Effective Enhancement of Water Absorbency of Itaconic Acid Based-Superabsorbent Polymer via Tunable Surface—Crosslinking
Abstract
:1. Introduction
2. Materials and Methods
2.1. Materials
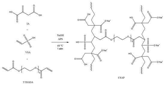
2.2. Synthesis of Core-SAP (CSAP)
2.3. Preparation of Surface-Crosslinked CSAP (SSAP)
2.4. Characterization
2.5. Gel Fraction
2.6. Rheological Analysis
2.7. Free Absorbency (FA)
2.8. Swelling Kinetics
2.9. Centrifuge Retention Capacity (CRC)
2.10. Absorbency under Load (AUL)
3. Results and Discussion
3.1. Preparation of CSAPs and SSAPs
3.2. Characterization of CSAP and SSAP_A85
3.2.1. FTIR Analysis
3.2.2. XPS Analysis
3.2.3. Thermal Properties
3.3. Swelling Behaviors of CSAP Materials in Mixtures of DW and Organic Solvent
3.4. Effect of the Volume Ratio of DW to Acetone on SSAPs
3.4.1. SEM Analysis of CSAP and SSAPs
3.4.2. Rheological Properties of SSAPs
3.4.3. Absorption Properties of SSAPs
3.5. Effects of Surface-Crosslinking Agent Content on Absorption Properties of SSAPs
3.6. Effects of Temperature of Surface-Crosslinking Reaction on Absorption Properties of SSAPs
4. Conclusions
Author Contributions
Funding
Institutional Review Board Statement
Informed Consent Statement
Data Availability Statement
Acknowledgments
Conflicts of Interest
References
- Gao, J.; Yang, Q.; Ran, F.; Ma, G.; Lei, Z. Preparation and properties of novel eco-friendly superabsorbent composites based on raw wheat bran and clays. Appl. Clay Sci. 2016, 132-133, 739–747. [Google Scholar] [CrossRef]
- Zohuriaan-Mehr, M.J.; Kabiri, K. Superabsorbent polymer materials: A review. Iran. Polym. J. 2008, 17, 451. [Google Scholar]
- Dabbaghi, A.; Jahandideh, A.; Kabiri, K.; Ramazani, A.; Zohuriaan-Mehr, M.J. The synthesis and incorporation of a star-shaped bio-based modifier in the acrylic acid based superabsorbent: A strategy to enhance the absorbency under load. Polym. Technol. Mater. 2019, 58, 1678–1690. [Google Scholar] [CrossRef]
- Huang, Z.; Liu, S.; Fang, G.; Zhang, B. Synthesis and swelling properties of β-cyclodextrin-based superabsorbent resin with network structure. Carbohydr. Polym. 2013, 92, 2314–2320. [Google Scholar] [CrossRef]
- Morin-Crini, N.; Crini, G. Environmental applications of water-insoluble β-cyclodextrin–epichlorohydrin polymers. Prog. Polym. Sci. 2013, 38, 344–368. [Google Scholar] [CrossRef]
- Mudiyanselage, T.K.; Neckers, D.C. Highly absorbing superabsorbent polymer. J. Polym. Sci. Part A Polym. Chem. 2008, 46, 1357–1364. [Google Scholar] [CrossRef]
- Ibrahim, S.M.; El Salmawi, K.M.; Zahran, A.H. Synthesis of crosslinked superabsorbent carboxymethyl cellulose/acrylamide hydrogels through electron-beam irradiation. J. Appl. Polym. Sci. 2007, 104, 2003–2008. [Google Scholar] [CrossRef]
- Willke, T.; Vorlop, K.-D. Biotechnological production of itaconic acid. Appl. Microbiol. Biotechnol. 2001, 56, 289–295. [Google Scholar] [CrossRef]
- Pourjavadi, A.; Hosseinzadeh, H.; Mazidi, R.J. Synthesis and swelling behavior of crosslinked κC-g-AMPS superabsorbent hydrogel with antisalt and pH--responsiveness properties. J. App. Polym. Sci. 2005, 98, 255–263. [Google Scholar] [CrossRef]
- Kim, D.H. Effects of Polymerization Parameters on Absorption Properties of an Itaconic Acid-based Superabsorbent Hydrogel. Elastomers. Compos. 2019, 54, 232–240. [Google Scholar]
- Wang, F.; Jeon, J.-H.; Kim, S.-J.; Park, J.-O.; Park, S. An eco-friendly ultra-high performance ionic artificial muscle based on poly(2-acrylamido-2-methyl-1-propanesulfonic acid) and carboxylated bacterial cellulose. J. Mater. Chem. B 2016, 4, 5015–5024. [Google Scholar] [CrossRef]
- Pourjavadi, A.; Amini-Fazl, M.S.; Ayyari, M. Optimization of synthetic conditions CMC-g-poly (acrylic acid)/Celite composite superabsorbent by Taguchi method and determination of its absorbency under load. Express Polym. Lett. 2007, 1, 488–494. [Google Scholar] [CrossRef]
- Wu, J.; Lin, J.; Li, G.; Wei, C. Influence of the COOH and COONa groups and crosslink density of poly(acrylic ac-id)/montmorillonite superabsorbent composite on water absorbency. Polym. Int. 2001, 50, 1050–1053. [Google Scholar] [CrossRef]
- Chen, Z.; Liu, M.; Ma, S. Synthesis and modification of salt-resistant superabsorbent polymers. React. Funct. Polym. 2005, 62, 85–92. [Google Scholar] [CrossRef]
- Jockusch, S.; Turro, N.J.; Mitsukami, Y.; Matsumoto, M.; Iwamura, T.; Lindner, T.; Flohr, A.; Di Massimo, G. Photoinduced surface crosslinking of superabsorbent polymer particles. J. Appl. Polym. Sci. 2009, 111, 2163–2170. [Google Scholar] [CrossRef]
- Moini, N.; Kabiri, K. Effective parameters in surface cross-linking of acrylic-based water absorbent polymer particles using bisphenol A diethylene glycidyl ether and cycloaliphatic diepoxide. Iran. Polym. J. 2015, 24, 977–987. [Google Scholar] [CrossRef]
- Lee, K.M.; Min, J.H.; Oh, S.; Lee, H.; Koh, W.G. Preparation and characterization of superabsorbent polymers (SAPs) sur-face-crosslinked with polycations. React. Funct. Polym. 2020, 157, 104774. [Google Scholar] [CrossRef]
- Ghasri, M.; Bouhendi, H.; Kabiri, K.; Zohuriaan-Mehr, M.J.; Karami, Z.; Omidian, H. Superabsorbent polymers achieved by surface cross linking of poly(sodium acrylate) using microwave method. Iran. Polym. J. 2019, 28, 539–548. [Google Scholar] [CrossRef]
- Naumann, M.; Mcintosh, S.A.; Schubert, F.; Loick, C. Process for Superabsorbent Polymer and Crosslinker Composition. U.S. Patent 8,476,189, 2 July 2013. [Google Scholar]
- Kim, Y.J.; Hong, S.J.; Shin, W.S.; Kwon, Y.R.; Lim, S.H.; Kim, H.C.; Kim, J.S.; Kim, J.W.; Kim, D.H. Preparation of a biodegradable superabsorbent polymer and measurements of changes in absorption properties depending on the type of surface-crosslinker. Polym. Adv. Technol. 2019, 31, 273–283. [Google Scholar] [CrossRef]
- Moini, N.; Kabiri, K.; Zohuriaan-Mehr, M.J. Practical Improvement of SAP Hydrogel Properties via Facile Tunable Cross-linking of the Particles Surface. Polym. Technol. Eng. 2015, 55, 278–290. [Google Scholar] [CrossRef]
- Buchholz, F.L.; Graham, A.T. Modern Superabsorbent Polymer Technology; Wiley: New York, NY, USA, 1998. [Google Scholar]
- Fei, S.T.; Phelps, M.V.; Wang, Y.; Barrett, E.; Gandhi, F.; Allcock, H.R. A redox responsive polymeric gel based on ionic cross-linking. Soft. Matter. 2006, 2, 397–401. [Google Scholar] [CrossRef]
- Coşkun, R.; Soykan, C.; Delibaş, A. Study of free-radical copolymerization of itaconic ac-id/2-acrylamido-2-methyl-1-propanesulfonic acid and their metal chelates. Eur. Polym. J. 2006, 42, 625–637. [Google Scholar] [CrossRef]
- Meng, Y.; Ye, L. Synthesis and swelling property of superabsorbent starch grafted with acrylic ac-id/2-acrylamido-2-methyl-1-propanesulfonic acid. J. Sci. Food. Agric. 2017, 97, 3831–3840. [Google Scholar] [CrossRef]
- Chen, J.; Shen, J. Swelling behaviors of polyacrylate superabsorbent in the mixtures of water and hydrophilic solvents. J. Appl. Polym. Sci. 2000, 75, 1331–1338. [Google Scholar] [CrossRef]
- Pulat, M.; Eksi, H. Determination of swelling behavior and morphological properties of poly(acrylamide-co-itaconic acid) and poly(acrylic acid-co-itaconic acid) copolymeric hydrogels. J. Appl. Polym. Sci. 2006, 102, 5994–5999. [Google Scholar] [CrossRef]
- Clements, J.H. Reactive Applications of Cyclic Alkylene Carbonates. Ind. Eng. Chem. Res. 2003, 42, 663–674. [Google Scholar] [CrossRef]
- Kwon, Y.R.; Lim, S.H.; Kim, H.C.; Kim, J.S.; Chang, Y.W.; Choi, J.; Kim, D.H. Superabsorbent polymer with improved permeability and absorption rate using hollow glass microspheres. J. Polym. Sci. 2021, 59, 462–470. [Google Scholar] [CrossRef]
- Hemvichian, K.; Chanthawong, A.; Suwanmala, P. Synthesis and characterization of superabsorbent polymer prepared by radiation-induced graft copolymerization of acrylamide onto carboxymethyl cellulose for controlled release of agrochemicals. Radiat. Phys. Chem. 2014, 103, 167–171. [Google Scholar] [CrossRef]













| Sample | IA (g) | VSA (g) | NaOH (g) | TTEGDA (g) | APS (g) |
|---|---|---|---|---|---|
| CSAP | 72.86 | 49.74 | 21.76 | 0.73 | 1.47 |
| Sample Name | CSAP (g) | DW: Acetone (Volume Ratio) | EC (wt%) | Temperature (°C) |
|---|---|---|---|---|
| SSAP_A80 | 3 | 20:80 | 0.5 | 120 |
| SSAP_A85 | 3 | 15:85 | 0.5 | 120 |
| SSAP_A90 | 3 | 10:90 | 0.5 | 120 |
| SSAP_A95 | 3 | 5:95 | 0.5 | 120 |
| SSAP_EC0.5 | 3 | 15:85 | 0.5 | 120 |
| SSAP_EC1 | 3 | 15:85 | 1 | 120 |
| SSAP_EC1.5 | 3 | 15:85 | 1.5 | 120 |
| SSAP_EC2 | 3 | 15:85 | 2 | 120 |
| SSAP_T100 | 3 | 15:85 | 1.5 | 100 |
| SSAP_T120 | 3 | 15:85 | 1.5 | 120 |
| SSAP_T140 | 3 | 15:85 | 1.5 | 140 |
| SSAP_T160 | 3 | 15:85 | 1.5 | 160 |
| Sample Name | O1s (at%) | C1s (at%) | Na1s (at%) | Na KL1 (at%) | Na2s (at%) | Na2p (at%) | S2p (at%) |
|---|---|---|---|---|---|---|---|
| CSAP | 28.39 | 49.10 | 7.06 | 5.41 | 3.92 | 4.21 | 1.89 |
| SSAP_A85 | 33.91 | 58.64 | 1.77 | 1.35 | 1.00 | 1.05 | 2.26 |
Publisher’s Note: MDPI stays neutral with regard to jurisdictional claims in published maps and institutional affiliations. |
© 2021 by the authors. Licensee MDPI, Basel, Switzerland. This article is an open access article distributed under the terms and conditions of the Creative Commons Attribution (CC BY) license (https://creativecommons.org/licenses/by/4.0/).
Share and Cite
Kwon, Y.-R.; Kim, J.-S.; Kim, D.-H. Effective Enhancement of Water Absorbency of Itaconic Acid Based-Superabsorbent Polymer via Tunable Surface—Crosslinking. Polymers 2021, 13, 2782. https://doi.org/10.3390/polym13162782
Kwon Y-R, Kim J-S, Kim D-H. Effective Enhancement of Water Absorbency of Itaconic Acid Based-Superabsorbent Polymer via Tunable Surface—Crosslinking. Polymers. 2021; 13(16):2782. https://doi.org/10.3390/polym13162782
Chicago/Turabian StyleKwon, Yong-Rok, Jung-Soo Kim, and Dong-Hyun Kim. 2021. "Effective Enhancement of Water Absorbency of Itaconic Acid Based-Superabsorbent Polymer via Tunable Surface—Crosslinking" Polymers 13, no. 16: 2782. https://doi.org/10.3390/polym13162782
APA StyleKwon, Y.-R., Kim, J.-S., & Kim, D.-H. (2021). Effective Enhancement of Water Absorbency of Itaconic Acid Based-Superabsorbent Polymer via Tunable Surface—Crosslinking. Polymers, 13(16), 2782. https://doi.org/10.3390/polym13162782

