Rosin-Based Epoxy Vitrimers with Dynamic Boronic Ester Bonds
Abstract
:1. Introduction
2. Experimental Section
2.1. Materials
2.2. Synthesis of Fumaropimaric Acid (FPA)
2.3. Synthesis of Epoxy Resins (FPAE)
2.4. Synthesis of C-FPAE Cross-Linking Network
2.5. Self-Healing, Welding, Shape-Memory, and Reprocessing
2.6. Degradation
2.7. Characterization
3. Results and Discussion
3.1. Covalent Cross-Linking of O-CFER Using BDB
3.2. Mechanical Properties, Thermal Performance, and Dynamic Property Analysis
3.3. Self-Healing, Welding, and Shape Memory
3.4. Reprocessing
3.5. Chemical Degradation
4. Conclusions
Supplementary Materials
Author Contributions
Funding
Institutional Review Board Statement
Informed Consent Statement
Data Availability Statement
Acknowledgments
Conflicts of Interest
References
- Raquez, J.M.; Deléglise, M.; Lacrampe, M.F.; Krawczak, P. Thermosetting (bio)materials derived from renewable resources: A critical review. Prog. Polym. Sci. 2010, 35, 487–509. [Google Scholar] [CrossRef]
- Montarnal, D.; Capelot, M.; Tournilhac, F.; Leibler, L. Silica-Like Malleable Materials from Permanent Organic Networks. Science 2011, 334, 965–968. [Google Scholar] [CrossRef] [PubMed]
- Denissen, W.; Winne, J.M.; Du Prez, F.E. Vitrimers: Permanent organic networks with glass-like fluidity. Chem. Sci. 2016, 7, 30–38. [Google Scholar] [CrossRef] [Green Version]
- He, C.; Shi, S.; Wu, X.; Russell, T.P.; Wang, D. Atomic Force Microscopy Nanomechanical Mapping Visualizes Interfacial Broadening between Networks Due to Chemical Exchange Reactions. J. Am. Chem. Soc. 2018, 140, 6793–6796. [Google Scholar] [CrossRef] [PubMed]
- Capelot, M.; Unterlass, M.M.; Tournilhac, F.; Leibler, L. Catalytic Control of the Vitrimer Glass Transition. ACS Macro Lett. 2012, 1, 789–792. [Google Scholar] [CrossRef]
- Denissen, W.; Rivero, G.; Nicolaÿ, R.; Leibler, L.; Winne, J.M.; Du Prez, F.E. Vinylogous Urethane Vitrimers. Adv. Funct. Mater. 2015, 25, 2451–2457. [Google Scholar] [CrossRef]
- Cash, J.J.; Kubo, T.; Bapat, A.P.; Sumerlin, B.S. Room-Temperature Self-Healing Polymers Based on Dynamic-Covalent Boronic Esters. Macromolecules 2015, 48, 2098–2106. [Google Scholar] [CrossRef]
- Weegen, V.D.; Rob, N.; Renaud, A.B.; Roettger, M.; Domenech, T.; Leibler, L. High-performance vitrimers from commodity thermoplastics through dioxaborolane metathesis. Science 2017, 356, 62–65. [Google Scholar]
- Cromwell, O.R.; Chung, J.; Guan, Z. Malleable and Self-Healing Covalent Polymer Networks through Tunable Dynamic Boronic Ester Bonds. J. Am. Chem. Soc. 2015, 137, 6492–6495. [Google Scholar] [CrossRef]
- Ogden, W.A.; Guan, Z. Recyclable, Strong, and Highly Malleable Thermosets Based on Boroxine Networks. J. Am. Chem. Soc. 2018, 140, 6217–6220. [Google Scholar] [CrossRef]
- Denissen, W.; Droesbeke, M.; Nicolay, R.; Leibler, L.; Winne, J.M.; Du Prez, F.E. Chemical control of the viscoelastic properties of vinylogous urethane vitrimers. Nat. Commun. 2017, 8, 14857. [Google Scholar] [CrossRef] [Green Version]
- Obadia, M.M.; Mudraboyina, B.P.; Serghei, A.; Montarnal, D.; Drockenmuller, E. Reprocessing and Recycling of Highly Cross-Linked Ion-Conducting Networks through Transalkylation Exchanges of C-N Bonds. J. Am. Chem. Soc. 2015, 137, 6078–6083. [Google Scholar] [CrossRef]
- Ishibashi, J.S.A.; Kalow, J.A. Vitrimeric Silicone Elastomers Enabled by Dynamic Meldrum’s Acid-Derived Cross-Links. ACS Macro Lett. 2018, 7, 482–486. [Google Scholar] [CrossRef]
- Geng, H.; Wang, Y.; Yu, Q.; Gu, S.; Zhou, Y.; Xu, W.; Zhang, X.; Ye, D. Vanillin-Based Polyschiff Vitrimers: Reprocessability and Chemical Recyclability. ACS Sustain. Chem. Eng. 2018, 6, 15463–15470. [Google Scholar] [CrossRef]
- Lu, Y.X.; Guan, Z. Olefin metathesis for effective polymer healing via dynamic exchange of strong carbon-carbon double bonds. J. Am. Chem. Soc. 2012, 134, 14226–14231. [Google Scholar] [CrossRef]
- Snyder, R.L.; Fortman, D.J.; De Hoe, G.X.; Hillmyer, M.A.; Dichtel, W.R. Reprocessable Acid-Degradable Polycarbonate Vitrimers. Macromolecules 2018, 51, 389–397. [Google Scholar] [CrossRef] [Green Version]
- Bull, S.D.; Davidson, M.G.; Van, D.; Fossey, J.S.; Jenkins, A.; Jiang, Y.B.; Kubo, Y.; Marken, F.; Sakurai, K.; Zhao, J. Exploiting the reversible covalent bonding of boronic acids: Recognition, sensing, and assembly. Acc. Chem. Res. 2013, 46, 312. [Google Scholar] [CrossRef] [PubMed]
- Deng, C.C.; Brooks, W.L.A.; Abboud, K.A.; Sumerlin, B.S. Boronic Acid-Based Hydrogels Undergo Self-Healing at Neutral and Acidic pH. ACS Macro Lett. 2015, 4, 220–224. [Google Scholar] [CrossRef]
- Liu, X.; Xin, W.; Zhang, J. Rosin-based acid anhydrides as alternatives to petrochemical curing agents. Green Chem. 2009, 11, 1018. [Google Scholar] [CrossRef]
- Atta, A.M.; Ramadan, A.M.; Shaffei, K.A.; Nassar, A.M.; Ahmed, N.S.; Fekry, M. Synthesis and Properties of Nonionic Surfactants from Rosin-Imides Maleic Anhydride Adduct. J. Dispers. Sci. Technol. 2009, 30, 1100–1110. [Google Scholar] [CrossRef]
- Liu, X.; Li, C.; Zhang, D.; Xiao, Y.; Guan, G. Synthesis, characterization and properties of poly(butylene succinate) modified with rosin maleopimaric acid anhydride. Polym. Int. 2006, 55, 545–551. [Google Scholar] [CrossRef]
- Wang, H.; Liu, X.; Liu, B.; Zhang, J.; Xian, M. Synthesis of rosin-based flexible anhydride-type curing agents and properties of the cured epoxy. Polym. Int. 2009, 58, 1435–1441. [Google Scholar] [CrossRef]
- Liu, X.; Zhang, J. High-performance biobased epoxy derived from rosin. Polym. Int. 2010, 59, 607–609. [Google Scholar] [CrossRef]
- Liu, X.; Xin, W.; Zhang, J. Rosin-derived imide-diacids as epoxy curing agents for enhanced performance. Bioresour. Technol. 2010, 101, 2520–2524. [Google Scholar] [CrossRef]
- Wang, H.; Liu, B.; Liu, X.; Zhang, J.; Xian, M. Synthesis of biobased epoxy and curing agents using rosin and the study of cure reactions. Green Chem. 2008, 10, 1190. [Google Scholar] [CrossRef]
- Ma, Q.; Liu, X.; Zhang, R.; Zhu, J.; Jiang, Y. Synthesis and properties of full bio-based thermosetting resins from rosin acid and soybean oil: The role of rosin acid derivatives. Green Chem. 2013, 15, 1300. [Google Scholar] [CrossRef]
- Zhang, H.; Yang, Y.; Liu, H.; Song, J.; Shang, S.; Song, Z. Synthesis and bulk polymerization kinetics of monomer dehydroabietic acid-(2-acryloyloxy-ethoxy)-ethyl ester. Front. Agric. Sci. Eng. 2017, 4, 99–107. [Google Scholar] [CrossRef] [Green Version]
- Yang, X.; Guo, L.; Xu, X.; Shang, S.; Liu, H. A fully bio-based epoxy vitrimer: Self-healing, triple-shape memory and reprocessing triggered by dynamic covalent bond exchange. Mater. Des. 2020, 186, 108248. [Google Scholar] [CrossRef]
- Deng, L.; Ha, C.; Sun, C.; Zhou, B.; Yu, J.; Shen, M.; Mo, J. Properties of Bio-based Epoxy Resins from Rosin with Different Flexible Chains. Ind. Eng. Chem. Res. 2013, 52, 13233–13240. [Google Scholar] [CrossRef]
- Zeng, Y.; Liu, S.; Xu, X.; Chen, Y.; Zhang, F. Fabrication and curing properties of o-cresol formaldehyde epoxy resin with reversible cross-links by dynamic boronic ester bonds. Polymer 2020, 211, 123116. [Google Scholar] [CrossRef]
- Chen, Y.; Tang, Z.; Liu, Y.; Wu, S.; Guo, B. Mechanically Robust, Self-Healable, and Reprocessable Elastomers Enabled by Dynamic Dual Cross-Links. Macromolecules 2019, 52, 3805–3812. [Google Scholar] [CrossRef]
- Croll, S.G. Application of the Flory–Rehner equation and the Griffith fracture criterion to paint stripping. J. Coat. Technol. Res. 2009, 7, 49–55. [Google Scholar] [CrossRef]
- Rebello, N.J.; Beech, H.K.; Olsen, B.D. Adding the Effect of Topological Defects to the Flory–Rehner and Bray–Merrill Swelling Theories. ACS Macro Lett. 2021, 10, 531–537. [Google Scholar] [CrossRef]
- Chen, Y.; Tang, Z.; Zhang, X.; Liu, Y.; Wu, S.; Guo, B. Covalently Cross-Linked Elastomers with Self-Healing and Malleable Abilities Enabled by Boronic Ester Bonds. ACS Appl. Mater. Interfaces 2018, 10, 24224–24231. [Google Scholar] [CrossRef] [PubMed]
- Spitler, E.L.; Dichtel, W.R. Lewis acid-catalysed formation of two-dimensional phthalocyanine covalent organic frameworks. Nat. Chem. 2010, 2, 672–677. [Google Scholar] [CrossRef]
- Ji, F.; Li, J.; Zhang, G.; Lan, W.; Sun, R.; Wong, C.-P. Alkaline monomer for mechanical enhanced and self-healing hydrogels based on dynamic borate ester bonds. Polymer 2019, 184, 121882. [Google Scholar] [CrossRef]
- Xu, Z.; Lu, Y.; Guo, Q. Bioinspired strategy for tuning thermal stability of PVA via hydrogen-bond crosslink. Compos. Sci. Technol. 2015, 118, 16–22. [Google Scholar]
- Wang, C.F.; Su, Y.C.; Kuo, S.W.; Huang, C.F.; Sheen, Y.C.; Chang, F.C. Low-surface-free-energy materials based on polybenzoxazines. Angew. Chem. 2006, 45, 2248–2251. [Google Scholar] [CrossRef] [PubMed]
- Wang, S.; Teng, N.; Dai, J.; Liu, J.; Cao, L.; Zhao, W.; Liu, X. Taking advantages of intramolecular hydrogen bonding to prepare mechanically robust and catalyst-free vitrimer. Polymer 2020, 210, 123004. [Google Scholar] [CrossRef]
- Chen, J.; Li, F.; Luo, Y.; Shi, Y.; Ma, X.; Zhang, M.; Boukhvalov, D.W.; Luo, Z. A self-healing elastomer based on an intrinsic non-covalent cross-linking mechanism. J. Mater. Chem. A 2019, 7, 15207–15214. [Google Scholar] [CrossRef]
- Ma, Z.; Wang, Y.; Zhu, J.; Yu, J.; Hu, Z. Bio-based epoxy vitrimers: Reprocessibility, controllable shape memory, and degradability. J. Polym. Sci. Part A Polym. Chem. 2017, 55, 1790–1799. [Google Scholar] [CrossRef]
- Yuanqin, X.; Zhuojuan, J.; Yanyan, X.; Xuyong, Z.; Weijian, X. Development of a DOPO-containing melamine epoxy hardeners and its thermal and flame-retardant properties of cured products. J. Appl. Polym. Sci. 2013, 127, 4352–4358. [Google Scholar]
- Wang, S.; Xing, X.; Wang, W.; Jing, X. Influence of poly (dihydroxybiphenyl borate) on the curing behaviour and thermal pyrolysis mechanism of phenolic resin. Polym. Degrad. Stab. 2017, 144, 378–391. [Google Scholar] [CrossRef]
- Yang, Y.; Peng, G.; Wu, S.; Hao, W. A repairable anhydride-epoxy system with high mechanical properties inspired by vitrimers. Polymer 2018, 159, 162–168. [Google Scholar] [CrossRef]
- Galià, M.; de Espinosa, L.M.; Ronda, J.C.; Lligadas, G.; Cádiz, V. Vegetable oil-based thermosetting polymers. Eur. J. Lipid Sci. Technol. 2010, 112, 87–96. [Google Scholar] [CrossRef]
- Altuna, F.I.; Pettarin, V.; Williams, R. Self-healable polymer networks based on the cross-linking of epoxidised soybean oil by an aqueous citric acid solution. Green Chem. 2013, 15, 3360–3366. [Google Scholar] [CrossRef]
- Van Zee, N.J.; Nicolaÿ, R. Vitrimers: Permanently crosslinked polymers with dynamic network topology. Prog. Polym. Sci. 2020, 104, 101233. [Google Scholar] [CrossRef]
- Krishnakumar, B.; Sanka, R.V.S.P.; Binder, W.H.; Parthasarthy, V.; Rana, S.; Karak, N. Vitrimers: Associative dynamic covalent adaptive networks in thermoset polymers. Chem. Eng. J. 2020, 385, 123820. [Google Scholar] [CrossRef]
- Liu, W.X.; Zhang, C.; Zhang, H.; Zhao, N.; Yu, Z.X.; Xu, J. Oxime-Based and Catalyst-Free Dynamic Covalent Polyurethanes. J. Am. Chem. Soc. 2017, 139, 8678–8684. [Google Scholar] [CrossRef]
- Wu, X.; Yang, X.; Yu, R.; Zhao, X.; Zhang, Y. A facile access to stiff epoxy vitrimers with excellent mechanical properties via siloxane equilibration. J. Mater. Chem. A Mater. Energy Sustain. 2018, 6, 10184–10188. [Google Scholar] [CrossRef]
- Yang, F.; Pan, L.; Ma, Z.; Lou, Y.; Li, Y.; Li, Y. Highly elastic, strong, and reprocessable cross-linked polyolefin elastomers enabled by boronic ester bonds. Polym. Chem. 2020, 11, 3285–3295. [Google Scholar] [CrossRef]
- Xiong, X.; Guo, X.; Ren, R.; Zhou, L.; Chen, P. A novel multifunctional glycidylamine epoxy resin containing phthalide cardo structure: Synthesis, curing kinetics and dynamic mechanical analysis. Polym. Test. 2019, 77, 105917. [Google Scholar] [CrossRef]
- Dumlu, H.; Marquardt, A.; Zirdehi, E.M.; Varnik, F.; Shen, Y.; Neuking, K.; Eggeler, G. A Mechanical Analysis of Chemically Stimulated Linear Shape Memory Polymer Actuation. Materials 2021, 14, 481. [Google Scholar] [CrossRef]
- Devangamath, S.S.; Lobo, B.; Masti, S.P.; Narasagoudr, S. Mechanical and Dynamic Mechanical Studies on Epoxy-Cobaltous Sulfate Polymer Hybrids. Fibers Polym. 2018, 19, 1490–1499. [Google Scholar] [CrossRef]
- Liu, T.; Hao, C.; Wang, L.; Li, Y.; Liu, W.; Xin, J.; Zhang, J. Eugenol-Derived Biobased Epoxy: Shape Memory, Repairing, and Recyclability. Macromolecules 2017, 50, 8588–8597. [Google Scholar] [CrossRef]
- Pei, Z.; Yang, Y.; Chen, Q.; Terentjev, E.M.; Wei, Y.; Ji, Y. Mouldable liquid-crystalline elastomer actuators with exchangeable covalent bonds. Nat. Mater. 2014, 13, 36–41. [Google Scholar] [CrossRef]
- Wang, T.X.; Chen, H.M.; Salvekar, A.V.; Lim, J.; Chen, Y.; Xiao, R.; Huang, W.M. Vitrimer-Like Shape Memory Polymers: Characterization and Applications in Reshaping and Manufacturing. Polymers 2020, 12, 2330. [Google Scholar] [CrossRef] [PubMed]
- Ma, R.; Shi, L. Phenylboronic acid-based glucose-responsive polymeric nanoparticles: Synthesis and applications in drug delivery. Polym. Chem. 2014, 5, 1503–1518. [Google Scholar] [CrossRef]
- Bosch, L.I.; Fyles, T.M.; James, T.D. Binary and ternary phenylboronic acid complexes with saccharides and Lewis bases. Tetrahedron 2004, 60, 11175–11190. [Google Scholar] [CrossRef]
- Lambert, J.B.; Shurvell, H.F.; Lightner, D.A.; Cooks, R.G. Introduction to Organic Spectroscopy; Macmillan Publishing Company: New York, NY, USA, 1987. [Google Scholar]













| Sample | I (1727/1253) |
|---|---|
| FPAE | 5.82 |
| 4% C-FPAE | 6.50 |
| 8% C-FPAE | 8.13 |
| 12% C-FPAE | 11.37 |
| 16% C-FPAE | 18.45 |
| 20% C-FPAE | 23.81 |
| Sample | Tg (°C) | E’(Tg + 40 °C) (Mpa) | Elongation at Break (%) | Tensile Strength (Mpa) | Young’s Modulus (Mpa) |
|---|---|---|---|---|---|
| FPAE | 62 | / | 2.5 ± 0.1 | 4.9 ± 0.1 | 1.7 ± 0.4 |
| 4%C-FPAE | 72 | 3.2 | 2.7 ± 0.1 | 6.2 ± 0.2 | 2.4 ± 0.3 |
| 8%C-FPAE | 82 | 4.1 | 2.7 ± 0.5 | 9.9 ± 1.0 | 3.7 ± 0.2 |
| 12%C-FPAE | 96 | 5.5 | 7.0 ± 0.4 | 25.6 ± 2.0 | 4.2 ± 0.3 |
| 16%C-FPAE | 106 | 7.8 | 7.4 ± 0.1 | 35.8 ± 1.6 | 4.8 ± 0.4 |
| 20% C-FPAE | 111 | 61.9 | 9.1 ± 0.2 | 39.5 ± 1.1 | 3.9 ± 0.3 |
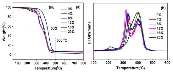
| Sample | T5d (°C) | T50d (°C) | Residual Weight at 500 °C (%) | Residual Weight at 800 °C (%) |
|---|---|---|---|---|
| FPAE | 214.5 | 381.9 | 3.98 | 1.87 |
| 4%C-FPAE | 234.3 | 371.5 | 6.26 | 4.61 |
| 8%C-FPAE | 259.5 | 372.3 | 6.72 | 5.07 |
| 12%C-FPAE | 287.4 | 375.6 | 7.17 | 5.41 |
| 16%C-FPAE | 307.3 | 390.4 | 7.63 | 5.98 |
| 20% C-FPAE | 340.7 | 423.9 | 7.96 | 6.44 |
Publisher’s Note: MDPI stays neutral with regard to jurisdictional claims in published maps and institutional affiliations. |
© 2021 by the authors. Licensee MDPI, Basel, Switzerland. This article is an open access article distributed under the terms and conditions of the Creative Commons Attribution (CC BY) license (https://creativecommons.org/licenses/by/4.0/).
Share and Cite
Zeng, Y.; Li, J.; Liu, S.; Yang, B. Rosin-Based Epoxy Vitrimers with Dynamic Boronic Ester Bonds. Polymers 2021, 13, 3386. https://doi.org/10.3390/polym13193386
Zeng Y, Li J, Liu S, Yang B. Rosin-Based Epoxy Vitrimers with Dynamic Boronic Ester Bonds. Polymers. 2021; 13(19):3386. https://doi.org/10.3390/polym13193386
Chicago/Turabian StyleZeng, Yanning, Jiawei Li, Shuxin Liu, and Bin Yang. 2021. "Rosin-Based Epoxy Vitrimers with Dynamic Boronic Ester Bonds" Polymers 13, no. 19: 3386. https://doi.org/10.3390/polym13193386
APA StyleZeng, Y., Li, J., Liu, S., & Yang, B. (2021). Rosin-Based Epoxy Vitrimers with Dynamic Boronic Ester Bonds. Polymers, 13(19), 3386. https://doi.org/10.3390/polym13193386
