MWCNT) in the PVDF polymer matrix better than that of nBT particles, giving rise to enhanced dielectric properties of the μBT/MWCNT/PVDF composites.
It is expected that the optimizations of the dielectric properties with further improved dielectric properties may be achieved using Ag-nBT hybrid particles with large surface areas and by controlling their dispersion using μBT particles. Thus, this work aims to systematically enhance the dielectric properties of the PVDF polymer using Ag-nBT hybrid particles as the primary filler to increase the ε′ and suppress the increased tanδ, and μBT as the sub-micron blocking particles for effectively inhibiting the conducting network between Ag-nBT hybrid nanoparticles.
In this work, nBT was used to fabricate a hybrid particle due to its high surface area, while μBT was used to improve blocking efficiency. The Ag-nBT/PVDF-μBT polymer composites with different volume fractions of Ag-nBT (fAg-nBT) were fabricated. The volume fraction of μBT blocking particles was fixed at 0.2. The results revealed a significant increase in ε′ of Ag-nBT/PVDF-μBT polymer composites. Surprisingly, the tanδ values of the polymer composites were very low for all compositions, while the ε′ increased with increasing fAg-nBT. The relevant mechanisms were discussed in detail.
2. Experimental Details
2.1. Synthesis of Ag-nBT Hybrid Particles
The raw materials for the synthesis of Ag-nBT hybrid particles consisted of BT (Sigma-Aldrich (St. Louis, MO, USA)) with a particle size of <100 nm and silver nitrate (AgNO3) (RCI Labscan, 99.8% purity). First, 5 g of AgNO3 was dissolved in 300 mL of ethylene glycol, and 5 g of nBT was added to the solution later. The mixture solution was stirred for 2 h at room temperature (RT). Secondly, the temperature increased to 140 °C and kept stirring for 25 min. Next, the mixture solution was centrifuged with ethanol to obtain the mixture powder. Finally, the mixture powder was dried in an oven at 100 °C for 24 h. A schematic figure of the synthesis of Ag-nBT hybrid particles is demonstrated in Figure 1.
Figure 1.
Schematic figure of the synthesis of Ag-nBT hybrid particles.
2.2. Synthesis of Ag-nBT/PVDF-μBT Composites
The BT with a particle size of <1 μm (μBT) (Sigma-Aldrich) was used as blocking particles to prevent the formation of conducting network between Ag-nBT hybrid particles. Therefore, PVDF-μBT was considered a matrix in this composites system. A homemade ball-milling machine was used to mix the starting powders, consisting of two rotating horizontal axles and a rotating horizontal polyethylene jar that is partly filled with ZrO2 balls with 2.0 mm in diameter and particles to be mixed. The volume fraction ratio of ZrO2 balls to total starting powders and ethanol was 0.4:0.4. First, the PVDF and μBT particles with a volume fraction ratio of 0.8:0.2 were mixed by ball-milling method in ethanol for 3 h. The speed of rotation was ~150 rpm. Second, the mixture was dried at 100 °C for 24 h to remove ethanol. Next, the mixed PVDF-μBT powder was further mixed with Ag-nBT hybrid particles using a ball-milling method in ethanol. Then, ethanol was evaporated. Finally, the polymer composites powder of each volume fraction was molded by the hot-pressing method at 200 °C for 0.5 h. The nanocomposite disks with a thickness of ~0.6–1.0 mm and a diameter of ~12 mm were achieved.
2.3. Characterization Techniques
Transmission electron microscopy (Eindhoven, The Netherlands) (TEM, FEI, TECNAI G2 20) was used to reveal the hybrid particles. X-ray diffractometry (Almelo, The Netherlands) (XRD, PANalytical, EMPYREAN) technique was used to examine the phase composition of the hybrid particles and composites. The microstructure of the polymer composites was displayed using Field Emission Scanning Electron Microscopy (Hillsboro, OR, USA) (FESEM, FEI, Helios NanoLab G3 CX) with an energy dispersive X-ray spectrometer (EDS). Fourier transformed infrared spectroscopy (FTIR, Bruker, TENSOR27) was used to indicate the phase conformation of the polymer composites. Dielectric properties were measured at a frequency range of 102–106 Hz, a temperature range of −60–150 °C and 500 mV of oscillation voltage using KEYSIGHT E4990A Impedance Analyzer (Santa Rosa, CA, USA).
3. Results and Discussion
Figure 2 shows the XRD pattern of the μBT, nBT, and Ag-nBT hybrid particles, confirming the presence of BT and Ag phases. Both BT and Ag phases can be observed in the XRD pattern of Ag-nBT hybrid particles. Usually, the tetragonal phase structure of BT ceramics is observed below the curie temperature (~120 °C). As shown in inset (a), the characteristic peak at 2θ ≈ 45° ((200) plane) of the nBT appears a single peak, indicating a cubic perovskite structure in the ABO3 family for the nBT particles used [6,34]. On the other hand, double peaks at 2θ ≈ 45° of the tetragonality structure were observed in the XRD pattern of μBT. It is expected that the ε′ value of the μBT particle is larger than that of the nBT owing to the ferroelectric phase in the μBT particle. The Ag diffraction planes (111), (200), (270), and (311) are located at 2θ around 38°, 44°, 65° and 78°, respectively [22,35]. The Ag-nBT hybrid particles have been successfully synthesized, and the phase structure of the nBT was unchanged. The inset (b) demonstrates the morphologies of the Ag-nBT hybrid particles, which were studied using the TEM technique. The TEM image shows the discretely deposited Ag particles on nBT surface. The particle sizes of the nBT and Ag nanoparticles are around 50–100 and <10 nm, respectively.
Figure 2.
XRD patterns of μBT, nBT, and Ag-nBT hybrid particles; insets (a) and (b) show expanded view near 2θ ≈ 45°, revealing the tetragonal phase of BT, and TEM image of hybrid particles, respectively.
The FESEM technique was used to reveal the microstructure of the Ag-nBT/PVDF-μBT polymer composites. The outer surface of the composites was removed by focus ion, as shown in Figure 3a,b. The inner cores of the (0.25)[Ag-nBT]/PVDF-(0.2)μBT and (0.3)[Ag-nBT]/PVDF-(0.2)μBT composites are revealed using FESEM, as shown in Figure 3c,d, respectively. showing the dispersion of μBT and Ag-nBT hybrid particles. The agglomeration of the μBT blocking particles disappeared. The μBT particles were well dispersed in the polymer matrix. As a result, the conducting network of Ag-nBT hybrid particles can be inhibited, which may lead to a reduction in tanδ values and conductivity of the polymer composites.
Figure 3.
Cross-section images of the Ag-nBT/PVDF-(0.2)μBT composites with (a,c) fAg-nBT = 0.25 and (b,d) fAg-nBT = 0.30.
The SEM-EDS elemental mapping technique was used to show the dispersion of fillers, especially for the Ag nanoparticles, in the polymer composites. Figure 4 shows the SEM-EDX elemental mapping of all elements in the (0.3)[Ag-nBT]/PVDF-(0.2)μBT composite. Barium (Ba), Titanium (Ti), and Oxygen (O), which are the elements of BT particles, were distributed throughout the PVDF matrix. Moreover, the elemental mapping of Ag nanoparticles was also revealed. There were some small clusters of Ag nanoparticles, which can be observed as a bright spot in the SEM-EDS mapping image of Ag. However, the clusters of Ag particles were not enough to create the conductive pathways. The Ag element disappeared in the μBT areas. The presence of all elements for BT and Ag particles confirmed that the PVDF matrix was filled with the Ag-nBT hybrid particles and μBT particles. In addition, Carbon (C) and Fluorine (F) represented the composition of the PVDF polymer. It is worth noting that for practical application in capacitors, the dielectric layer was sandwiched by two metal electrodes. The electrode and dielectric layers are usually encapsulated by an insulating polymer to prevent the hydration of a dielectric layer. Furthermore, the perovskite-BT particles were embedded in the PVDF polymer matrix; thus, the effect of humidity on the dielectric properties of BT was double protected.
Figure 4.
SEM-EDX elemental mapping of the Ag-nBT/PVDF-(0.2)μBT composites with fAg-nBT = 0.30.
The phase conformation of the PVDF matrix in the polymer composites was restudied again with FTIR spectroscopy. As displayed in Figure 5a, the α-phase located at wavenumber around 614, 766, 795, and 976 cm−1 [36,37,38]. Furthermore, the peak at wavenumber about 840 cm−1 was representative of both the γ- and β-phases [37,38]. The β-phase also appeared at wavenumber around 1279 cm−1 [36,37]. There were α-, γ- and β-phases in the PVDF polymer and polymer composites. As well known, the β-phase has the highest polarity among all phase conformation of PVDF [37]. The β-phase can affect the dielectric properties of the PVDF polymer composites. The Lambert-Beer equation was used to calculate the content of β-phase (F(β)), assuming that there are only α- and β-phases in the polymer composites [37]. The equation can be presented as follows,
where Aα and Aβ represent the absorbance of α-, β-phases at wavenumber = 766 cm−1 and 840 cm−1, respectively. Kα (6.1 × 104 cm2mol−1) is the absorbance coefficient of α-phase. Kβ = 7.7 × 104 (cm2mol−1) is the absorbance coefficient of β-phases. The calculated values of F(β) are displayed in Figure 5b. The F(β) values of the PVDF and the Ag-nBT/PVDF-(0.2)μBT composites with fAg-nBT = 0.06, 0.13, 0.19, 0.25 and 0.30 were 46, 55, 65, 71, 79, and 52% for the polymer composites, respectively. The F(β) increased with increasing fAg-nBT from 0.06 to 0.25, which was attributed to the negatively charged of filler induced the formation of β-phase (all trans, TTT) [37]. However, the β-phase conformation was inhibited in the case of fAg-nBT = 0.3, leading to low value of F(β) [39].
Figure 5.
(a) FTIR spectra of PVDF and the Ag-nBT/PVDF-(0.2)μBT composites and (b) % β-phase of the Ag-nBT/PVDF-(0.2)μBT composites with various fAg-nBT.
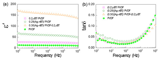
The dielectric properties at RT in the frequency range of 102–106 Hz of the PVDF polymer, 2-phase (0.2)μBT/PVDF (or PVDF-(0.2)μBT), 3-phase (0.29)[Ag-nBT]/PVDF and (0.30)[Ag-nBT]/PVDF-(0.2)μBT composites are demonstrated in Figure 6. Please note that it is difficult to assign the same fAg-nBT of the Ag-nBT/PVDF and Ag-nBT/PVDF-(0.2)μBT composites in the experimental process. Nevertheless, significantly different dielectric properties between the (0.29)[Ag-nBT]/PVDF and (0.30)[Ag-nBT]/PVDF-(0.2)μBT composites can be observed while the fAg-nBT values of these two composites are different slightly. At 103 Hz, the ε′ and tanδ values of the PVDF polymer are 13.0 and 0.022, respectively. The ε′ and tanδ values of the (0.2)μBT/PVDF composite are 26.7 and 0.022, respectively. These values are similar to those reported in the previous works for the PVDF polymer composite filled with μBT particles [6]. This result shows the important role of the μBT particles to enhance the dielectric response in the PVDF polymer without any effect on the tanδ value. The ε′ and tanδ values at 103 Hz of the (0.29)[Ag-nBT]/PVDF composite without blocking particles are 61.7 and 0.036, respectively. The tanδ of the (0.29)[Ag-nBT]/PVDF composite was slightly higher than those of the PVDF polymer and (0.2)μBT/PVDF composite over the measured frequency range, whereas the ε′ of the (0.29)[Ag-nBT]/PVDF composite was much larger. This result indicated that the ε′ of the PVDF polymer can be significantly increased by incorporating with Ag-nBT hybrid particles due to the strong interfacial polarization (i.e., Ag-nBT and Ag-PVDF interfaces) and a relatively high permittivity of nBT particles compared to that of the PVDF polymer.
Figure 6.
Comparison of (a) ε′ and (b) tanδ at RT for PVDF polymer, (0.2)μBT/PVDF, (0.29)[Ag-nBT]/PVDF, and (0.30)Ag-nBT/PVDF-(0.2)μBT composites.
Generally, the tanδ of PVDF polymer composites filled with conductive nanoparticles is largely increased as the filler loading increases. The suppressed tanδ in the (0.29)[Ag-nBT]/PVDF composite was owing to the discrete growth of Ag nanoparticles on the surface of nBT, preventing the direct contact between Ag nanoparticles. The ε′ and tanδ values at 103 Hz of the (0.3)[Ag-nBT]/PVDF-(0.2)μBT composite with blocking particles are 161 and 0.026, respectively. Obviously, the μBT blocking particles can further improve the dielectric properties of the (0.30)[Ag-nBT]/PVDF-(0.2)μBT composite, resulting in a further significantly increased ε′ with simultaneously reducing the tanδ to the initial value of the PVDF polymer. As shown in Figure 6a, the ε′ of the (0.30)[Ag-nBT]/PVDF-(0.2)μBT composite increased by factors of 6 and 12 compared to that of the (0.2)μBT/PVDF composite and PVDF polymer, respectively, while the tanδ values of these three samples are nearly the same in value. This result indicated the essential role of Ag-nBT hybrid particles for increasing the dielectric response without any effect on the tanδ. The important role of the μBT blocking particles is to efficiently obstruct the conductive pathways with simultaneously increasing the ε′ due to the tetragonal ferroelectric phase of the μBT. Therefore, the μBT blocking particles were the key factor in low tanδ values of the Ag-nBT/PVDF-(0.2)μBT composites. Typically, polymer nanocomposites can provide a high tanδ values. This is because of high surface energy, which may contribute to the agglomeration of nanoparticles [13]. Therefore, the addition of μBT can also inhibit the agglomeration of the Ag-nBT hybrid particles. The ε′ and tanδ values are better than our previous work [32], which PVDF incorporated with the Ag-μBT hybrid particles and nBT blocking particles.
The frequency-dependence behavior of dielectric properties of the Ag-nBT/PVDF-(0.2)μBT composites with different fAg-nBT is displayed in Figure 7a. The ε′ increases with increasing fAg-nBT in the frequency range of 102–106 Hz, which is attributed to the significantly increased interfacial polarization and the increase in a high-permittivity nBT phase. Moreover, the ε′ is nearly independent of the frequency. However, the ε′ drops at a frequency range of 106 Hz, which is noticeable at high fAg-nBT. The frequency-dependence behavior of the ε′ value in a high-frequency range is usually ascribed by the dielectric relaxation of the PVDF matrix. The dipole polarization relaxation of the PVDF matrix was prominent at this frequency range [6]. Figure 7b demonstrates the variation in the tanδ in the frequency of 102–106 Hz. The low-frequency tanδ values of all composites are lower than 0.09. Notably, the tanδ value of the (0.30)[Ag-nBT]/PVDF-(0.2)μBT is lower than 0.1 over the measured frequency range. In a high-frequency range, the increased tanδ value is usually due to the dielectric relaxation of the PVDF matrix, corresponding to the decreased ε′ value at high frequencies.
Figure 7.
Frequency dependence on (a) ε′ and (b) tanδ of the Ag-nBT/PVDF-(0.2)μBT composites with various fAg-nBT.
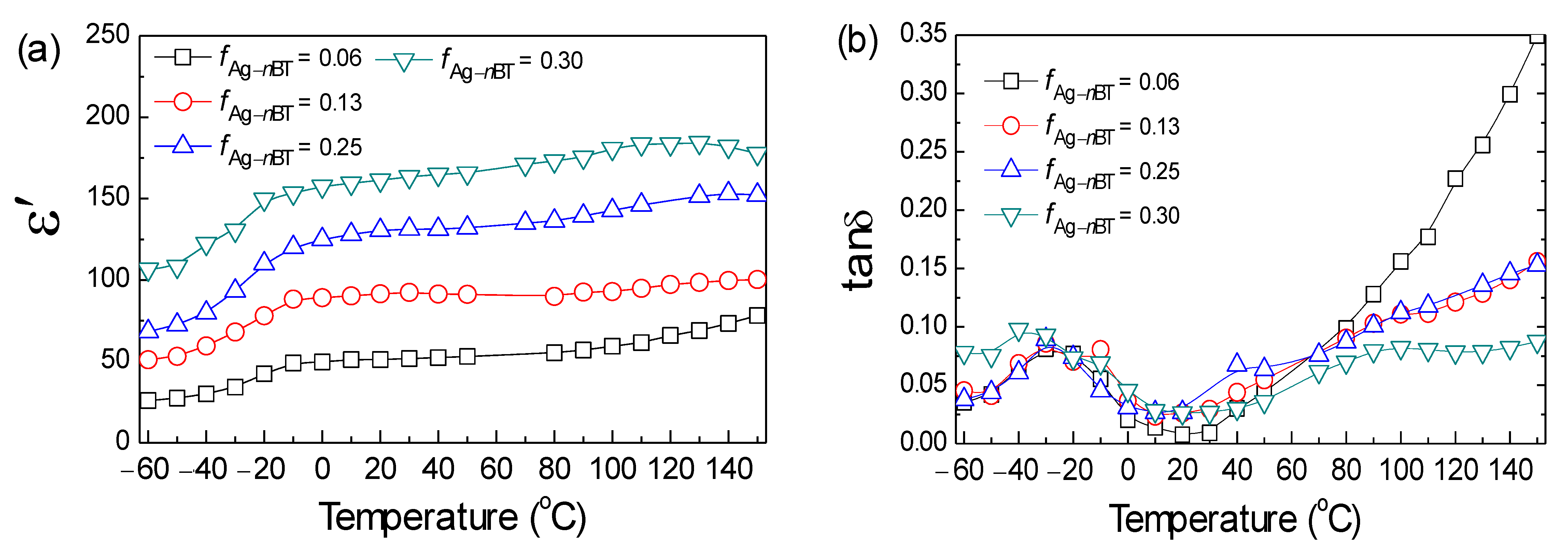
The effects of temperature on the dielectric properties of the Ag-nBT/PVDF-(0.2)μBT composites were also investigated. Figure 8a,b show the ε′ and tanδ values (at 103 Hz) of the Ag-nBT/PVDF-(0.2)μBT composites with various fAg-nBT in the temperature range of −60–150 °C, respectively. The rapid increase in ε′ is observed when the temperature increased from −60 to 0 °C. Then, it slightly increased as the temperature increased from 0 to 150 °C. The rapid increase in ε′ in a low-temperature range correlates to the β relaxation of the PVDF polymer [22,40,41]. The β relaxation corresponds to the dipolar group motions and the glass transition [40,41]. Furthermore, the ε′ at high temperatures is dominant by the interfacial polarization and molecular motions of PVDF [22,41,42]. The relaxation peak of tanδ in a low-temperature range is related to β relaxation, corresponding to the observed rapid change in the ε′. The tanδ value increases with increasing the temperature. The tanδ value in a high-temperature range of the composites with high fAg-nBT is lower than that of the composites with low fAg-nBT, which is because the high fillers inhibited the movement of the PVDF chains, resulting in the lower tanδ [43].
Figure 8.
Temperature dependence on dielectric properties (a) ε′ and (b) tanδ of the Ag-nBT/PVDF-(0.2)μBT composites with different fAg-nBT.
4. Conclusions
The PVDF polymer composites filled with the Ag-nBT hybrid and μBT particles were fabricated as the 3-phase Ag-nBT/PVDF-(0.2)μBT composites. The μBT particles were used as blocking particles to inhibit the formation of conducting network. The microstructure analysis revealed a homogeneous distribution of fillers in the PVDF matrix. The significantly improved dielectric properties of the Ag-nBT/PVDF-(0.2)μBT composites were obtained. The ε′ values increased from 51.1 to 161.4, while the tanδ remained at a low value of <0.03. It was demonstrated that the addition of Ag-nBT hybrid particles could cause an increase in the ε′ of the polymer composites through interfacial polarization between filler-matrix and filler-filler. Moreover, the observed low tanδ and σ values indicated that there was no formation of the conducting network in the insulative PVDF polymer matrix. The μBT particles played an essential role in suppressing the formation of the conductive pathways. Therefore, the results of microstructure, dielectric properties, including electrical properties indicated that the Ag-nBT/PVDF-(0.2)μBT composites is a promising dielectric polymer composite, which has a potential for application in in electronic devices.
Author Contributions
Conceptualization, P.T.; Data curation, K.S.; Formal analysis, K.S. and P.T.; Investigation, K.S.; Methodology, K.S.; Visualization, K.S. and P.T.; Writing—original draft, K.S. and P.T.; Writing—review & editing, P.T. All authors have read and agreed to the published version of the manuscript.
Funding
This research was funded by the Basic Research Fund of Khon Kaen University and the Research and Graduate Studies, Khon Kaen University. This project is funded by the National Research Council of Thailand (NRCT): (N41A640084) and the National Science, Research and Innovation Fund (NSRF). K. Silakaew would like to thank the Thailand Research Fund under The Royal Golden Jubilee Ph.D. Program [Grant Number PHD/0213/2558] for her Ph.D. scholarship.
Institutional Review Board Statement
Not applicable.
Informed Consent Statement
Not applicable.
Data Availability Statement
The data presented in this study are available on request from the corresponding author.
Conflicts of Interest
The authors declare no conflict of interest.
References
- Mao, Y.P.; Mao, S.Y.; Ye, Z.G.; Xie, Z.X.; Zheng, L.S. Size-dependences of the dielectric and ferroelectric properties of BaTiO3/polyvinylidene fluoride nanocomposites. J. Appl. Phys. 2010, 108, 014102. [Google Scholar] [CrossRef]
- Yang, C.; Song, H.-s.; Liu, D.-b. Effect of coupling agents on the dielectric properties of CaCu3Ti4O12/PVDF composites. Compos. Part B Eng. 2013, 50, 180–186. [Google Scholar] [CrossRef]
- Xie, L.; Huang, X.; Li, B.W.; Zhi, C.; Tanaka, T.; Jiang, P. Core-satellite Ag@BaTiO3 nanoassemblies for fabrication of polymer nanocomposites with high discharged energy density, high breakdown strength and low dielectric loss. Phys. Chem. Chem. Phys. 2013, 15, 17560–17569. [Google Scholar] [CrossRef]
- Huang, X.; Jiang, P. Core-shell structured high-k polymer nanocomposites for energy storage and dielectric applications. Adv. Mater. 2015, 27, 546–554. [Google Scholar] [CrossRef]
- Dang, Z.-M.; Yuan, J.-K.; Zha, J.-W.; Zhou, T.; Li, S.-T.; Hu, G.-H. Fundamentals, processes and applications of high-permittivity polymer–matrix composites. Prog. Mater. Sci. 2012, 57, 660–723. [Google Scholar] [CrossRef]
- Dang, Z.-M.; Xu, H.-P.; Wang, H.-Y. Significantly enhanced low-frequency dielectric permittivity in the BaTiO3/poly(vinylidene fluoride) nanocomposite. Appl. Phys. Lett. 2007, 90, 012901. [Google Scholar] [CrossRef]
- Yao, L.; Pan, Z.; Zhai, J.; Zhang, G.; Liu, Z.; Liu, Y. High-energy-density with polymer nanocomposites containing of SrTiO3 nanofibers for capacitor application. Compos. Part A Appl. Sci. Manuf. 2018, 109, 48–54. [Google Scholar] [CrossRef]
- Kum-onsa, P.; Phromviyo, N.; Thongbai, P. Na1/3Ca1/3Bi1/3Cu3Ti4O12–Ni@NiO/poly(vinylidene fluoride): Three–phase polymer composites with high dielectric permittivity and low loss tangent. Res. Phys. 2020, 18, 103312. [Google Scholar] [CrossRef]
- Kum−onsa, P.; Thongbai, P. Na1/3Ca1/3Bi1/3Cu3Ti4O12/poly(vinylidene fluoride) composites with high dielectric permittivity and low dielectric loss. Mater. Chem. Phys. 2020, 256, 123664. [Google Scholar] [CrossRef]
- Meeporn, K.; Thongbai, P. Flexible La1.5Sr0.5NiO4/Poly(vinylidene fluoride) composites with an ultra high dielectric constant: A comparative study. Compos. Part B Eng. 2020, 184, 107738. [Google Scholar] [CrossRef]
- Kum-Onsa, P.; Chanlek, N.; Thongbai, P. Largely enhanced dielectric properties of TiO2-nanorods/poly(vinylidene fluoride) nanocomposites driven by enhanced interfacial areas. Nanocomposites 2021, 7, 123–131. [Google Scholar] [CrossRef]
- Thomas, P.; Varughese, K.T.; Dwarakanath, K.; Varma, K.B.R. Dielectric properties of Poly(vinylidene fluoride)/CaCu3Ti4O12 composites. Compos. Sci. Technol. 2010, 70, 539–545. [Google Scholar] [CrossRef] [Green Version]
- Silakaew, K.; Saijingwong, W.; Meeporn, K.; Maensiri, S.; Thongbai, P. Effects of processing methods on dielectric properties of BaTiO3/poly(vinylidene fluoride) nanocomposites. Microelectron. Eng. 2015, 146, 1–5. [Google Scholar] [CrossRef]
- Zhou, W.; Gong, Y.; Tu, L.; Xu, L.; Zhao, W.; Cai, J.; Zhang, Y.; Zhou, A. Dielectric properties and thermal conductivity of core-shell structured Ni@NiO/poly(vinylidene fluoride) composites. J. Alloys Compd. 2017, 693, 1–8. [Google Scholar] [CrossRef]
- Zhou, W.; Zuo, J.; Ren, W. Thermal conductivity and dielectric properties of Al/PVDF composites. Compos. Part A Appl. Sci. Manuf. 2012, 43, 658–664. [Google Scholar] [CrossRef]
- Zhou, W.; Wang, Z.; Dong, L.; Sui, X.; Chen, Q. Dielectric properties and thermal conductivity of PVDF reinforced with three types of Zn particles. Compos. Part A Appl. Sci. Manuf. 2015, 79, 183–191. [Google Scholar] [CrossRef]
- Guan, L.; Liu, L.; Weng, L.; Zhang, X.; Cui, W. Enhancement in energy storage density of polyvinylidene fluoride composites by introduced rod-like core-shell Ag@Al2O3 nanorods. Polymer 2018, 148, 39–48. [Google Scholar] [CrossRef]
- Aigbodion, V.S. Explicit microstructure and electrical conductivity of epoxy/carbon nanotube and green silver nanoparticle enhanced hybrid dielectric composites. Nanocomposites 2021, 7, 35–43. [Google Scholar] [CrossRef]
- Yang, P.; Tian, K.; Ren, X.; Zhou, K. A comparative study of electrical aging of multiwalled carbon nanotubes and carbon black filled cross-linked polyethylene. Nanocomposites 2019, 5, 95–103. [Google Scholar] [CrossRef]
- Nan, C.W.; Shen, Y.; Ma, J. Physical Properties of Composites near Percolation. Annu. Rev. Mater. Res. 2010, 40, 131–151. [Google Scholar] [CrossRef]
- Luo, S.; Yu, S.; Fang, F.; Lai, M.; Sun, R.; Wong, C.-P. Critical interparticle distance for the remarkably enhanced dielectric constant of BaTiO3-Ag hybrids filled polyvinylidene fluoride composites. Appl. Phys. Lett. 2014, 104, 252903. [Google Scholar] [CrossRef]
- Luo, S.; Yu, S.; Sun, R.; Wong, C.P. Nano Ag-deposited BaTiO3 hybrid particles as fillers for polymeric dielectric composites: Toward high dielectric constant and suppressed loss. ACS Appl. Mater. Interfaces 2014, 6, 176–182. [Google Scholar] [CrossRef]
- Su, Y.; Gu, Y.; Li, H.; Geng, F. Ag-NBCTO-PVDF composites with enhanced dielectric properties. Mater. Lett. 2016, 185, 208–210. [Google Scholar] [CrossRef]
- Yang, W.; Yu, S.; Sun, R.; Ke, S.; Huang, H.; Du, R. Electrical modulus analysis on the Ni/CCTO/PVDF system near the percolation threshold. J. Phys. D Appl. Phys. 2011, 44, 475305. [Google Scholar] [CrossRef]
- Dang, Z.-M.; Yao, S.-H.; Yuan, J.-K.; Bai, J. Tailored Dielectric Properties based on Microstructure Change in BaTiO3-Carbon Nanotube/Polyvinylidene Fluoride Three-Phase Nanocomposites. J. Phys. Chem. C 2010, 114, 13204–13209. [Google Scholar] [CrossRef]
- Wang, H.-Y.; You, Y.-b.; Zha, J.-W.; Dang, Z.-M. Fabrication of BaTiO3@super short MWCNTs core-shell particles reinforced PVDF composite films with improved dielectric properties and high thermal conductivity. Compos. Sci. Technol. 2020, 200, 108405. [Google Scholar]
- Kum-onsa, P.; Chanlek, N.; Manyam, J.; Thongbai, P.; Harnchana, V.; Phromviyo, N.; Chindaprasirt, P. Gold-Nanoparticle-Deposited TiO2 Nanorod/Poly(Vinylidene Fluoride) Composites with Enhanced Dielectric Performance. Polymers 2021, 13, 2064. [Google Scholar] [CrossRef] [PubMed]
- Kum-onsa, P.; Phromviyo, N.; Thongbai, P. Suppressing loss tangent with significantly enhanced dielectric permittivity of poly(vinylidene fluoride) by filling with Au–Na1/2Y1/2Cu3Ti4O12 hybrid particles. RSC Adv. 2020, 10, 40442–40449. [Google Scholar] [CrossRef]
- Kum-onsa, P.; Chanlek, N.; Putasaeng, B.; Thongbai, P. Improvement in dielectric properties of poly(vinylidene fluoride) by incorporation of Au–BiFeO3 hybrid nanoparticles. Ceram. Int. 2020, 46, 17272–17279. [Google Scholar] [CrossRef]
- Prasad, A.S.; Wang, Y.; Li, X.; Iyer, A.; Chen, W.; Brinson, L.C.; Schadler, L.S. Investigating the effect of surface modification on the dispersion process of polymer nanocomposites. Nanocomposites 2020, 6, 111–124. [Google Scholar] [CrossRef]
- Wang, Z.; Wang, T.; Fang, M.; Wang, C.; Xiao, Y.; Pu, Y. Enhancement of dielectric and electrical properties in BFN/Ni/PVDF three-phase composites. Compos. Sci. Technol. 2017, 146, 139–146. [Google Scholar] [CrossRef]
- Silakaew, K.; Thongbai, P. Suppressed loss tangent and conductivity in high-permittivity Ag-BaTiO3/PVDF nanocomposites by blocking with BaTiO3 nanoparticles. Appl. Surf. Sci. 2019, 492, 683–689. [Google Scholar] [CrossRef]
- Silakaew, K.; Thongbai, P. Significantly improved dielectric properties of multiwall carbon nanotube-BaTiO3/PVDF polymer composites by tuning the particle size of the ceramic filler. RSC Adv. 2019, 9, 23498–23507. [Google Scholar] [CrossRef] [Green Version]
- Fan, B.-H.; Zha, J.-W.; Wang, D.-R.; Zhao, J.; Zhang, Z.-F.; Dang, Z.-M. Preparation and dielectric behaviors of thermoplastic and thermosetting polymer nanocomposite films containing BaTiO3 nanoparticles with different diameters. Compos. Sci. Technol. 2013, 80, 66–72. [Google Scholar] [CrossRef]
- Ren, L.; Meng, X.; Zha, J.-W.; Dang, Z.-M. Coulomb block effect inducing distinctive dielectric properties in electroless plated barium titanate@silver/poly(vinylidene fluoride) nanocomposites. RSC Adv. 2015, 5, 65167–65174. [Google Scholar] [CrossRef]
- Cai, X.; Lei, T.; Sun, D.; Lin, L. A critical analysis of the α, β and γ phases in poly(vinylidene fluoride) using FTIR. RSC Adv. 2017, 7, 15382–15389. [Google Scholar] [CrossRef] [Green Version]
- Martins, P.; Lopes, A.C.; Lanceros-Mendez, S. Electroactive phases of poly(vinylidene fluoride): Determination, processing and applications. Prog. Polym. Sci. 2014, 39, 683–706. [Google Scholar] [CrossRef]
- Xia, W.; Zhang, Z. PVDF-based dielectric polymers and their applications in electronic materials. IET Nanodielectrics 2018, 1, 17–31. [Google Scholar] [CrossRef]
- Thakur, P.; Kool, A.; Hoque, N.A.; Bagchi, B.; Roy, S.; Sepay, N.; Das, S.; Nandy, P. Improving the thermal stability, electroactive β phase crystallization and dielectric constant of NiO nanoparticle/C–NiO nanocomposite embedded flexible poly(vinylidene fluoride) thin films. RSC Adv. 2016, 6, 26288–26299. [Google Scholar] [CrossRef]
- Kum-onsa, P.; Thongbai, P. Improved Dielectric Properties of Poly(vinylidene fluoride) Composites Incorporating Na1/2Y1/2Cu3Ti4O12 Particles. Mater. Today Commun. 2020, 25, 101654. [Google Scholar] [CrossRef]
- Xu, H.-P.; Dang, Z.-M.; Bing, N.-C.; Wu, Y.-H.; Yang, D.-D. Temperature dependence of electric and dielectric behaviors of Ni/polyvinylidene fluoride composites. J. Appl. Phys. 2010, 107, 034105. [Google Scholar] [CrossRef]
- Pan, Z.; Yao, L.; Zhai, J.; Shen, B.; Wang, H. Significantly improved dielectric properties and energy density of polymer nanocomposites via small loaded of BaTiO3 nanotubes. Compos. Sci. Technol. 2017, 147, 30–38. [Google Scholar] [CrossRef]
- Lu, X.; Zou, X.; Shen, J.; Jin, L.; Yan, F.; Zhao, G.; Zhang, L.; Cheng, Z.Y. Characterizations of P(VDF-HFP)-BaTiO3 nanocomposite films fabricated by a spin-coating process. Ceram. Int. 2019, 45, 17758–17766. [Google Scholar] [CrossRef]
Publisher’s Note: MDPI stays neutral with regard to jurisdictional claims in published maps and institutional affiliations. |
© 2021 by the authors. Licensee MDPI, Basel, Switzerland. This article is an open access article distributed under the terms and conditions of the Creative Commons Attribution (CC BY) license (https://creativecommons.org/licenses/by/4.0/).







