Prediction of the Ultimate Strength of Notched and Unnotched IM7/977-3 Laminated Composites Using a Micromechanics Approach
Abstract
:1. Introduction
2. Micromechanics Based Progressive Damage Model
2.1. Multi-Scale Analysis
2.2. Stress Amplification Factors
2.3. Damage Model of Constituents
2.4. Fiber Failure Criteria
2.5. Matrix Failure Criteria
2.6. Numerical Implementation of Constituent Damage Models
- The overall global strain produced at the global time n, was calculated through the addition of the global strain increment at n and at the previous step n-1.
- With regard to the composite laminate, the macro level stresses of each constituent element, i.e., the fiber and matrix, were calculated with the help of previous effective stiffness properties.
- Subsequently, the micro level stress of each constituent was computed from the macro stresses with the help of SAFs.
- The damage model of constituents was then employed to both fiber and matrix to calculate the damage factor in the fiber and matrix areas, symbolized by Dm and Df.
- The total damage factor produced for matrix and fiber zones were then analyzed using their corresponding damage methods, i.e., the maximum damage for fiber and the damage homogenization using volume-based technique for the matrix.
- The stiffness degradation of matrix and fiber were calculated using the status of the total damage factor. Subsequently, the ply level effective properties were calculated for the following time increment.
- The numerical execution of MMF was implemented using ABAQUS, combined with the user subroutine USDFLD.
3. Methodology
3.1. Models Geometries and Boundary Conditions
3.2. Mesh Details
3.3. Material Properties
4. Results and Discussion
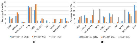
4.1. Unnotched Tension
4.2. Unnotched Compression
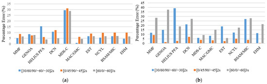
4.3. Notched Tension
4.4. Notched Compression
5. Conclusions
Author Contributions
Funding
Institutional Review Board Statement
Informed Consent Statement
Data Availability Statement
Conflicts of Interest
References
- Jefferson, A.J.; Arumugam, V.; Dhakal, H.N. 1—Introduction and context. In Repair of Polymer Composites; Jefferson, A.J., Arumugam, V., Dhakal, H.N., Eds.; Woodhead Publishing Series in Composites Science and Engineering; Woodhead Publishing: Cambridge, UK, 2018; pp. 1–43. ISBN 978-0-08-102263-4. [Google Scholar]
- Rajak, D.K.; Pagar, D.D.; Menezes, P.L.; Linul, E. Fiber-Reinforced Polymer Composites: Manufacturing, Properties, and Applications. Polymers 2019, 11, 1667. [Google Scholar] [CrossRef] [Green Version]
- Rohwer, K. Predicting fiber composite damage and failure. J. Compos. Mater. 2014, 49, 2673–2683. [Google Scholar] [CrossRef] [Green Version]
- Talreja, R. Assessment of the fundamentals of failure theories for composite materials. Compos. Sci. Technol. 2014, 105, 190–201. [Google Scholar] [CrossRef]
- Zhao, Z.; Dang, H.; Xing, J.; Li, X.; Zhang, C.; Binienda, W.K.; Li, Y. Progressive Failure Simulation of Notched Tensile Specimen for Triaxially-Braided Composites. Materials 2019, 12, 833. [Google Scholar] [CrossRef] [PubMed] [Green Version]
- Shah, S.Z.H.; Megat-Yusoff, P.S.M.; Karuppanan, S.; Choudhry, R.S.; Sajid, Z. Multiscale damage modelling of 3D woven composites under static and impact loads. Compos. Part A Appl. Sci. Manuf. 2021, 151, 106659. [Google Scholar] [CrossRef]
- Sun, C.T.; Tao, J. Prediction of failure envelopes and stress/strain behaviour of composite laminates1This article represents the authors’ contribution to a world-wide exercise to confirm the state-of-the-art for predicting failure in composites, organised by Hinton and Sod. Compos. Sci. Technol. 1998, 58, 1125–1136. [Google Scholar] [CrossRef]
- Shah, S.Z.H.; Karuppanan, S.; Megat-Yusoff, P.S.M.; Sajid, Z. Impact resistance and damage tolerance of fiber reinforced composites: A review. Compos. Struct. 2019, 217, 100–121. [Google Scholar] [CrossRef]
- Rosen, B. Mechanics of composite strengthening. In Fiber Composite Materials; American Society for Metals: Metals Park, OH, USA, 1965; pp. 37–75. [Google Scholar]
- Tsai, S.W.; Wu, E.M. A General Theory of Strength for Anisotropic Materials. J. Compos. Mater. 1971, 5, 58–80. [Google Scholar] [CrossRef]
- Hinton, M.J.; Kaddour, A.S. The background to the Second World-Wide Failure Exercise. J. Compos. Mater. 2012, 46, 2283–2294. [Google Scholar] [CrossRef]
- Kaddour, A.S.; Hinton, M.J.; Smith, P.A.; Li, S. The background to the third world-wide failure exercise. J. Compos. Mater. 2013, 47, 2417–2426. [Google Scholar] [CrossRef]
- Clay, S.B.; Engelstad, S.P. Benchmarking of composite progressive damage analysis methods: The background. J. Compos. Mater. 2016, 51, 1325–1331. [Google Scholar] [CrossRef]
- Clay, S.B.; Knoth, P.M. Experimental results of quasi-static testing for calibration and validation of composite progressive damage analysis methods. J. Compos. Mater. 2016, 51, 1333–1353. [Google Scholar] [CrossRef]
- Cui, X.; Fang, E.; Lua, J. A discrete crack network toolkit for Abaqus for damage and residual strength prediction of laminated composites. J. Compos. Mater. 2016, 51, 1355–1378. [Google Scholar] [CrossRef]
- Naghipour, P.; Arnold, S.M.; Pineda, E.J.; Stier, B.; Hansen, L.; Bednarcyk, B.A.; Waas, A.M. Multiscale static analysis of notched and unnotched laminates using the generalized method of cells. J. Compos. Mater. 2016, 51, 1433–1454. [Google Scholar] [CrossRef]
- Dalgarno, R.W.; Action, J.E.; Robbins, D.H.; Engelstad, S.P. Failure simulations of open-hole and unnotched IM7/977-3 coupons subjected to quasi-static loading using Autodesk Helius PFA. J. Compos. Mater. 2016, 51, 1421–1432. [Google Scholar] [CrossRef]
- Yuan, Z.; Crouch, R.; Wollschlager, J.; Shojaei, A.; Fish, J. Assessment of Altair Multiscale Designer for damage tolerant design principles (DTDP) of advanced composite aircraft structures. J. Compos. Mater. 2016, 51, 1379–1391. [Google Scholar] [CrossRef]
- Godines, C.; DorMohammadi, S.; Abdi, F.; Villa Montero, M.; Huang, D.; Minnetyan, L. Damage tolerant composite design principles for aircraft components under static service loading using multi-scale progressive failure analysis. J. Compos. Mater. 2016, 51, 1393–1419. [Google Scholar] [CrossRef]
- Bogdanor, M.J.; Oskay, C. Prediction of progressive fatigue damage and failure behavior of IM7/977-3 composites using the reduced-order multiple space-time homogenization approach. J. Compos. Mater. 2016, 51, 2101–2117. [Google Scholar] [CrossRef]
- Engelstad, S.P.; Clay, S.B. Comparison of composite damage growth tools for static behavior of notched composite laminates. J. Compos. Mater. 2016, 51, 1493–1524. [Google Scholar] [CrossRef]
- Moncada, A.M.; Chattopadhyay, A.; Bednarcyk, B.A.; Arnold, S.M. Micromechanics-based progressive failure analysis of composite laminates using different constituent failure theories. J. Reinf. Plast. Compos. 2012, 31, 1467–1487. [Google Scholar] [CrossRef]
- Gosse, J.; Christensen, S. Strain invariant failure criteria for polymers in composite materials. In Proceedings of the 19th AIAA Applied Aerodynamics Conference, Fluid Dynamics and Co-located Conferences, Anaheim, CA, USA, 11–14 June 2001. [Google Scholar]
- Tran, T.D.; Kelly, D.; Prusty, B.G.; Gosse, J.H.; Christensen, S. Micromechanical modelling for onset of distortional matrix damage of fiber reinforced composite materials. Compos. Struct. 2012, 94, 745–757. [Google Scholar] [CrossRef]
- Mayes, J.S.; Hansen, A.C. Composite laminate failure analysis using multicontinuum theory. Compos. Sci. Technol. 2004, 64, 379–394. [Google Scholar] [CrossRef]
- Ha, S.K.; Jin, K.K.; Huang, Y. Micro-Mechanics of Failure (MMF) for Continuous Fiber Reinforced Composites. J. Compos. Mater. 2008, 42, 1873–1895. [Google Scholar]
- Xu, L.; Huang, Y.; Zhao, C.; Ha, S. Progressive failure prediction of woven fabric composites using a multi-scale approach. Int. J. Damage Mech. 2016, 27, 97–119. [Google Scholar] [CrossRef]
- Xu, L.; Jin, C.; Ha, S. Ultimate strength prediction of braided textile composites using a multi-scale approach. J. Compos. Mater. 2014, 49, 477–494. [Google Scholar] [CrossRef]
- Li, S.; Sitnikova, E. Chapter 6—Formulation of unit cells. In Representative Volume Elements and Unit Cells; Li, S., Sitnikova, E., Eds.; Woodhead Publishing Series in Composites Science and Engineering; Woodhead Publishing: Cambridge, UK, 2020; pp. 107–187. ISBN 978-0-08-102638-0. [Google Scholar]
- Li, S.; Sitnikova, E. Chapter 13—Application of unit cells to problems of finite deformation. In Representative Volume Elements and Unit Cells; Li, S., Sitnikova, E., Eds.; Woodhead Publishing Series in Composites Science and Engineering; Woodhead Publishing: Cambridge, UK, 2020; pp. 417–438. ISBN 978-0-08-102638-0. [Google Scholar]
- Liu, Z.; Guan, Z.; Tan, R.; Xu, J.; Li, X. Multiscale Analysis of CFRP Laminates with MMF3 Criterion under Different Off-Axis Loading Conditions. Materials 2018, 11, 2255. [Google Scholar] [CrossRef] [Green Version]
- Li, S.; Sitnikova, E. Chapter 7—Periodic traction boundary conditions and the key degrees of freedom for unit cells. In Representative Volume Elements and Unit Cells; Li, S., Sitnikova, E., Eds.; Woodhead Publishing Series in Composites Science and Engineering; Woodhead Publishing: Cambridge, UK, 2020; pp. 189–221. ISBN 978-0-08-102638-0. [Google Scholar]
- Hashimoto, M.; Okabe, T.; Sasayama, T.; Matsutani, H.; Nishikawa, M. Prediction of tensile strength of discontinuous carbon fiber/polypropylene composite with fiber orientation distribution. Compos. Part A Appl. Sci. Manuf. 2012, 43, 1791–1799. [Google Scholar] [CrossRef]
- Raghava, R.; Caddell, R.M.; Yeh, G.S.Y. The macroscopic yield behaviour of polymers. J. Mater. Sci. 1973, 8, 225–232. [Google Scholar] [CrossRef] [Green Version]
- Jin, K.-K.; Huang, Y.; Lee, Y.-H.; Ha, S.K. Distribution of Micro Stresses and Interfacial Tractions in Unidirectional Composites. J. Compos. Mater. 2008, 42, 1825–1849. [Google Scholar] [CrossRef]
- DorMohammdi, S.; Godines, C.; Abdi, F.; Huang, D.; Repupilli, M.; Minnetyan, L. Damage-tolerant composite design principles for aircraft components under fatigue service loading using multi-scale progressive failure analysis. J. Compos. Mater. 2017, 51, 2181–2202. [Google Scholar] [CrossRef]
- Allen, D.H. Homogenization principles and their application to continuum damage mechanics. Compos. Sci. Technol. 2001, 61, 2223–2230. [Google Scholar] [CrossRef]
- David Müzel, S.; Bonhin, E.P.; Guimarães, N.M.; Guidi, E.S. Application of the Finite Element Method in the Analysis of Composite Materials: A Review. Polymers 2020, 12, 818. [Google Scholar] [CrossRef] [PubMed] [Green Version]
- Choudhry, R.S.; Hassan, S.F.; Li, S.; Day, R. Damage in single lap joints of woven fabric reinforced polymeric composites subjected to transverse impact loading. Int. J. Impact Eng. 2015, 80, 76–93. [Google Scholar] [CrossRef] [Green Version]
- Systèmes, D. Abaqus Standard and Abaqus Documentation, Version 6.14; Dassault Systèmes Simulia Corp.: Johnston, RI, USA, 2014. [Google Scholar]
- Documentation, A. User Manual, Version 6.14.; Dassault Systèmes Simulia Corp.: Johnston, RI, USA, 2010. [Google Scholar]
















| Material Properties | Value |
|---|---|
| Carbon Fiber (IM7) | |
| Longitudinal Tensile Modulus Ef1 (GPa) | 276 |
| Transverse Tensile Modulus Ef2 (GPa) | 21 |
| Longitudinal Compressive Modulus Ef1 (GPa) | 204 |
| Transverse Compressive Modulus Ef2 (GPa) | 21 |
| In-plane Shear Modulus Gf12 (GPa) | 29 |
| Transverse Modulus Gf23 (GPa) | 7 |
| Poisson’s ratio vf12 | 0.31 |
| Poisson’s ratio vf23 | 0.28 |
| Longitudinal Tensile strength XF (MPa) | 4082 |
| Longitudinal Compressive strength XFP (MPa) | 2682 |
| Fiber volume fraction | 0.592 |
| Matrix (977-3) | |
| Elastic modulus Em (GPa) | 3.5 |
| Elastic Poisson’s ratio vm | 0.35 |
| Tensile strength XM (MPa) | 81 |
| Compressive strength XMP (MPa) | 131 |
| Stages | Yield Stress (MPa) | Yield Strain (m/m) |
|---|---|---|
| Stage 1 | 82.16 | 0.03 |
| Stage 2 | 100.83 | 0.08 |
| Stage 3 | 113.15 | 0.16 |
| Stage 4 | 119.50 | 0.30 |
| Stage 5 | 124.73 | 0.45 |
| Stage 6 | 131.45 | 0.62 |
| Stage 7 | 135.93 | 0.76 |
| Stage 8 | 142.66 | 0.92 |
| Stage 9 | 146.76 | 1.06 |
| Stage 10 | 153.86 | 1.21 |
| Material Properties | Value |
|---|---|
| Longitudinal Tensile Modulus Ef1 (GPa) | 164 |
| Transverse Tensile Modulus Ef2 (GPa) | 8.9438 |
| Longitudinal Compressive Modulus Ef1 (GPa) | 121.6 |
| Transverse modulus Ef2 (GPa) | 8.9236 |
| In-plane Shear Modulus Gf12 (GPa) | 4.3516 |
| Transverse Modulus Gf23 (GPa) | 2.9906 |
| Poisson’s ratio vf12 | 0.324 |
| Poisson’s ratio vf23 | 0.417 |
| Unnotched Tension Static Strength | Unnotched Tension Stiffness | |||||||
|---|---|---|---|---|---|---|---|---|
| Team | Static Strength | [30, 60, 90, −60, −30]2S | [0, 45, 90, –45]2S | [60, 0, −60]3S | Elastic Modulus | [30, 60, 90, −60, −30]2S | [0, 45, 90, −45]2S | [60, 0, −60]3S |
| Experiment | σmax (Mpa) | 473 | 866 | 1005 | E (Gpa) | 38 | 60 | 60 |
| MMF | σmax (Mpa) | 562 | 893 | 900 | E (Gpa) | 37.8 | 59.95 | 60.5 |
| GENOA | σmax (Mpa) | 508 | 828 | 944 | E (Gpa) | 43.0 | 65.9 | 67.0 |
| Helius PFA | σmax (Mpa) | 679 | 879 | 877 | E (Gpa) | 40.2 | 61.3 | 61.6 |
| DCN | σmax (Mpa) | 506 | 944 | 997 | E (Gpa) | 40.5 | 61.6 | 61.9 |
| MDS-C | σmax (Mpa) | 462 | 890 | 987 | E (Gpa) | 42.2 | 56.1 | 62.8 |
| MAC/GMC | σmax (Mpa) | 474 | 897 | 951 | E (Gpa) | 39.0 | 59.6 | 59.8 |
| EST | σmax (Mpa) | 603 | 825 | 1009 | E (Gpa) | 40.5 | 61.1 | 61.0 |
| NCYL | σmax (MPa) | 462 | 856 | 1011 | E (GPa) | 39.7 | 60.6 | 61.5 |
| BSAM/MIC | σmax (MPa) | 432 | 858 | 1113 | E (GPa) | 40.6 | 61.5 | 61.8 |
| EHM | σmax (MPa) | 522 | 911 | 1014 | E (GPa) | 39.9 | 60.4 | 61.7 |
| Unnotched Compression Static Strength | Unnotched Compression Stiffness | |||||||
|---|---|---|---|---|---|---|---|---|
| Team | Static Strength | [30, 60, 90, −60, −30]2S | [0, 45, 90, −45]2S | [60, 0, −60]3S | Elastic Modulus | [30, 60, 90, −60, −30]2S | [0, 45, 90, −45]2S | [60, 0, −60]3S |
| Experiment | σmax (MPa) | 382 | 603 | 765 | E (GPa) | 33 | 48 | 49 |
| MMF | σmax (MPa) | 427 | 547 | 548 | E (GPa) | 34.7 | 52.18 | 52.24 |
| GENOA | σmax (MPa) | 439 | 610 | 479 | E (GPa) | 30.2 | 44.4 | 45.2 |
| Helius PFA | σmax (MPa) | 531 | 619 | 622 | E (GPa) | 38.1 | 50.9 | 50.9 |
| DCN | σmax (MPa) | 462 | 560 | 557 | E (GPa) | 36.5 | 53.8 | 51.4 |
| MDS-C | σmax (MPa) | 405 | 625 | 836 | E (GPa) | 42.7 | 62.9 | 63.1 |
| MAC/GMC | σmax (MPa) | 350 | 583 | 649 | E (GPa) | 33.3 | 51 | 51.2 |
| EST | σmax (MPa) | 454 | 618 | 720 | E (GPa) | 35.2 | 52.3 | 52.3 |
| NCYL | σmax (MPa) | 428 | 634 | 632 | E (GPa) | 34.8 | 52.7 | 52.3 |
| BSAM/MIC | σmax (MPa) | 485 | 581 | 551 | E (GPa) | 35.2 | 52.8 | 52.4 |
| EHM | σmax (MPa) | 425 | 605 | 602 | E (GPa) | 34.5 | 52.8 | 52.2 |
| Open Hole Tension Static Strength | Open Hole Tension Stiffness | |||||||
|---|---|---|---|---|---|---|---|---|
| Team | Static Strength | [30, 60, 90, −60, −30]2S | [0, 45, 90, −45]2S | [60, 0, −60]3S | Elastic Modulus | [30, 60, 90, −60, −30]2S | [0, 45, 90, −45]2S | [60, 0, −60]3S |
| Experiment | σmax (MPa) | 409 | 554 | 543 | E (GPa) | 32 | 48 | 49 |
| MMF | σmax (MPa) | 402 | 529 | 466 | E (GPa) | 32.4 | 48.3 | 48.8 |
| GENOA | σmax (MPa) | 405 | 543 | 435 | E (GPa) | 38.6 | 56.4 | 57.2 |
| Helius PFA | σmax (MPa) | 400 | 524 | 485 | E (GPa) | 35 | 50.6 | 50.9 |
| DCN | σmax (MPa) | 386 | 458 | 428 | E (GPa) | 35.2 | 50.9 | 51.2 |
| MDS-C | σmax (MPa) | 425 | 550 | 558 | E (GPa) | 34.7 | 51.8 | 51 |
| MAC/GMC | σmax (MPa) | 378 | 464 | 433 | E (GPa) | 33.7 | 49.1 | 48.9 |
| EST | σmax (MPa) | 409 | 528 | 489 | E (GPa) | 35.4 | 51.1 | 51.1 |
| NCYL | σmax (MPa) | 373 | 557 | 502 | E (GPa) | 34.5 | 50.3 | 50.9 |
| BSAM/MIC | σmax (MPa) | 388 | 553 | 551 | E (GPa) | 34.1 | 48.7 | 49.3 |
| EHM | σmax (MPa) | 449 | 558 | 502 | E (GPa) | 34.6 | 50.8 | 50.8 |
| Open Hole Compression Static Strength | Open Hole Compression Stiffness | |||||||
|---|---|---|---|---|---|---|---|---|
| Team | Static Strength | [30, 60, 90, −60, −30]2S | [0, 45, 90, −45]2S | [60, 0, −60]3S | Elastic Modulus | [30, 60, 90, −60, −30]2S | [0, 45, 90, −45]2S | [60, 0, −60]3S |
| Experiment | σmax (MPa) | 295 | 341 | 358 | E (GPa) | 30 | 44 | 44 |
| MMF | σmax (MPa) | 308 | 366 | 388 | E (GPa) | 32.3 | 46.3 | 46.8 |
| GENOA | σmax (MPa) | 323 | 363 | 380 | E (GPa) | 27.4 | 38.4 | 39.1 |
| Helius PFA | σmax (MPa) | 283 | 308 | 299 | E (GPa) | 30.5 | 43.4 | 43.6 |
| DCN | σmax (MPa) | 297 | 329 | 296 | E (GPa) | 36.1 | 52.2 | 52.5 |
| MDS-C | σmax (MPa) | 271 | 317 | 352 | E (GPa) | 34.7 | 34.1 | 45.3 |
| MAC/GMC | σmax (MPa) | 330 | 368 | 320 | E (GPa) | 29.2 | 41.6 | 41.9 |
| EST | σmax (MPa) | 296 | 347 | 331 | E (GPa) | 30.9 | 43.9 | 43.7 |
| NCYL | σmax (MPa) | 304 | 341 | 299 | E (GPa) | 29.8 | 41.9 | 41.9 |
| BSAM/MIC | σmax (MPa) | 336 | 380 | 388 | E (GPa) | 29.6 | 41.7 | 41.9 |
| EHM | σmax (MPa) | 360 | 393 | 368 | E (GPa) | 31.8 | 45.2 | 44.8 |
Publisher’s Note: MDPI stays neutral with regard to jurisdictional claims in published maps and institutional affiliations. |
© 2021 by the authors. Licensee MDPI, Basel, Switzerland. This article is an open access article distributed under the terms and conditions of the Creative Commons Attribution (CC BY) license (https://creativecommons.org/licenses/by/4.0/).
Share and Cite
Masud, M.; Kharusi, M.S.M.A.; Ali, M.U.; Mubashar, A.; Hussain, S.J.; Tariq, A.; Rehman, G.U.; Akhtar, M.H.; Javeed, S. Prediction of the Ultimate Strength of Notched and Unnotched IM7/977-3 Laminated Composites Using a Micromechanics Approach. Polymers 2021, 13, 3491. https://doi.org/10.3390/polym13203491
Masud M, Kharusi MSMA, Ali MU, Mubashar A, Hussain SJ, Tariq A, Rehman GU, Akhtar MH, Javeed S. Prediction of the Ultimate Strength of Notched and Unnotched IM7/977-3 Laminated Composites Using a Micromechanics Approach. Polymers. 2021; 13(20):3491. https://doi.org/10.3390/polym13203491
Chicago/Turabian StyleMasud, Manzar, Moosa S. M. Al Kharusi, Muhammad Umair Ali, Aamir Mubashar, Shaik Javeed Hussain, Adnan Tariq, Gulfam Ul Rehman, Mahmood Hassan Akhtar, and Shama Javeed. 2021. "Prediction of the Ultimate Strength of Notched and Unnotched IM7/977-3 Laminated Composites Using a Micromechanics Approach" Polymers 13, no. 20: 3491. https://doi.org/10.3390/polym13203491
APA StyleMasud, M., Kharusi, M. S. M. A., Ali, M. U., Mubashar, A., Hussain, S. J., Tariq, A., Rehman, G. U., Akhtar, M. H., & Javeed, S. (2021). Prediction of the Ultimate Strength of Notched and Unnotched IM7/977-3 Laminated Composites Using a Micromechanics Approach. Polymers, 13(20), 3491. https://doi.org/10.3390/polym13203491

