Uniaxial Tensile Creep Behavior of Epoxy-Based Polymer Using Molecular Simulation
Abstract
1. Introduction
2. Simulation Details
2.1. General Method of Model Construction
2.2. Physical and Mechanical Properties
3. Results and Discussion
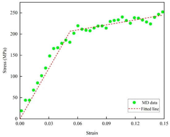
3.1. Basic Characteristics of the Epoxy Model
3.2. Temperature Dependence
3.3. Stress State Dependence
3.4. Creep Rate Upturn
3.5. Free Volume Evolution
4. Conclusions
Author Contributions
Funding
Institutional Review Board Statement
Informed Consent Statement
Data Availability Statement
Conflicts of Interest
References
- Sobek, M.; Baier, A.; Buchacz, A.; Grabowski, Ł.; Majzner, M. Carbon fiber based composites stress analysis. Experimental and computer comparative studies. IOP Conf. Ser. Mater. Sci. Eng. 2015, 95, 012011. [Google Scholar] [CrossRef]
- Raghavan, J.; Meshii, M. Creep of polymer composites. Compos. Sci. Technol. 1998, 57, 1673–1688. [Google Scholar] [CrossRef]
- Li, Y.L.; Shen, M.Y.; Chen, W.J.; Chiang, C.L.; Yip, M.C. Tensile creep study and mechanical properties of carbon fiber nano-composites. J. Polym. Res. 2012, 19, 9893. [Google Scholar] [CrossRef]
- Costa, I.; Barros, J. Tensile creep of a structural epoxy adhesive: Experimental and analytical characterization. Int. J. Adhes. Adhes. 2015, 59, 115–124. [Google Scholar] [CrossRef]
- Candau, N.; Oguz, O.; Edith, P.D.; Bouvard, J.L.; Maspoch, M.L.; Corvec, G.; Pradille, C.; Billon, N. Effect of the Strain Rate on Damage in Filled EPDM during Single and Cyclic Loadings. Polymers 2020, 12, 3021. [Google Scholar] [CrossRef] [PubMed]
- Jia, Y.L.; Fiedler, B. Tensile creep behaviour of unidirectional flax fibre reinforced bio-based epoxy composites. Compos. Commun. 2020, 18, 5–12. [Google Scholar] [CrossRef]
- Hou, D.S.; Ma, H.Y.; Zhu, Y.; Li, Z.J. Calcium silicate hydrate from dry to saturated state: Structure, dynamics and mechanical properties. Acta Mater. 2014, 67, 81–94. [Google Scholar] [CrossRef]
- Karplus, M.; Andrew McCammon, J. Molecular dynamics simulations of biomolecules. Nat. Struct. Biol. 2002, 9, 646–652. [Google Scholar] [CrossRef]
- Tam, L.; Lau, D.; Wu, C. Understanding interaction and dynamics of water molecules in the epoxy via molecular dynamics simulation. Mol. Simul. 2019, 45, 120–128. [Google Scholar] [CrossRef]
- Meng, Z.X.; Bessa, M.A.; Xia, W.J.; Liu, W.K.; Keten, S. Predicting the Macroscopic Fracture Energy of Epoxy Resins from Atomistic Molecular Simulations. Macromolecules 2016, 49, 9474–9483. [Google Scholar] [CrossRef]
- Doherty, D.C.; Holmes, B.N.; Leung, P.; Ross, R.B. Polymerization molecular dynamics simulations. I. Cross-linked atomistic models for poly(methacrylate) networks. Comput. Theor. Polym. Sci. 1998, (8), 169–178. [Google Scholar] [CrossRef]
- Fan, H.B.; Yuen, M.M.F. Material properties of the cross-linked epoxy resin compound predicted by molecular dynamics simulation. Polymer 2007, 48, 2174–2178. [Google Scholar] [CrossRef]
- Yang, S.R.; Qu, J.M. Coarse-grained molecular dynamics simulations of the tensile behavior of a thermosetting polymer. Phys. Rev. E 2014, 90, 012601. [Google Scholar] [CrossRef] [PubMed]
- Wu, C.F.; Xu, W.J. Atomistic molecular modelling of crosslinked epoxy resin. Polymer 2006, 47, 6004–6009. [Google Scholar] [CrossRef]
- Bowman, A.L.; Mun, S.; Nouranian, S.; Huddleston, B.D.; Gwaltney, S.R.; Baskes, M.I.; Horstemeyer, M.F. Free volume and internal structural evolution during creep in model amorphous polyethylene by Molecular Dynamics simulations. Polymer 2019, 170, 85–100. [Google Scholar] [CrossRef]
- Park, H.; Chung, I.; Cho, M. Effect of molecular structure of curing agents on cyclic creep in highly cross-linked epoxy polymers. J. Polym. Sci. 2020, 58, 1617–1631. [Google Scholar] [CrossRef]
- Cao, P.H.; Short, M.P.; Yip, S. Understanding the mechanisms of amorphous creep through molecular simulation. Proc. Natl. Acad. Sci. USA 2017, 114, 13631–13636. [Google Scholar] [CrossRef]
- Dauber-Osguthorpe, P.; Roberts, V.A.; Osguthorpe, D.J.; Wolff, J.; Genest, M.; Hagler, A.T. Structure and energetics of ligand binding to proteins: Escherichia coli dihydrofolate reductase-trimethoprim, a drug-receptor system. Proteins 1988, 4, 31–47. [Google Scholar] [CrossRef]
- Tam, L.; Lau, D. Moisture effect on the mechanical and interfacial properties of epoxy-bonded material system: An atomistic and experimental investigation. Polymer 2015, 57, 132–142. [Google Scholar] [CrossRef]
- Liu, C.P.; Ning, W.Y.; Tam, L.; Yu, Z.C. Understanding fracture behavior of epoxy-based polymer using molecular dynamics simulation. J. Mol. Graph. Model. 2020, 101, 107757. [Google Scholar] [CrossRef]
- Moaseri, E.; Bazubandi, B.; Karimi, M.; Baniadam, M.; Maghrebi, M. Fabrication of robust multiwalled carbon nanotube buckypapers through crosslinking reaction of epoxy chains with its curing agent. Polym. Compos. 2017, 38, 2727–2733. [Google Scholar] [CrossRef]
- Yang, H.Y.; Wang, X.; Yu, B.; Song, L.; Hu, Y.; Yuen, R.K.K. Effect of borates on thermal degradation and flame retardancy of epoxy resins using polyhedral oligomeric silsesquioxane as a curing agent. Thermochim. Acta 2012, 535, 71–78. [Google Scholar] [CrossRef]
- Yu, S.Y.; Yang, S.; Cho, M. Multi-scale modeling of cross-linked epoxy nanocomposites. Polymer 2009, 50, 945–952. [Google Scholar] [CrossRef]
- Garcia, F.G.; Soares, B.G.; Pita, V.J.R.R.; Sánchez, R.; Rieumont, J. Mechanical properties of epoxy networks based on DGEBA and aliphatic amines. J. Appl. Polym. Sci. 2008, 106, 2047–2055. [Google Scholar] [CrossRef]
- Jeyranpour, F.; Alahyarizadeh, G.; Arab, B. Comparative investigation of thermal and mechanical properties of cross-linked epoxy polymers with different curing agents by molecular dynamics simulation. J. Mol. Graph. Model. 2015, 62, 157–164. [Google Scholar] [CrossRef]











Publisher’s Note: MDPI stays neutral with regard to jurisdictional claims in published maps and institutional affiliations. |
© 2021 by the authors. Licensee MDPI, Basel, Switzerland. This article is an open access article distributed under the terms and conditions of the Creative Commons Attribution (CC BY) license (http://creativecommons.org/licenses/by/4.0/).
Share and Cite
Li, X.; Zhang, X.; Chen, J.; Huang, L.; Lv, Y. Uniaxial Tensile Creep Behavior of Epoxy-Based Polymer Using Molecular Simulation. Polymers 2021, 13, 261. https://doi.org/10.3390/polym13020261
Li X, Zhang X, Chen J, Huang L, Lv Y. Uniaxial Tensile Creep Behavior of Epoxy-Based Polymer Using Molecular Simulation. Polymers. 2021; 13(2):261. https://doi.org/10.3390/polym13020261
Chicago/Turabian StyleLi, Xueliang, Xiaoyu Zhang, Jianzhong Chen, Li Huang, and Yong Lv. 2021. "Uniaxial Tensile Creep Behavior of Epoxy-Based Polymer Using Molecular Simulation" Polymers 13, no. 2: 261. https://doi.org/10.3390/polym13020261
APA StyleLi, X., Zhang, X., Chen, J., Huang, L., & Lv, Y. (2021). Uniaxial Tensile Creep Behavior of Epoxy-Based Polymer Using Molecular Simulation. Polymers, 13(2), 261. https://doi.org/10.3390/polym13020261

