Effect of Thermal Aging on the Physico-Chemical and Optical Properties of Poly(ester urethane) Elastomers Designed for Passive Damping (Pads) of the Railway
Abstract
1. Introduction
2. Materials and Methods
2.1. Materials
2.2. Methods
2.2.1. Preparation of the PEURs
2.2.2. Thermal Aging
2.2.3. Fourier–Transform Infrared Spectroscopy (FTIR)
2.2.4. Color Modification Measurements
2.2.5. Thermogravimetric Analysis (TGA)
TGA in Non-Isothermal Conditions
TGA in Isothermal Conditions
2.2.6. Differential Scanning Calorimetry (DSC)
2.2.7. Mechanical Measurements
3. Results and Discussion
3.1. Structural Characterization by FTIR Spectroscopy
3.2. Properties Modifications during Thermal Aging
3.2.1. Color Modifications
3.2.2. Thermal Behavior of the Aged PEURs
TGA in Non-Isothermal Conditions
TGA in Isothermal Conditions
3.3. Structural Modifications during Thermal Aging
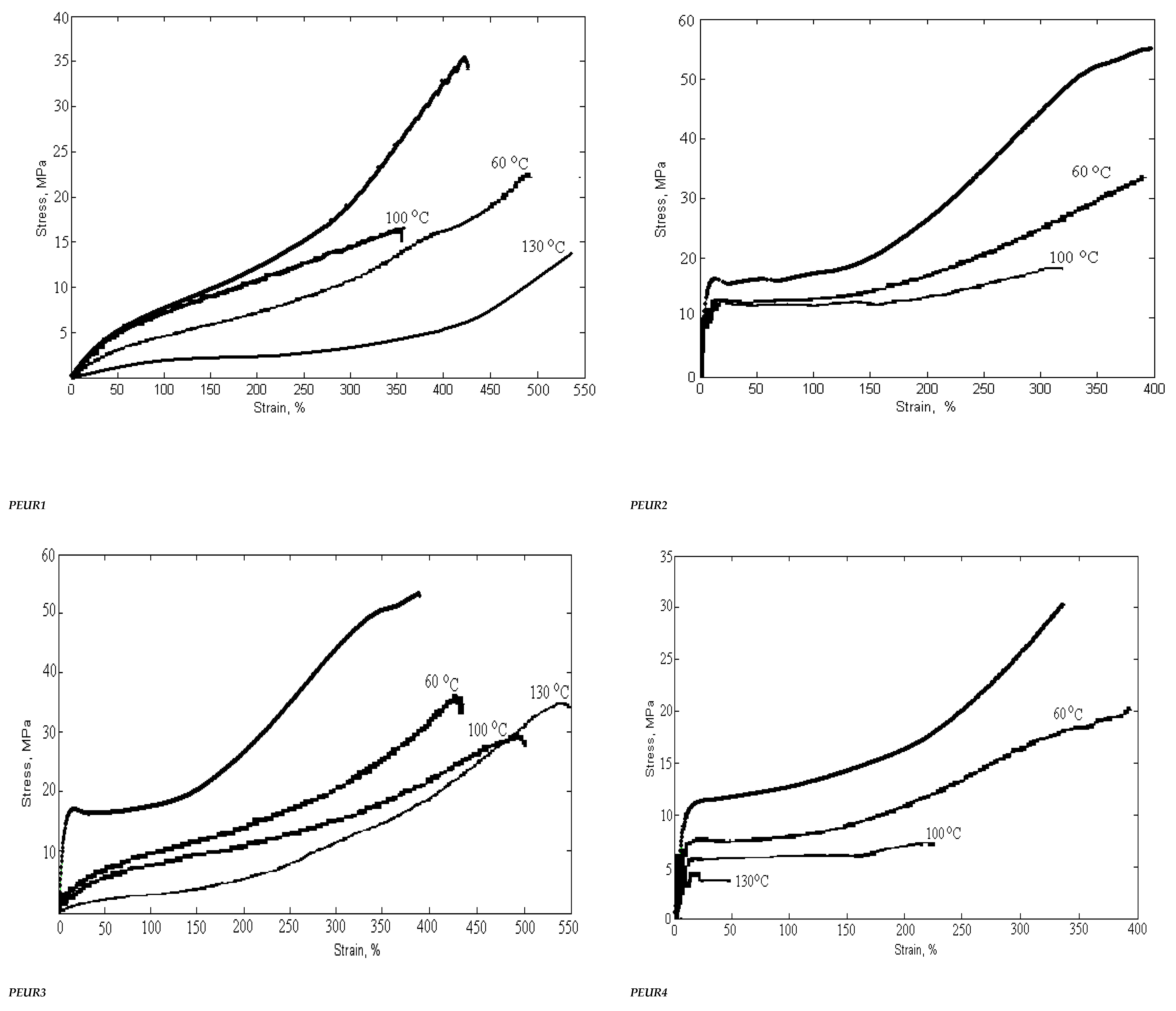
3.4. Mechanical Properties
4. Conclusions
Author Contributions
Funding
Institutional Review Board Statement
Informed Consent Statement
Data Availability Statement
Conflicts of Interest
References
- Latimer, W.-M.; Rodebush, W.-H. Polarity and ionization from the stand point of the Lewis theory of valence. J. Am. Chem. Soc. 1920, 42, 1419–1433. [Google Scholar] [CrossRef]
- Hsu, W.-P. Phase behavior of hydrogen-bonded ternary polymer blends. J. Appl. Polym. Sci. 2003, 89, 2088–2094. [Google Scholar] [CrossRef]
- Cesteros, L.-C.; Meaurio, E.; Katime, I. Miscibility and specific interactions in blends of poly(hydroxylmethacrylates) with poly(vinylpyridines). Macromolecules 1993, 26, 2323–2330. [Google Scholar] [CrossRef]
- He, Y.; Zhu, B.; Inoue, Y. Hydrogen bonds in polymer blends. Prog. Polym. Sci. 2004, 29, 1021–1051. [Google Scholar] [CrossRef]
- Xu, K.; Hu, Q.; Wu, H.; Guo, S.; Zhang, F. Designing a polymer-based hybrid with simultaneously improved mechanical and damping properties via a multilayer structure construction: Structure evolution and a damping mechanism. Polymers 2020, 12, 446. [Google Scholar] [CrossRef]
- Zhang, J.; Yang, B.; Jia, Q.; Xiao, M.; Hou, Z. Preparation, physico-chemical properties, and hemocompatibility of the composites based on biodegradable poly(ether-ester-urethane) and phosphorylcholine-containing copolymer. Polymers 2019, 11, 860. [Google Scholar] [CrossRef]
- Ulrich, H. Encyclopedia of Polymer Science and Technology; Mark, H.F., Ed.; Wiley: Hoboken, NJ, USA, 2003. [Google Scholar]
- Kwiatkowski, K.; Nachman, M. The abrasive wear resistance of segmented linear polyurethane elastomers based on variety of polyols as soft segments. Polymers 2017, 9, 705. [Google Scholar] [CrossRef]
- Gomez, C.M.; Gutierrez, D.; Asensio, M.; Costa, V.; Nohales, A. Transparent thermoplastic polyurethanes based on aliphatic diisocyanate and polycarbonate diol. J. Elastom. Plast. 2017, 49, 77–95. [Google Scholar] [CrossRef]
- Puszka, A.; Kultys, A. The influence of soft segments on some properties of new transparent segmented polyurethanes. Polym. Adv. Technol. 2017, 28, 1937–1944. [Google Scholar] [CrossRef]
- Zhang, C.; Hu, J.; Li, X.; Wu, Y.; Han, J. Hydrogen-bonding interactions in hard segments of shape memory polyurethane: Toluene diisocyanates and 1,6-hexamethylene diisocyanate. A theoretical and comparative study. J. Phys. Chem. A 2014, 118, 12241–12255. [Google Scholar] [CrossRef]
- Xiao, M.; Zhang, N.; Zhuang, J.; Sun, Y.; Ren, F.; Zhang, W.; Hou, Z. Degradable poly(ether-ester-urethane)s based on well-defined aliphatic diurethanediisocyanate with excellent shape recovery properties at body temperature for biomedical application. Polymers 2019, 11, 1002. [Google Scholar] [CrossRef] [PubMed]
- Das, S.; Yilgor, I.; Yilgor, E.; Wilkes, G.L. Probing the urea hard domain connectivity in segmented, non-chain extended polyureas using hydrogen-bond screening agents. Polymer 2008, 49, 174–179. [Google Scholar] [CrossRef]
- Randall, D.; Lee, S. The Polyurethanes Book; Wiley: Hoboken, NJ, USA, 2003. [Google Scholar]
- Kopal, I.; Harničárová, M.; Valíček, J.; Krmela, J.; Lukáč, O. Radial basis function neural network-based modeling of the dynamic thermo-mechanical response and damping behavior of thermoplastic elastomer systems. Polymers 2019, 11, 1074. [Google Scholar] [CrossRef] [PubMed]
- Zia, K.M.; Barikani, M.; Zuber, M.; Bhatti, I.A.; Bhatti, H.N. Morphological studies of polyurethane elastomers Extended with α, ω alkane diols. Iran. Polym. J. 2008, 17, 61–72. [Google Scholar]
- Puszka, A. Thermal and Mechanical Behavior of New Transparent Thermoplastic Polyurethane Elastomers Derived from Cycloaliphatic Diisocyanate. Polymers 2018, 10, 537. [Google Scholar] [CrossRef]
- Saunders, H.; Frisch, K.C. Polyurethane Chemistry and Technology Part 1: Chemistry; Wiley: New York, NY, USA, 1962. [Google Scholar]
- Rosu, L.; Cascaval, C.N.; Ciobanu, C.; Rosu, D.; Ion, D.E.; Morosanu, C.; Enachescu, M. Effect of UV radiation on the semi-interpenetrating polymer network based on polyurethane and epoxy maleate of bisphenol A. J. Photochem. Photobiol. A Chem. 2005, 169, 177–185. [Google Scholar] [CrossRef]
- Zia, K.M.; Bhatt, I.A.; Zuber, M. Surface characteristics of UV irradiated polyurethane elastomers extended with ω-alkane diols. Appl. Surf. Sci. 2008, 254, 6754–6761. [Google Scholar] [CrossRef]
- Oprea, S. Structure and properties of cross-linked polyurethane copolymers. Adv. Polym. Technol. 2009, 28, 165–172. [Google Scholar] [CrossRef]
- Noshay, A.; McGrath, J.E. Block Copolymers: Overview and Critical Survey; Academic Press: New York, NY, USA, 1977. [Google Scholar]
- Woods, G. The ICI Polyurethane Book, 2nd ed.; John Wiley & Sons: New York, NY, USA, 1990. [Google Scholar]
- Oertel, G. Polyurethane Handbook, 2nd ed.; Hanser: New York, NY, USA, 1993. [Google Scholar]
- Frick, A.; Rochman, A. Characterization of TPU-elastomers by thermal analysis (DSC). Polym. Test. 2004, 23, 413–418. [Google Scholar] [CrossRef]
- Rosu, D.; Rosu, L.; Cascaval, C.N. IR-change and yellowing of polyurethane as a result of UV irradiation. Polym. Degrad. Stab. 2009, 94, 591–596. [Google Scholar] [CrossRef]
- Rosu, D.; Tudorachi, N.; Rosu, L. Investigations on the thermal degradation of a MDI based polyurethane elastomer. J. Anal. Appl. Pyrol. 2010, 89, 152–158. [Google Scholar] [CrossRef]
- Allen, N.S.; Edge, M. Fundamentals of Polymer Degradation and Stabilization; Elsevier Applied Science: New York, NY, USA, 1992. [Google Scholar]
- Yang, X.F.; Tallman, D.E.; Bierwagen, G.P.; Croll, S.G.; Rohlik, S. Blistering and degradation of polyurethane coatings under different accelerating tests. Polym. Degrad. Stab. 2002, 77, 103–109. [Google Scholar] [CrossRef]
- Rosu, D.; Ciobanu, C.; Rosu, L.; Teaca, C.A. The influence of polychromic light on the surface of MDI based polyurethane. Appl. Surf. Sci. 2009, 255, 9453–9457. [Google Scholar] [CrossRef]
- Croll, S.; Hinderliter, B. A framework for predicting the service lifetime of composite polymeric coatings. J. Mater. Sci. 2008, 43, 6630–6641. [Google Scholar] [CrossRef]
- Gurunathan, T.; Rao, C.R.K.; Narayan, R.; Raju, K.V.S.N. Polyurethane conductive blends and composites: Synthesis and applications perspective. J. Mater. Sci. 2013, 48, 67–80. [Google Scholar] [CrossRef]
- Jelle, B.P. Accelerated climate ageing of building materials, components and structures in the laboratory. J. Mater. Sci. 2012, 47, 6475–6496. [Google Scholar] [CrossRef]
- Boubakri, A.; Haddar, N.; Elleuch, K.; Bienvenu, Y. Impact of aging conditions on mechanical properties of thermoplastic polyurethane. Mater. Des. 2010, 31, 4194–4201. [Google Scholar] [CrossRef]
- Oprea, S.; Vlad, S. Polyurethane materials using aliphatic diisocyanates for passive isolation in buildings applications. Mater. Plast. 2007, 44, 26–31. [Google Scholar]
- Akbas, A.; Aksoy, S.; Harsirchi, N. Effects of thermal degradation ageing on the properties and lifetime prediction of hydroxyl-therminatedpolybutadiene. Polymer 1994, 35, 2568–2572. [Google Scholar] [CrossRef]
- Rosu, D.; Rosu, L.; Varganici, C.-D. The thermal stability of some semi-interpenetrated polymer networks based on epoxy resin and aromatic polyurethane. J. Anal. Appl. Pyrol. 2013, 100, 103–110. [Google Scholar] [CrossRef]
- Oprea, S.; Potolinca, V.O.; Varganici, C.-D. Synthesis and properties of polyurethane urea with pyridine-2,6-dicarboxamide moieties in their structure. RSC Adv. 2016, 6, 106904–106913. [Google Scholar] [CrossRef]
- Gaina, C.; Ursache, O.; Gaina, V.; Varganici, C.-D. A new way to synthesize poly(urethane-imide)s based on nitroethylcarbamate intermediary. Polym. Plast. Technol. Eng. 2014, 53, 1160–1168. [Google Scholar] [CrossRef]
- Varganici, C.-D.; Ursache, O.; Gaina, C.; Gaina, V.; Rosu, D.; Simionescu, B.C. Synthesis and characterization of a new thermoreversible polyurethane network. Ind. Eng. Chem. Res. 2013, 52, 5287–5295. [Google Scholar] [CrossRef]
- Gaina, C.; Ursache, O.; Gaina, V.; Varganici, C.-D. Thermally reversible cross-linked poly(ether-urethane)s. Express Polym. Lett. 2013, 7, 636–650. [Google Scholar] [CrossRef]
- Pedrazzoli, D.; Manas-Zloczower, I. Understanding phase separation and morphology in thermoplastic polyurethanes nanocomposites. Polymer 2016, 90, 256–263. [Google Scholar] [CrossRef]
- Ursache, O.; Gaina, C.; Gaina, V.; Tudorachi, N.; Bargan, A.; Varganici, C.-D.; Rosu, D. Studies on Diels-Alder thermo responsive networks based on ether-urethane bismaleimide functionalized poly(vinyl alcohol). J. Therm. Anal. Calorim. 2014, 118, 1471–1481. [Google Scholar] [CrossRef]















| Sample | Ratio Polyester/Diisocyanate/ Chain Extenders + Glycerin | Chain Extenders | Diisocyanate | Hardness (Shore A) |
|---|---|---|---|---|
| PEUR1 | 1:2:1 | BD | MDI | 46 |
| PEUR2 | 1:2:1 | BD | HDI | 93 |
| PEUR3 | 1:2:1 | HD | MDI | 48 |
| PEUR4 | 1:2:1 | HD | HDI | 93 |
| PEUR5 | 1:3:2 | BD | MDI | 62 |
| PEUR6 | 1:3:2 | HD | MDI | 53 |
| Heat Treated (°C)/Time (h) | PEUR1 | PEUR2 | PEUR3 | PEUR4 | PEUR5 | PEUR6 | ||||||||||||
|---|---|---|---|---|---|---|---|---|---|---|---|---|---|---|---|---|---|---|
| ΔL* | Δa* | Δb* | ΔL* | Δa* | Δb* | ΔL* | Δa* | Δb* | ΔL* | Δa* | Δb* | ΔL* | Δa* | Δb* | ΔL* | Δa* | Δb* | |
| 40 °C | ||||||||||||||||||
| 0 | 0 | 0 | 0 | 0 | 0 | 0 | 0 | 0 | 0 | 0 | 0 | 0 | 0 | 0 | 0 | 0 | 0 | 0 |
| 50 | −1.32 | 0.53 | 1.59 | 2.51 | −0.80 | −2.27 | −2.66 | −1.64 | −3.01 | 4.77 | 0.42 | 7.12 | −2.76 | 2.68 | −1.38 | −1.04 | −2.05 | 7.33 |
| 100 | 2.51 | −0.33 | 0.64 | −3.25 | −0.47 | −6.28 | −3.60 | −5.80 | −5.03 | 3.01 | −1.90 | 6.39 | −5.09 | 0.29 | 0.48 | −2.29 | −5.64 | 2.49 |
| 150 | 0.08 | −0.15 | 2.29 | −3.89 | 2.13 | −5.86 | −3.86 | −2.57 | −5.41 | −1.38 | 0.58 | 5.12 | −6.17 | −1.30 | 0.12 | −6.06 | −3.88 | 4.28 |
| 200 | −3.68 | −1.88 | 1.68 | 25.70 | −1.58 | −0.19 | −2.37 | −1.71 | −5.62 | 38.06 | −3.97 | 4.25 | −1.32 | 0.79 | 1.18 | −2.83 | −1.39 | 5.38 |
| 70 °C | ||||||||||||||||||
| 0 | 0 | 0 | 0 | 0 | 0 | 0 | 0 | 0 | 0 | 0 | 0 | 0 | 0 | 0 | 0 | 0 | 0 | 0 |
| 50 | 1.88 | −1.09 | 3.89 | 2.07 | 1.16 | 1.73 | 3.46 | −3.41 | 6.22 | −9.13 | 10.24 | 2.89 | 4.34 | −1.33 | 3.98 | 4.12 | −5.66 | 6.28 |
| 100 | 5.03 | −2.71 | 4.36 | 4.09 | 2.35 | 2.02 | 7.17 | −5.49 | 13.34 | 4.71 | 2.72 | 3.65 | 7.24 | −3.16 | 6.58 | 6.56 | −3.99 | 10.3 |
| 150 | −5.60 | −4.68 | 5.73 | −3.54 | 0.16 | 2.45 | −3.56 | −1.81 | 19.91 | −2.73 | −0.60 | 3.67 | 9.42 | −4.49 | 8.09 | −3.12 | 0.21 | 6.54 |
| 200 | 19.75 | −3.73 | 14.17 | 33.83 | 3.34 | 5.26 | 20.61 | −2.07 | 19.21 | 36.62 | −8.40 | 7.64 | 22.56 | −2.63 | 14.37 | 20.02 | −5.57 | 20.60 |
| 100 °C | ||||||||||||||||||
| 0 | 0 | 0 | 0 | 0 | 0 | 0 | 0 | 0 | 0 | 0 | 0 | 0 | 0 | 0 | 0 | 0 | 0 | 0 |
| 50 | −31.83 | 14.83 | 18.57 | −43.91 | 4.13 | −14.55 | 42.94 | 10.37 | 23.71 | −44.11 | 5.36 | −16.74 | −24.47 | 1.68 | 19.61 | −24.95 | 8.35 | 17.64 |
| 100 | −33.65 | 18.73 | 18.28 | −43.20 | 3.31 | −13.40 | 42.89 | 9.74 | 31.07 | −45.21 | 4.5 | −18.38 | −25.74 | 6.59 | 20.49 | −28.80 | 8.94 | 21.30 |
| 150 | −39.73 | 18.15 | 17.27 | −43.78 | 2.51 | −12.23 | 36.42 | 6.71 | 28.17 | −43.13 | 2.01 | −16.72 | −29.86 | 6.24 | 20.47 | −34.49 | 9.36 | 17.92 |
| 200 | −41.64 | 17.44 | 18.3 | −42.82 | 0.26 | −4.19 | 33.87 | 11.42 | 30.37 | −42.58 | 1.94 | −10.51 | −34.04 | 9.39 | 21.13 | −36.88 | 16.11 | 22.92 |
| 130 °C | ||||||||||||||||||
| 0 | 0 | 0 | 0 | 0 | 0 | 0 | 0 | 0 | 0 | 0 | 0 | 0 | 0 | 0 | 0 | 0 | 0 | 0 |
| 50 | −27.66 | 24.71 | 16.17 | 1.18 | −3.96 | 13.92 | −31.63 | 19.59 | 25.35 | −3.01 | −3.37 | 20.74 | −18.06 | 24.87 | 10.64 | −17.70 | 24.69 | 25.05 |
| 100 | −36.07 | 29.30 | 10.30 | −13.56 | −1.83 | 18.61 | −38.16 | 26.34 | 18.74 | −5.36 | 1.97 | 33.91 | −24.47 | 28.78 | 5.78 | −24.37 | 27.79 | 19.13 |
| 150 | −38.34 | 32.36 | 4.73 | −18.80 | 4.50 | 16.16 | −41.53 | 28.78 | 16.01 | −10.3 | 6.30 | 19.04 | −30.25 | 30.98 | −3.17 | −29.25 | 25.89 | 10.12 |
| 200 | - | - | - | - | - | - | - | - | - | - | - | - | - | - | - | - | - | - |
| Sample | Aging Time (h) | E (kJ mol−1) | lnt0 | Correlation Coefficient | Lifetime at 25 °C (h) | |||
|---|---|---|---|---|---|---|---|---|
| 40 °C | 70 °C | 100 °C | 130 °C | |||||
| PEUR1 | 200 | 63 | 6 | - | 67 | −19.514 | 0.967 | 1568 |
| PEUR2 | 100 | 71 | 17 | 4 | 38 | −9.580 | 0.861 | 306 |
| PEUR3 | 58 | 32 | 5.5 | 4.8 | 29 | −7.110 | 0.954 | 116 |
| PEUR4 | 29 | 12 | 9.5 | 5.2 | 19 | −3.987 | 0.949 | 39 |
| PEUR5 | 33 | 27 | 7.7 | 6.6 | 19 | −3.955 | 0.837 | 127 |
| PEUR6 | 30 | 26 | 9.9 | 5.1 | 81 | −26.063 | 0.999 | - |
| Sample | TGA | DSC | |||||||||
|---|---|---|---|---|---|---|---|---|---|---|---|
| Stage | T5% (°C) | Tonset (°C) | Tmax (°C) | Tf (°C) | Mm (%) | Mrez (%) | Scan | Tg (°C) | Tm (°C) | ΔHm (J g−1) | |
| PEUR1 | I | 319 | – | 324 | 340 | 8.02 | 1st heating | −17 | 46 | 8.141 | |
| II | – | 349 | 367 | 390 | 17.77 | ||||||
| III | – | 390 | 404 | 459 | 50.48 | 10.95 | 2nd heating | −16 | – | – | |
| IV | – | 459 | 482 | 525 | 12.19 | ||||||
| PEUR2 | I | 315 | – | 322 | 335 | 7.97 | 1st heating | −15 | 49 | 10.67 | |
| II | – | 344 | 367 | 387 | 27.39 | ||||||
| III | – | 387 | 422 | 455 | 41.17 | 11.96 | 2nd heating | −15 | – | – | |
| IV | – | 455 | 480 | 520 | 11.46 | ||||||
| PEUR3 | I | 310 | – | 320 | 332 | 8.58 | 1st heating | −16 | 48 | 9.039 | |
| II | – | 340 | 363 | 381 | 21.74 | ||||||
| III | – | 381 | 421 | 450 | 48.36 | 11.23 | 2nd heating | −16 | – | – | |
| IV | – | 450 | 478 | 510 | 9.31 | ||||||
| PEUR4 | I | 335 | – | 372 | 390 | 33.5 | 3.52 | 1st heating | −33 | 52 | 36.84 |
| II | – | 390 | 429 | 450 | 54.21 | 2nd heating | −35 | – | – | ||
| III | – | 450 | 460 | 500 | 8.39 | ||||||
| PEUR5 | I | 304 | – | 313 | 322 | 10.76 | 1st heating | −5 | – | – | |
| II | – | 328 | 355 | 374 | 18.03 | ||||||
| III | – | 374 | 412 | 442 | 45.49 | 13 | 2nd heating | −7 | – | – | |
| IV | – | 442 | 465 | 490 | 12.24 | ||||||
| PEUR6 | I | 307 | – | 318 | 330 | 10.29 | 1st heating | −9 | – | – | |
| II | – | 335 | 358 | 378 | 18.46 | ||||||
| III | – | 378 | 418 | 444 | 45.12 | 11.37 | 2nd heating | −7 | – | – | |
| IV | – | 444 | 468 | 503 | 14.26 | ||||||
| Sample | Heating Temperature, °C | Initial Modulus of Elasticity, MPa | Elongation at the Limit of Elasticity, % | Resistance at the Limit of Elasticity, MPa | Strain at Breaking, % | Resistance at Breaking, MPa |
|---|---|---|---|---|---|---|
| PEUR1 | - | 0.090 | 12.248 | 2.020 | 420.744 | 35.240 |
| 40 | 0.031 | 20.150 | 0.523 | 549.873 | 16.304 | |
| 70 | 0.076 | 24.970 | 1.873 | 487.376 | 22.626 | |
| 100 | 0.111 | 17.768 | 2.276 | 357.216 | 16.645 | |
| 130 | 0.215 | 14.938 | 0.319 | 533.058 | 13.882 | |
| PEUR2 | - | 4.277 | 0.574 | 10.106 | 394.247 | 55.702 |
| 40 | 0.738 | 4.525 | 2.951 | 398.075 | 20.824 | |
| 70 | 1.592 | 7.717 | 11.870 | 386.895 | 33.769 | |
| 100 | 1.397 | 8.288 | 12.117 | 303.413 | 18.402 | |
| 130 | - | - | - | - | - | |
| PEUR3 | 0 | 1.366 | 2.073 | 6.552 | 383.928 | 54.320 |
| 40 | 0.059 | 15.137 | 0.640 | 547.353 | 23.416 | |
| 70 | 0.700 | 4.145 | 3.353 | 424.753 | 37.060 | |
| 100 | 0.348 | 6.922 | 2.473 | 493.676 | 31.176 | |
| 130 | 0.062 | 14.530 | 1.022 | 497.580 | 30.835 | |
| PEUR4 | - | 1.137 | 1.410 | 2.923 | 331.178 | 31.279 |
| 40 | 0.354 | 5.202 | 4.301 | 398.075 | 19.599 | |
| 70 | 0.474 | 10.289 | 7.340 | 387.812 | 21.310 | |
| 100 | 0.185 | 11.676 | 5.562 | 221.237 | 7.819 | |
| 130 | 0.162 | 12.219 | 3.493 | 45.452 | 3.830 | |
| PEUR5 | - | 2.314 | 3.309 | 9.557 | 254.707 | 31.587 |
| 40 | 0.059 | 10.703 | 1.631 | 398.991 | 13.999 | |
| 70 | 0.197 | 5.773 | 1.307 | 233.814 | 17.480 | |
| 100 | 0.119 | 11.092 | 1.121 | 264.484 | 18.892 | |
| 130 | 0.056 | 14.673 | 0.810 | 298.556 | 20.912 | |
| PEUR6 | - | 0.363 | 3.005 | 0.985 | 337.027 | 16.777 |
| 40 | 0.030 | 21.436 | 0.914 | 634.810 | 13.466 | |
| 70 | 0.108 | 12.989 | 1.482 | 210.240 | 11.483 | |
| 100 | 0.057 | 13.761 | 0.933 | 248.407 | 12.201 | |
| 130 | 0.042 | 15.574 | 0.715 | 336.597 | 16.735 |
Publisher’s Note: MDPI stays neutral with regard to jurisdictional claims in published maps and institutional affiliations. |
© 2021 by the authors. Licensee MDPI, Basel, Switzerland. This article is an open access article distributed under the terms and conditions of the Creative Commons Attribution (CC BY) license (http://creativecommons.org/licenses/by/4.0/).
Share and Cite
Rosu, L.; Varganici, C.-D.; Rosu, D.; Oprea, S. Effect of Thermal Aging on the Physico-Chemical and Optical Properties of Poly(ester urethane) Elastomers Designed for Passive Damping (Pads) of the Railway. Polymers 2021, 13, 192. https://doi.org/10.3390/polym13020192
Rosu L, Varganici C-D, Rosu D, Oprea S. Effect of Thermal Aging on the Physico-Chemical and Optical Properties of Poly(ester urethane) Elastomers Designed for Passive Damping (Pads) of the Railway. Polymers. 2021; 13(2):192. https://doi.org/10.3390/polym13020192
Chicago/Turabian StyleRosu, Liliana, Cristian-Dragos Varganici, Dan Rosu, and Stefan Oprea. 2021. "Effect of Thermal Aging on the Physico-Chemical and Optical Properties of Poly(ester urethane) Elastomers Designed for Passive Damping (Pads) of the Railway" Polymers 13, no. 2: 192. https://doi.org/10.3390/polym13020192
APA StyleRosu, L., Varganici, C.-D., Rosu, D., & Oprea, S. (2021). Effect of Thermal Aging on the Physico-Chemical and Optical Properties of Poly(ester urethane) Elastomers Designed for Passive Damping (Pads) of the Railway. Polymers, 13(2), 192. https://doi.org/10.3390/polym13020192

