New Pure Organic and Peroxide-Free Redox Initiating Systems for Polymerization in Mild Conditions
Abstract
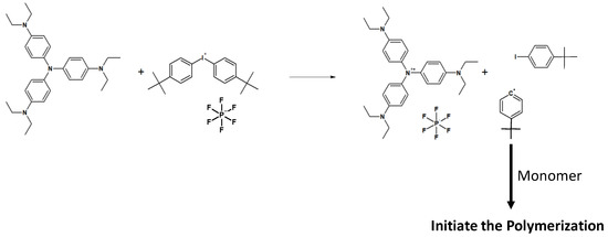
1. Introduction
2. Materials and Methods
2.1. Chemical Compounds
2.2. Two Cartridges System Used for Redox FRP Experiments
2.3. Redox FRP in Bulk Followed by Optical Pyrometry
2.4. Redox Polymerization in Bulk Followed by Thermal Imaging Experiments
3. Results
3.1. The T4epa/Iod RIS Charactaerized by Optical Pyrometry and Thermal Imaging Experiments
3.2. Salt Additive Effects in T4epa/Iod RISs
3.3. Inhibitor Effects in T4epa/Iod RISs
3.4. Stability in Accelerated Aging Experiments
3.5. Reactivity at Low Temperatures
4. Discussion
5. Conclusions
Author Contributions
Funding
Institutional Review Board Statement
Informed Consent Statement
Data Availability Statement
Conflicts of Interest
References
- Braun, D. Origins and Development of Initiation of Free Radical Polymerization Processes. Int. J. Polym. Sci. 2010, 2009, e893234. [Google Scholar] [CrossRef]
- Sarac, A.S. Redox Polymerization. Prog. Polym. Sci. 1999, 24, 1149–1204. [Google Scholar] [CrossRef]
- Misra, G.S.; Bajpai, U.D.N. Redox Polymerization. Prog. Polym. Sci. 1982, 8, 61–131. [Google Scholar] [CrossRef]
- Kwon, T.-Y.; Bagheri, R.; Kim, Y.K.; Kim, K.-H.; Burrow, M.F. Cure Mechanisms in Materials for Use in Esthetic Dentistry. J. Investig. Clin. Dent. 2012, 3, 3–16. [Google Scholar] [CrossRef] [PubMed]
- Sideridou, I.D.; Achilias, D.S.; Kostidou, N.C. Copolymerization Kinetics of Dental Dimethacrylate Resins Initiated by a Benzoyl Peroxide/Amine Redox System. J. Appl. Polym. Sci. 2008, 109, 515–524. [Google Scholar] [CrossRef]
- Sideridou, I.D.; Achilias, D.S.; Karava, O. Reactivity of Benzoyl Peroxide/Amine System as an Initiator for the Free Radical Polymerization of Dental and Orthopedic Dimethacrylate Monomers: Effect of the Amine and Monomer Chemical Structure. Macromolecules 2006, 39, 2072–2080. [Google Scholar] [CrossRef]
- Han, D.; Meng, Z.; Wu, D.; Zhang, C.; Zhu, H. Thermal Properties of Carbon Black Aqueous Nanofluids for Solar Absorption. Nanoscale Res. Lett. 2011, 6, 457. [Google Scholar] [CrossRef]
- Achilias, D.S.; Sideridou, I. Study of the Effect of Two BPO/Amine Initiation Systems on the Free-Radical Polymerization of MMA Used in Dental Resins and Bone Cements. J. Macromol. Sci. Pure Appl. Chem. 2002, A39, 1435–1450. [Google Scholar] [CrossRef]
- Wilson, G.O.; Henderson, J.W.; Caruso, M.M.; Blaiszik, B.J.; McIntire, P.J.; Sottos, N.R.; White, S.R.; Moore, J.S. Evaluation of Peroxide Initiators for Radical Polymerization-Based Self-Healing Applications. J. Polym. Sci. Part A Polym. Chem. 2010, 48, 2698–2708. [Google Scholar] [CrossRef]
- Sun, J.; Li, Y.; Hasegawa, K. A Study of Self-Accelerating Decomposition Temperature (SADT) Using Reaction Calorimetry. J. Loss Prev. Process Ind. 2001, 14, 331–336. [Google Scholar] [CrossRef]
- Dunnick, J.K.; Brix, A.; Sanders, J.M.; Travlos, G.S. N,N-Dimethyl-p-Toluidine, a Component in Dental Materials, Causes Hematologic Toxic and Carcinogenic Responses in Rodent Model Systems. Toxicol. Pathol. 2014, 42, 603–615. [Google Scholar] [CrossRef] [PubMed]
- Pattnaik, S.; Roy, A.K.; Baral, N.; Nayak, P.L. Aqueous Polymerization of Methyl Methacrylate Initiated by Potassium Peroxydisulfate-Ascorbic Acid Redox System. J. Macromol. Sci. Part A Chem. 1979, 13, 797–805. [Google Scholar] [CrossRef]
- Sun, X.-L.; Sun, H.-H.; Wang, Y.-A. Polyacrylamide Gel Polymerization: Ascorbic Acid-Ferrous Sulfate-Ammonium Persulfate Initiator for Acid System. Sheng Wu Hua Xue Yu Sheng Wu Wu Li Xue Bao Acta Biochim. Biophys. Sin. 1998, 30, 407–410. [Google Scholar]
- Nayak, P.L.; Samal, R.K.; Nayak, M.C. Aqueous Polymerization of Acrylonitrile Initiated by the Mn3+/Citric Acid Redox System. Eur. Polym. J. 1978, 14, 287–290. [Google Scholar] [CrossRef]
- Caille, J.-R.; Debuigne, A.; Jérôme, R. Quinone Transfer Radical Polymerization (QTRP) of Styrene: Catalysis by Different Metal Complexes. J. Polym. Sci. Part A Polym. Chem. 2005, 43, 2723–2733. [Google Scholar] [CrossRef]
- Van Gorkum, R.; Bouwman, E.; Reedijk, J. Fast Autoxidation of Ethyl Linoleate Catalyzed by [Mn (Acac) 3] and Bipyridine: A Possible Drying Catalyst for Alkyd Paints. Inorg. Chem. 2004, 43, 2456–2458. [Google Scholar] [CrossRef]
- Bouwman, E.; Van Gorkum, R. A Study of New Manganese Complexes as Potential Driers for Alkyd Paints. J. Coat. Technol. Res. 2007, 4, 491–503. [Google Scholar] [CrossRef]
- Lavrov, N. Copolymerization of N-Vinylsuccinimide with Vinyl-Acetate in Aqueous-Solution, Initiated by the Manganese Tris(acetylacetonate)-Acetic Acid System. Russ. J. Appl. Chem. 1994, 67, 1358–1360. [Google Scholar]
- Lavrov, N.A. Kinetic Features of Polymerization of 2-Hydroxyethyl Methacrylate, Initiated by the System Manganese Tris(acetylacetonate)-Acetic Acid. Russ. J. Appl. Chem. 1995, 68, 922–924. [Google Scholar]
- Garra, P.; Morlet-Savary, F.; Graff, B.; Dumur, F.; Monnier, V.; Dietlin, C.; Gigmes, D.; Fouassier, J.-P.; Lalevee, J. Metal Acetylacetonate-Bidentate Ligand Interaction (MABLI) as Highly Efficient Free Radical Generating Systems for Polymer Synthesis. Polym. Chem. 2018, 9, 1371–1378. [Google Scholar] [CrossRef]
- Garra, P.; Dumur, F.; Morlet-Savary, F.; Dietlin, C.; Fouassier, J.P.; Lalevee, J. A New Highly Efficient Amine-Free and Peroxide-Free Redox System for Free Radical Polymerization under Air with Possible Light Activation. Macromolecules 2016, 49, 6296–6309. [Google Scholar] [CrossRef]
- Garra, P.; Dumur, F.; Morlet-Savary, F.; Dietlin, C.; Gigmes, D.; Fouassier, J.P.; Lalevee, J. Mechanosynthesis of a Copper Complex for Redox Initiating Systems with a Unique near Infrared Light Activation. J. Polym. Sci. Part A Polym. Chem. 2017, 55, 3646–3655. [Google Scholar] [CrossRef]
- Garra, P.; Dumur, F.; Gigmes, D.; Nechab, M.; Morlet-Savary, F.; Dietlin, C.; Gree, S.; Fouassier, J.P.; Lalevee, J. Metal Acetylacetonate–Bidentate Ligand Interaction (MABLI) (Photo)activated Polymerization: Toward High Performance Amine-Free, Peroxide-Free Redox Radical (Photo)initiating Systems. Macromolecules 2018, 51, 2706–2715. [Google Scholar] [CrossRef]
- Garra, P.; Dumur, F.; Nechab, M.; Morlet-Savary, F.; Dietlin, C.; Graff, B.; Gigmes, D.; Fouassier, J.-P.; Lalevee, J. Stable Copper Acetylacetonate-Based Oxidizing Agents in Redox (NIR Photoactivated) Polymerization: An Opportunity for the One Pot Grafting from Approach and an Example on a 3D Printed Object. Polym. Chem. 2018, 9, 2173–2182. [Google Scholar] [CrossRef]
- Arar, A.; Mokbel, H.; Dumur, F.; Lalevee, J. High Performance Redox Initiating Systems Based on the Interaction of Silane with Metal Complexes: A Unique Platform for the Preparation of Composites. Molecules 2020, 25, 1602. [Google Scholar] [CrossRef]
- Arar, A.; Mousawi, A.A.; Boyadjian, C.; Garra, P.; Fouassier, J.P.; Lalevee, J.P. Diphenylsilane-Manganese Acetylacetonate Redox Initiating Systems: Toward Amine-Free and Peroxide-Free Systems, Macromol. Chem. Phys. 2020, 221, 2000058. [Google Scholar] [CrossRef]
- Garra, P.; Bonardi, A.H.; Baralle, A.; Mousawi, A.A.; Bonardi, F.; Dietlin, C.; Morlet-Savary, F.; Fouassier, J.P.; Lalevee, J. Monitoring Photopolymerization Reactions through Thermal Imaging: A Unique Tool for the Real-Time Follow-Up of Thick Samples, 3D Printing, and Composites. J. Polym. Sci. Part A 2018, 56, 889–899. [Google Scholar] [CrossRef]
- Fouassier, J.P.; Lalevée, J. Photoinitiators for Polymer Synthesis; Wiley-Weinheim: Hoboken, NJ, USA, 2012. [Google Scholar]












Publisher’s Note: MDPI stays neutral with regard to jurisdictional claims in published maps and institutional affiliations. |
© 2021 by the authors. Licensee MDPI, Basel, Switzerland. This article is an open access article distributed under the terms and conditions of the Creative Commons Attribution (CC BY) license (http://creativecommons.org/licenses/by/4.0/).
Share and Cite
Arar, A.; Wisson, L.; Lalevée, J. New Pure Organic and Peroxide-Free Redox Initiating Systems for Polymerization in Mild Conditions. Polymers 2021, 13, 301. https://doi.org/10.3390/polym13020301
Arar A, Wisson L, Lalevée J. New Pure Organic and Peroxide-Free Redox Initiating Systems for Polymerization in Mild Conditions. Polymers. 2021; 13(2):301. https://doi.org/10.3390/polym13020301
Chicago/Turabian StyleArar, Ahmad, Lilian Wisson, and Jacques Lalevée. 2021. "New Pure Organic and Peroxide-Free Redox Initiating Systems for Polymerization in Mild Conditions" Polymers 13, no. 2: 301. https://doi.org/10.3390/polym13020301
APA StyleArar, A., Wisson, L., & Lalevée, J. (2021). New Pure Organic and Peroxide-Free Redox Initiating Systems for Polymerization in Mild Conditions. Polymers, 13(2), 301. https://doi.org/10.3390/polym13020301

