Viscoelastic Rheological Behaviors of Polypropylene and LMPP Blends
Abstract
:1. Introduction
2. Materials and Methods
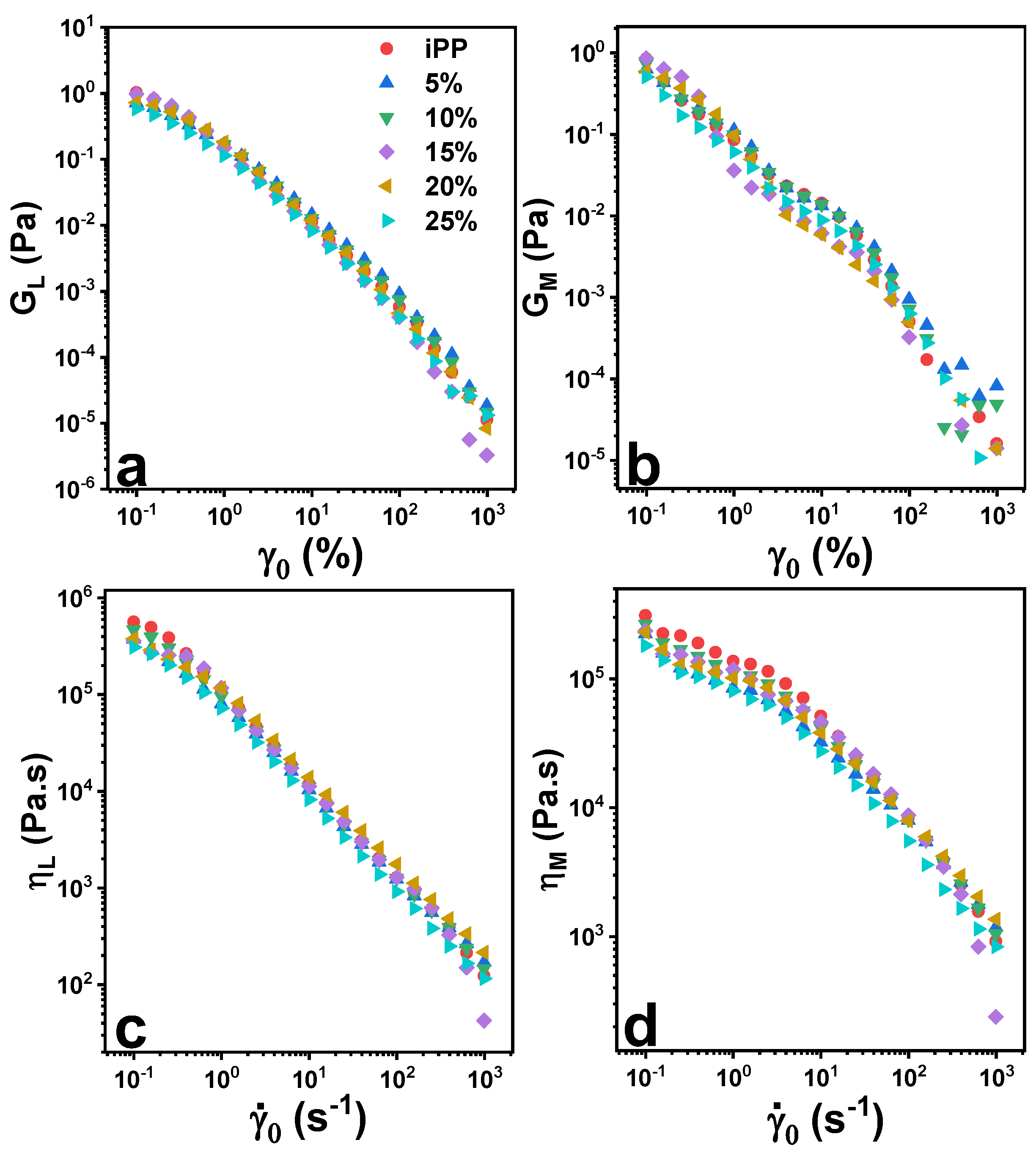
3. Results
4. Discussion
5. Conclusions
Author Contributions
Funding
Institutional Review Board Statement
Informed Consent Statement
Data Availability Statement
Conflicts of Interest
References
- Nakatani, A.I.; Zhang, S.; Ozair, S.; Peera, A.; Young, W.O.; Kennedy, K.M.; Peterson, C.; Pearson, C.; Ray, H. Relationship between Large Amplitude Oscillatory Shear (LAOS) Experiments and Commercial Pressure Sensitive Adhesives Applications Testing. Int. J. Adhes. Adhes. 2021, 108, 102869. [Google Scholar] [CrossRef]
- Kanai, T.; Kohri, Y.; Takebe, T. Theoretical Analysis of the Spunbond Process and Its Applications for Polypropylenes. In AIP Conference Proceedings; AIP Publishing: New York, NY, USA, 2016; Volume 1779, p. 120001. [Google Scholar]
- Hussain, M.; Zhu, F.; Zhu, F.; Yu, B.; Yu, B.; Han, J.; Han, J.; Memon, H.; Yasin, S. LMPP Effects on Morphology, Crystallization, Thermal and Mechanical Properties of IPP/LMPP Blend Fibres. Fibres Text. East. Eur. 2018, 26, 26–31. [Google Scholar] [CrossRef] [Green Version]
- Yasin, S.; Sun, D.; Memon, H.; Zhu, F.; Jian, H.; Bin, Y.; Mingbo, M.; Hussain, M. Optimization of Mechanical and Thermal Properties of IPP and LMPP Blend Fibres by Surface Response Methodology. Polymers 2018, 10, 1135. [Google Scholar] [CrossRef] [PubMed] [Green Version]
- Okazaki, G.; Secrist, K.E.; Gray, S.D. Hot Melt Adhesives for Bonding Elastomeric Components, Nonwoven Materials, and Thermoplastic Films. U.S. Patent US20180148616A1, 31 May 2018. [Google Scholar]
- Robledo, N.; Vega, J.F.; Nieto, J.; Martínez-Salazar, J. Role of the Interface in the Melt-Rheology Properties of Linear Low-Density Polyethylene/Low-Density Polyethylene Blends: Effect of the Molecular Architecture of the Dispersed Phase. J. Appl. Polym. Sci. 2011, 119, 3217–3226. [Google Scholar] [CrossRef] [Green Version]
- Gray, S.D.; Freund, D.F.; Hamann, R.E.; Hu, M.; Flores, F.N.-H. Polyolefin-Based Hot Melt Adhesives with Improved Processing And Bonding Performance. U.S. Patent US20160102230A1, 14 April 2016. [Google Scholar]
- Martuscelli, E.; Silvestre, C.; Abate, G. Morphology, Crystallization and Melting Behaviour of Films of Isotactic Polypropylene Blended with Ethylene-Propylene Copolymers and Polyisobutylene. Polymer 1982, 23, 229–237. [Google Scholar] [CrossRef]
- Sadiku-Agboola, O.; Sadiku, R.E.; Adegbola, A.T.; Biotidara, O.F. Rheological Properties of Polymers: Structure and Morphology of Molten Polymer Blends. Mater. Sci. Appl. 2011, 2, 30–41. [Google Scholar] [CrossRef] [Green Version]
- Hammani, S.; Moulai-Mostefa, N.; Samyn, P.; Bechelany, M.; Dufresne, A.; Barhoum, A. Morphology, Rheology and Crystallization in Relation to the Viscosity Ratio of Polystyrene/Polypropylene Polymer Blends. Materials 2020, 13, 926. [Google Scholar] [CrossRef] [Green Version]
- Ariff, Z.; Ariffin, A.; Jikan, S.; Abdul Rahim, N. Rheological Behaviour of Polypropylene through Extrusion and Capillary Rheometry. In Polypropylene; IntechOpen: London, UK, 2012; pp. 29–48. [Google Scholar]
- Ariffin, A.; Jikan, S.S.; Samsudin, M.S.F.; Ariff, Z.M.; Ishak, Z.A.M. Melt Elasticity Phenomenon of Multicomponent (Talc and Calcium Carbonate) Filled Polypropylene. J. Reinf. Plast. Compos. 2006, 25, 913–923. [Google Scholar] [CrossRef]
- Zhu, F.; Su, J.; Zhao, Y.; Hussain, M.; Yasin, S.; Yu, B.; Han, J. Influence of Halloysite Nanotubes on Poly(Lactic Acid) Melt-Blown Nonwovens Compatibilized by Dual-Monomer Melt-Grafted Poly(Lactic Acid). Text. Res. J. 2019, 89, 4173–4185. [Google Scholar] [CrossRef]
- Trebar, M.; Lotrič, U. Predicting Mechanical Properties of Rubber Compounds with Neural Networks and Support Vector Machines. In Proceedings of the ICANNGA 2007: 8th International Conference on Adaptive and Natural Computing Algorithms, Warsaw, Poland, 11–14 April 2007; Beliczynski, B., Dzielinski, A., Iwanowski, M., Ribeiro, B., Eds.; Springer: Berlin/Heidelberg, Germany, 2007; pp. 254–261. [Google Scholar]
- Yasin, S.; Hussain, M.; Zheng, Q.; Song, Y. Large Amplitude Oscillatory Rheology of Silica and Cellulose Nanocrystals Filled Natural Rubber Compounds. J. Colloid Interface Sci. 2020. [Google Scholar] [CrossRef]
- Yasin, S.; Hussain, M.; Zheng, Q.; Song, Y. Effects of Ionic Liquid on Cellulosic Nanofiller Filled Natural Rubber Bionanocomposites. J. Colloid Interface Sci. 2021, 591, 409–417. [Google Scholar] [CrossRef]
- Stephen, R.; Alex, R.; Cherian, T.; Varghese, S.; Joseph, K.; Thomas, S. Rheological Behavior of Nanocomposites of Natural Rubber and Carboxylated Styrene Butadiene Rubber Latices and Their Blends. J. Appl. Polym. Sci. 2006, 101, 2355–2362. [Google Scholar] [CrossRef]
- Vijayan, P.P.; Puglia, D.; Kenny, J.M.; Thomas, S. Effect of Organically Modified Nanoclay on the Miscibility, Rheology, Morphology and Properties of Epoxy/Carboxyl-Terminated (Butadiene-Co-Acrylonitrile) Blend. Soft Matter 2013, 9, 2899–2911. [Google Scholar] [CrossRef]
- Schlatter, G.; Fleury, G.; Muller, R. Fourier Transform Rheology of Branched Polyethylene: Experiments and Models for Assessing the Macromolecular Architecture. Macromolecules 2005, 38, 6492–6503. [Google Scholar] [CrossRef]
- Cho, K.S.; Hyun, K.; Ahn, K.H.; Lee, S.J. A Geometrical Interpretation of Large Amplitude Oscillatory Shear Response. J. Rheol. 2005, 49, 747–758. [Google Scholar] [CrossRef]
- Kallus, S.; Willenbacher, N.; Kirsch, S.; Distler, D.; Neidhöfer, T.; Wilhelm, M.; Spiess, H.W. Characterization of Polymer Dispersions by Fourier Transform Rheology. Rheol. Acta 2001, 40, 552–559. [Google Scholar] [CrossRef]
- Wilhelm, M.; Reinheimer, P.; Ortseifer, M.; Neidhöfer, T.; Spiess, H.-W. The Crossover between Linear and Non-Linear Mechanical Behaviour in Polymer Solutions as Detected by Fourier-Transform Rheology. Rheol. Acta 2000, 39, 241–246. [Google Scholar] [CrossRef]
- Ewoldt, R.H.; Winter, P.; Maxey, J.; McKinley, G.H. Large Amplitude Oscillatory Shear of Pseudoplastic and Elastoviscoplastic Materials. Rheol. Acta 2010, 49, 191–212. [Google Scholar] [CrossRef]
- Shamim, N.; McKenna, G.B. Mechanical Spectral Hole Burning in Polymer Solutions: Comparison with Large Amplitude Oscillatory Shear Fingerprinting. J. Rheol. 2014, 58, 43–62. [Google Scholar] [CrossRef]
- Wilhelm, M. Fourier-Transform Rheology. Macromol. Mater. Eng. 2002, 287, 83–105. [Google Scholar] [CrossRef]
- Nam, J.G.; Ahn, K.H.; Lee, S.J.; Hyun, K. First Normal Stress Difference of Entangled Polymer Solutions in Large Amplitude Oscillatory Shear Flow. J. Rheol. 2010, 54, 1243–1266. [Google Scholar] [CrossRef]
- Vishal, B.; Ghosh, P. Nonlinear Viscoelastic Behavior of Aqueous Foam under Large Amplitude Oscillatory Shear Flow. Korea-Aust. Rheol. J. 2018, 30, 147–159. [Google Scholar] [CrossRef]
- Ewoldt, R.H.; Hosoi, A.E.; McKinley, G.H. New Measures for Characterizing Nonlinear Viscoelasticity in Large Amplitude Oscillatory Shear. J. Rheol. 2008, 52, 1427–1458. [Google Scholar] [CrossRef] [Green Version]
- Hussain, M.; Zhu, F.; Yu., B.; Han, J.; Du, Z. Study on enhancing the strength and toughness of isotactic polypropylene spunbonded nonwovens by low-modulus polypropylene. J. Zhejiang Sci-Tech Univ. Nat. Sci. 2016, 35, 803–807. [Google Scholar]
- Chen, J.-H.; Tsai, F.-C.; Nien, Y.-H.; Yeh, P.-H. Isothermal Crystallization of Isotactic Polypropylene Blended with Low Molecular Weight Atactic Polypropylene. Part I. Thermal Properties and Morphology Development. Polymer 2005, 46, 5680–5688. [Google Scholar] [CrossRef]
- Liu, Y.; Tian, B.; Liu, X. Effect of Interaction Enhancement on Rheological Response of Polypropylene/Polybutadiene Blend Composites. Polym. Test. 2021, 96, 107069. [Google Scholar] [CrossRef]
- Hussain, M.; Yasin, S.; Adnan Akram, M.; Xu, H.; Song, Y.; Zheng, Q. Influence of Ionic Liquids on Structure and Rheological Behaviors of Silica-Filled Butadiene Rubber. Ind. Eng. Chem. Res. 2019, 58, 18205–18212. [Google Scholar] [CrossRef]
- Hussain, M.; Yasin, S.; Memon, H.; Li, Z.; Fan, X.; Akram, M.A.; Wang, W.; Song, Y.; Zheng, Q. Rheological and Mechanical Properties of Silica/Nitrile Butadiene Rubber Vulcanizates with Eco-Friendly Ionic Liquid. Polymers 2020, 12, 2763. [Google Scholar] [CrossRef]
- Zare, Y.; Park, S.P.; Rhee, K.Y. Analysis of Complex Viscosity and Shear Thinning Behavior in Poly (Lactic Acid)/Poly (Ethylene Oxide)/Carbon Nanotubes Biosensor Based on Carreau–Yasuda Model. Results Phys. 2019, 13, 102245. [Google Scholar] [CrossRef]
- Kim, J.; Merger, D.; Wilhelm, M.; Helgeson, M.E. Microstructure and Nonlinear Signatures of Yielding in a Heterogeneous Colloidal Gel under Large Amplitude Oscillatory Shear. J. Rheol. 2014, 58, 1359–1390. [Google Scholar] [CrossRef]
- Hyun, K.; Wilhelm, M.; Klein, C.O.; Cho, K.S.; Nam, J.G.; Ahn, K.H.; Lee, S.J.; Ewoldt, R.H.; McKinley, G.H. A Review of Nonlinear Oscillatory Shear Tests: Analysis and Application of Large Amplitude Oscillatory Shear (LAOS). Prog. Polym. Sci. 2011, 36, 1697–1753. [Google Scholar] [CrossRef]
- Hyun, K.; Wilhelm, M. Establishing a New Mechanical Nonlinear Coefficient Q from FT-Rheology: First Investigation of Entangled Linear and Comb Polymer Model Systems. Macromolecules 2009, 42, 411–422. [Google Scholar] [CrossRef]
- Hyun, K.; Kim, W. A New Non-Linear Parameter Q from FT-Rheology under Nonlinear Dynamic Oscillatory Shear for Polymer Melts System. Korea-Aust. Rheol. J. 2011, 23, 227–235. [Google Scholar] [CrossRef]
- Ellingham, T.; Yilmaz, G.; Turng, L.-S. Non-Linear Rheological Response as a Tool for Assessing Dispersion in Polypropylene/Polycaprolactone/Clay Nanocomposites and Blends Made with Sub-Critical Gas-Assisted Processing. Polym. Eng. Sci. 2020, 60, 55–60. [Google Scholar] [CrossRef]
- Hemsley, D. 33—Optical Microscopy. In Comprehensive Polymer Science and Supplements; Allen, G., Bevington, J.C., Eds.; Pergamon: Amsterdam, The Netherlands, 1989; pp. 765–784. ISBN 978-0-08-096701-1. [Google Scholar]
- Wang, B.; Lin, F.; Li, X.; Zhang, Z.; Xue, X.; Liu, S.; Ji, X.; Yu, Q.; Yuan, Z.; Chen, X.; et al. Isothermal Crystallization and Rheology Properties of Isotactic Polypropylene/Bacterial Cellulose Composite. Polymers 2018, 10, 1284. [Google Scholar] [CrossRef] [Green Version]
- Idemitsu Kosan. New Polyolefin LMPO for Elastic Nonwovens. Chem. Fibers Int. 2008, 58, 90. [Google Scholar]








| Materials | Type | Catalyst | 1 MW (g/mol) | 2 MW/MN | Density (kg/m3) | MFR (g/10 min) | 3 TM (°C) |
|---|---|---|---|---|---|---|---|
| iPP | Isotactic | Ziegler Natta | 200,000 | 3.5 | 900 | 36 | 165.5 |
| LMPP | Atactic | Metallocene | 130,000 | 2 | 870 | 50 | 79.1 |
| iPP/ LMPP | 1 TC (°C) | TM (°C) | 2 △Hf (J/g) | Crystallinity (%) | Spherulite Size (μm) |
|---|---|---|---|---|---|
| 100/0 | 116.3 | 159.1 | 91.0 | 40.2 | 50 |
| 0/100 | 40.1 | 79.1 | 20.6 | 16.5 | 0 |
| 95/5 | 116.0 | 158.2 | 84.2 | 43.2 | 58 |
| 90/10 | 115.8 | 159.1 | 77.0 | 40.9 | 61 |
| 85/15 | 115.3 | 157.4 | 72.1 | 42.5 | 60 |
| 80/20 | 114.2 | 156.5 | 68.2 | 38.8 | 60 |
| 75/25 | 114.0 | 155.3 | 65.0 | 38.3 | 52 |
Publisher’s Note: MDPI stays neutral with regard to jurisdictional claims in published maps and institutional affiliations. |
© 2021 by the authors. Licensee MDPI, Basel, Switzerland. This article is an open access article distributed under the terms and conditions of the Creative Commons Attribution (CC BY) license (https://creativecommons.org/licenses/by/4.0/).
Share and Cite
Zhu, F.; Yasin, S.; Hussain, M. Viscoelastic Rheological Behaviors of Polypropylene and LMPP Blends. Polymers 2021, 13, 3485. https://doi.org/10.3390/polym13203485
Zhu F, Yasin S, Hussain M. Viscoelastic Rheological Behaviors of Polypropylene and LMPP Blends. Polymers. 2021; 13(20):3485. https://doi.org/10.3390/polym13203485
Chicago/Turabian StyleZhu, Feichao, Sohail Yasin, and Munir Hussain. 2021. "Viscoelastic Rheological Behaviors of Polypropylene and LMPP Blends" Polymers 13, no. 20: 3485. https://doi.org/10.3390/polym13203485
APA StyleZhu, F., Yasin, S., & Hussain, M. (2021). Viscoelastic Rheological Behaviors of Polypropylene and LMPP Blends. Polymers, 13(20), 3485. https://doi.org/10.3390/polym13203485

