Styrenated Oil Synthesis with Cyclic Carbonate Functional Groups on Polystyrene Segment
Abstract
1. Introduction
2. Materials and Methods
2.1. Materials
2.2. Characterization
2.3. Preparation of Partial Glycerides (PGs)
2.4. Synthesis of Oil-Based Macroinitiator (OBMI)
2.5. Synthesis of 4-[(Prop-2-en-1-yloxy)methyl]-1,3-dioxolan-2-one (AGC)
2.6. Synthesis of OBMI-St-AGC
2.7. Preparation of OBMI-St-AGC-APTES
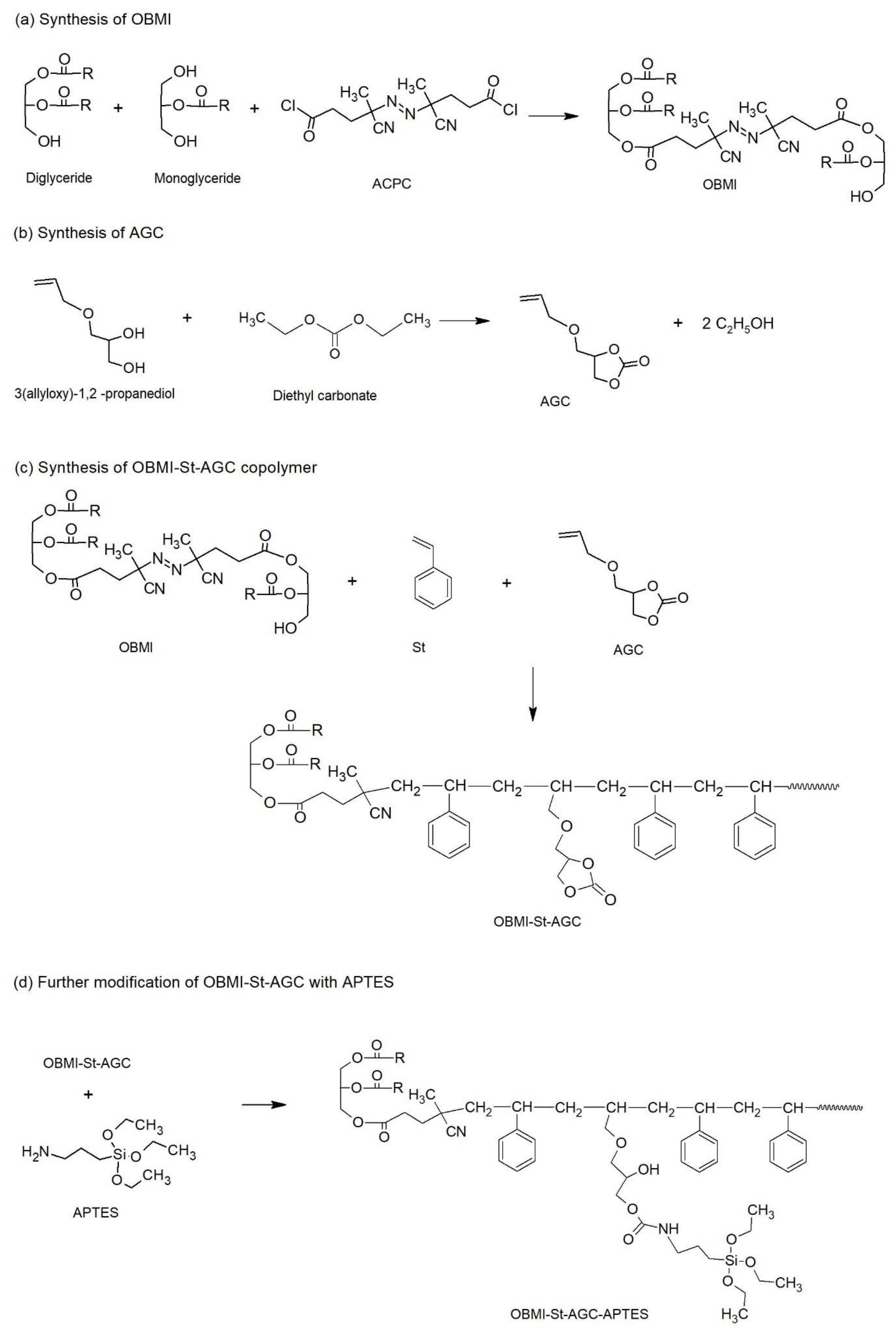
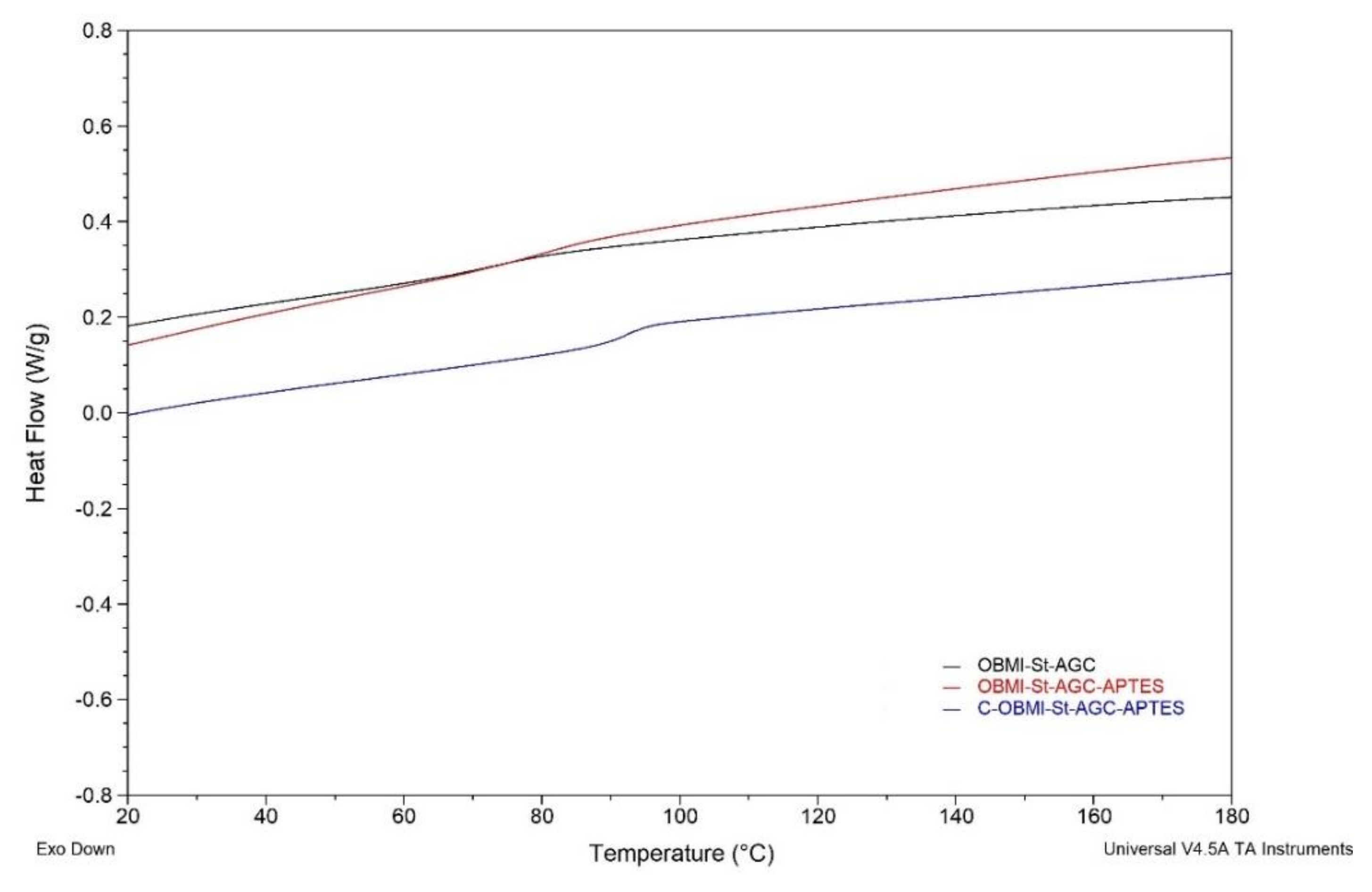
3. Results and Discussion
4. Conclusions
Author Contributions
Funding
Institutional Review Board Statement
Informed Consent Statement
Data Availability Statement
Acknowledgments
Conflicts of Interest
References
- Seniha Güner, F.; Yaǧci, Y.; Tuncer Erciyes, A. Polymers from triglyceride oils. Prog. Polym. Sci. 2006, 31, 633–670. [Google Scholar] [CrossRef]
- Sharmin, E.; Zafar, F.; Akram, D.; Alam, M.; Ahmad, S. Recent advances in vegetable oils based environment friendly coatings: A review. Ind. Crop. Prod. 2015, 76, 215–229. [Google Scholar] [CrossRef]
- Zhang, C.; Garrison, T.F.; Madbouly, S.A.; Kessler, M.R. Recent advances in vegetable oil-based polymers and their composites. Prog. Polym. Sci. 2017, 71, 91–143. [Google Scholar] [CrossRef]
- Karak, N. Vegetable oils and their derivatives. In Vegetable Oil-Based Polymers; Elsevier: Amsterdam, The Netherlands, 2012; pp. 54–95. ISBN 9780857097101. [Google Scholar]
- Hayes, D.G.; Dumont, M.J. Polymeric products derived from industrial oils for paints, coatings, and other applications. In Industrial Oil Crops; Elsevier: Amsterdam, The Netherlands, 2016; pp. 43–73. ISBN 9781893997981. [Google Scholar]
- Erkal, F.S.; Erciyes, A.T.; Yagci, Y. New method for the styrenation of triglyceride oils for surface coatings. J. Coat. Technol. 1993, 65, 37–43. [Google Scholar]
- Kabasakal, O.S.; Guner, F.S.; Erciyes, A.T.; Yagci, Y. Styrenation of oils based on secondary esters of castor oil. J. Coat. Technol. 1995, 67, 47–51. [Google Scholar]
- Kabasakal, O.S.; Guner, F.S.; Arslan, A.; Ergan, A.; Erciyes, A.T.; Yagci, Y. Use of castor oil in the preparation of various oil-based binders. J. Coat. Technol. 1996, 68, 57–62. [Google Scholar]
- Alemdar, N.; Erciyes, A.T.; Yagci, Y. Styrenation of triglyceride oil by nitroxide mediated radical polymerization. Prog. Org. Coat. 2009, 66, 99–106. [Google Scholar] [CrossRef]
- Güner, F.S.; Usta, S.; Erciyes, A.T.; Yagci, Y. Styrenation of triglyceride oils by macromonomer technique. J. Coat. Technol. 2000, 72, 107–110. [Google Scholar] [CrossRef]
- Gultekin, M.; Beker, U.; Güner, F.S.; Erciyes, A.T.; Yagci, Y. Styrenation of castor oil and linseed oil by macromer method. Macromol. Mater. Eng. 2000, 283, 15–20. [Google Scholar] [CrossRef]
- Akbas, T.; Beker, Ü.G.; Güner, F.S.; Erciyes, A.T.; Yagci, Y. Drying and semidrying oil macromonomers. III. Stvrenation of sunflower and linseed oils. J. Appl. Polym. Sci. 2003, 88, 2373–2376. [Google Scholar] [CrossRef]
- Erciyes, A.T.; Kabasakal, O.S.; Erkal, F.S. Use of methylolated abietic acid and toluene diisocyanate in the modification of triglyceride oils. J. Coat. Technol. 1991, 63, 83–88. [Google Scholar]
- Güner, F.S.; Gümüsel, A.; Calica, S.; Erciyes, A.T. Study of film properties of some urethane oils. J. Coat. Technol. 2002, 74, 55–59. [Google Scholar] [CrossRef]
- Cumurcu, A.; Erciyes, A.T. Synthesis and properties of alkoxysilane-functionalized urethane oil/titania hybrid films. Prog. Org. Coat. 2010, 67, 317–323. [Google Scholar] [CrossRef]
- Yildirim, C.; Erciyes, A.T.; Yagci, Y. Thermally curable benzoxazine-modified vegetable oil as a coating material. J. Coat. Technol. Res. 2013, 10, 559–569. [Google Scholar] [CrossRef]
- Taşdelen-Yücedaǧ, Ç.; Erciyes, A.T. Preparation of oil-modified polycaprolactone and its further modification with benzoxazine for coating purposes. Prog. Org. Coat. 2013, 76, 137–146. [Google Scholar] [CrossRef]
- Tasdelen-Yucedag, C.; Erciyes, A.T. Modification of polycaprolactone-styrene-vinyl trimethoxysilane terpolymer with sunflower oil for coating purposes. Prog. Org. Coat. 2014, 77, 1750–1760. [Google Scholar] [CrossRef]
- Ochiai, B.; Matsuki, M.; Nagai, D.; Miyagawa, T.; Endo, T. Radical polymerization behavior of a vinyl monomer bearing five-membered cyclic carbonate structure and reactions of the obtained polymers with amines. J. Polym. Sci. Part A Polym. Chem. 2005, 43, 584–592. [Google Scholar] [CrossRef]
- Benyahya, S.; Desroches, M.; Auvergne, R.; Carlotti, S.; Caillol, S.; Boutevin, B. Synthesis of glycerin carbonate-based intermediates using thiol–ene chemistry and isocyanate free polyhydroxyurethanes therefrom. Polym. Chem. 2011, 2, 2661. [Google Scholar] [CrossRef]
- Webster, D.C. Cyclic carbonate functional polymers and their applications. Prog. Org. Coat. 2003, 47, 77–86. [Google Scholar] [CrossRef]
- Kathalewar, M.S.; Joshi, P.B.; Sabnis, A.S.; Malshe, V.C. Non-isocyanate polyurethanes: From chemistry to applications. RSC Adv. 2013, 3, 4110–4129. [Google Scholar] [CrossRef]
- Alkaabi, K. The Synthesis, Chemical and Physical Characterisation of Selected Energetic Binder Systems. Ph.D. Thesis, Stellenbosch University, Stellenbosch, South Africa, 2009; pp. 1–287. [Google Scholar]
- Stanton, J.M. Isocyanate-modified drying oils. J. Am. Oil Chem. Soc. 1959, 36, 503–507. [Google Scholar] [CrossRef]
- Cocks, L.V.; Van Rede, C. Laboratory Handbook for Oil and Fats Analysts; Academic Press: New York, NY, USA, 1966. [Google Scholar]
- Zhu, Z.; Einset, A.G.; Yang, C.Y.; Chen, W.X.; Wnek, G.E. Synthesis of Polysiloxanes bearing cyclic carbonate side chains. Dielectric properties and ionic conductivities of lithium triflate complexes. Macromolecules 1994, 27, 4076–4079. [Google Scholar] [CrossRef]
- Agudelo, N.A.; Perez, L.D. Synthesis and characterization of polydimethylsiloxane end-modified polystyrene from poly(styrene-co-vinyltriethoxysilane) copolymers. Mater. Res. 2016, 19, 459–465. [Google Scholar] [CrossRef]
- Gunji, T.; Shigematsu, Y.; Kajiwara, T.; Abe, Y. Preparation of free-standing films with sulfonyl group from 3-mercaptopropyl(trimethoxy)silane/1,2-bis(triethoxysilyl)ethane copolymer. Polym. J. 2010, 42, 684–688. [Google Scholar] [CrossRef]
- Raw, Refined and Boiled Linseed Oil for Paints and Varnishes—Specifications and Methods of Test; ISO 150:2018(E), International ISO Standard; International Organization for Standardization: Geneva, Switzerland, 2018.
- Freedman, B.; Pryde, E.H.; Mounts, T.L. Variables affecting the yields of fatty esters from transesterified vegetable oils. J. Am. Oil Chem. Soc. 1984, 61, 1638–1643. [Google Scholar] [CrossRef]
- Ortega-García, J.; Gámez-Meza, N.; Noriega-Rodriguez, J.A.; Dennis-Quiñonez, O.; García-Galindo, H.S.; Angulo-Guerrero, J.O.; Medina-Juárez, L.A. Refining of high oleic safflower oil: Effect on the sterols and tocopherols content. Eur. Food Res. Technol. 2006, 223, 775–779. [Google Scholar] [CrossRef]
- Kantor, M. Refining of drying oils. J. Am. Oil Chem. Soc. 1950, 27, 455–462. [Google Scholar] [CrossRef]
- Ghazani, S.M.; Marangoni, A.G. Minor components in canola oil and effects of refining on these constituents: A review. J. Am. Oil Chem. Soc. 2013, 90, 923–932. [Google Scholar] [CrossRef]
- Gutfinger, T.; Letan, A. Quantitative changes in some unsaponifiable components of soya bean oil due to refining. J. Sci. Food Agric. 1974, 25, 1143–1147. [Google Scholar] [CrossRef] [PubMed]
- Chang, C.-W.; Chang, J.-P.; Lu, K.-T. Synthesis of linseed oil-based waterborne urethane oil wood coatings. Polymers 2018, 10, 1235. [Google Scholar] [CrossRef]
- Nimbalkar, R.V.; Athawale, V.D. Polyurethane dispersions based on interesterification product of fish and linseed oil. J. Am. Oil Chem. Soc. 2010, 87, 1035–1045. [Google Scholar] [CrossRef]
- Corma, A.; Iborra, S.; Miquel, S.; Primo, J. Catalysts for the production of fine chemicals. J. Catal. 1998, 173, 315–321. [Google Scholar] [CrossRef]
- Sonntag, N.O.V. Glycerolysis of fats and methyl esters—Status, review and critique. J. Am. Oil Chem. Soc. 1982, 59, 795A–802A. [Google Scholar] [CrossRef]
- Noureddini, H.; Medikonduru, V. Glycerolysis of fats and methyl esters. J. Am. Oil Chem. Soc. 1997, 74, 419–425. [Google Scholar] [CrossRef]
- Noureddini, H.; Harkey, D.W.; Gutsman, M.R. A continuous process for the glycerolysis of soybean oil. J. Am. Oil Chem. Soc. 2004, 81, 203–207. [Google Scholar] [CrossRef]
- Nitbani, F.O.; Tjitda, P.J.P.; Nurohmah, B.A.; Wogo, H.E. Preparation of fatty acid and monoglyceride from vegetable oil. J. Oleo Sci. 2020, 69, 277–295. [Google Scholar] [CrossRef]
- Alemdar, N.; Erciyes, A.T.; Bicak, N. Styrenated sunflower oil polymers from raft process for coating application. J. Appl. Polym. Sci. 2012, 125, 10–18. [Google Scholar] [CrossRef]
- Zovi, O.; Lecamp, L.; Loutelier-Bourhis, C.; Lange, C.M.; Bunel, C. A solventless synthesis process of new UV-curable materials based on linseed oil. Green Chem. 2011, 13, 1014. [Google Scholar] [CrossRef]
- Mosiewicki, M.; Aranguren, M.I.; Borrajo, J. Mechanical properties of linseed oil monoglyceride maleate/styrene copolymers. J. Appl. Polym. Sci. 2005, 97, 825–836. [Google Scholar] [CrossRef]
- Sopeña, S.; Fiorani, G.; Martín, C.; Kleij, A.W. Highly efficient organocatalyzed conversion of oxiranes and CO2 into organic carbonates. ChemSusChem 2015, 8, 3179. [Google Scholar] [CrossRef] [PubMed]
- Zhang, J.; Chen, H.; Zhou, Y.; Ke, C.; Lu, H. Compatibility of waste rubber powder/polystyrene blends by the addition of styrene grafted styrene butadiene rubber copolymer: Effect on morphology and properties. Polym. Bull. 2013, 70, 2829–2841. [Google Scholar] [CrossRef]
- Jamarosliza, J.; Hasan, M.; Hassan, A.; Ibrahim, N.A.; Ahmad, M.; Rahman, Z.A.; Yunus, W.M.Z.W. Effect of reaction conditions on the thermal stability of polystyrene grafted oil palm empty fruit bunch (OPEFB) fiber. J. Polym. Eng. 2014, 34, 185–191. [Google Scholar] [CrossRef]
- Miyata, T.; Matsumoto, K.; Endo, T.; Yonemori, S.; Watanabe, S. Synthesis and radical polymerization of styrene-based monomer having a five-membered cyclic carbonate structure. J. Polym. Sci. Part. A Polym. Chem. 2012, 50, 3046–3051. [Google Scholar] [CrossRef]
- Doley, S.; Dolui, S.K. Solvent and catalyst-free synthesis of sunflower oil based polyurethane through non-isocyanate route and its coatings properties. Eur. Polym. J. 2018, 102, 161–168. [Google Scholar] [CrossRef]
- Yıldırım, Y.; Balcan, M. Comparative copolymerization of allyl glycidyl ether with styrene using radiation and chemical initiation methods. Iran. Polym. J. 2013, 22, 1–7. [Google Scholar] [CrossRef]
- Liu, G.; Wu, G.; Huo, S.; Jin, C.; Kong, Z. Synthesis and properties of non-isocyanate polyurethane coatings derived from cyclic carbonate-functionalized polysiloxanes. Prog. Org. Coat. 2017, 112, 169–175. [Google Scholar] [CrossRef]
- Lamarzelle, O.; Durand, P.L.; Wirotius, A.L.; Chollet, G.; Grau, E.; Cramail, H. Activated lipidic cyclic carbonates for non-isocyanate polyurethane synthesis. Polym. Chem. 2016, 7, 1439–1451. [Google Scholar] [CrossRef]
- Peña-Alonso, R.; Rubio, F.; Rubio, J.; Oteo, J.L. Study of the hydrolysis and condensation of γ- Aminopropyltriethoxysilane by FT-IR spectroscopy. J. Mater. Sci. 2007, 42, 595–603. [Google Scholar] [CrossRef]
- Cornille, A.; Blain, M.; Auvergne, R.; Andrioletti, B.; Boutevin, B.; Caillol, S. A study of cyclic carbonate aminolysis at room temperature: Effect of cyclic carbonate structures and solvents on polyhydroxyurethane synthesis. Polym. Chem. 2017, 8, 592–604. [Google Scholar] [CrossRef]
- Wackerly, J.W.; Dunne, J.F. Synthesis of polystyrene and molecular weight determination by 1 H NMR end-group analysis. J. Chem. Educ. 2017, 94, 1790–1793. [Google Scholar] [CrossRef]
- Semsarzadeh, M.A.; Reza, M.; Daronkola, R. 1H NMR studies of the molecular structure of PVAc-b-(MA-co-MMA) block terpolymer in atom transfer radical copolymerizatin reaction. Iran. Polym. J. 2007, 16, 47–56. [Google Scholar]
- Wazarkar, K.; Kathalewar, M.; Sabnis, A. Development of epoxy-urethane hybrid coatings via non-isocyanate route. Eur. Polym. J. 2016, 84, 812–827. [Google Scholar] [CrossRef]
- Chattopadhyay, D.K.; Zakula, A.D.; Webster, D.C. Organic-inorganic hybrid coatings prepared from glycidyl carbamate resin, 3-aminopropyl trimethoxy silane and tetraethoxyorthosilicate. Prog. Org. Coat. 2009, 64, 128–137. [Google Scholar] [CrossRef]
- Majoul, N.; Aouida, S.; Bessaïs, B. Progress of porous silicon APTES-functionalization by FTIR investigations. Appl. Surf. Sci. 2015, 331, 388–391. [Google Scholar] [CrossRef]
- Zhu, S.-Y.; Zhang, X.-M.; Chen, W.-X.; Feng, L.-F. Synthesis, characterization, and properties of polystyrene/SiO 2 hybrid materials via sol-gel process. Polym. Compos. 2015, 36, 482–488. [Google Scholar] [CrossRef]
- Assadi, M.G.; Golipour, N. Synthesis and characterization of new monomer and polymers of hindered silyl styrene. Des. Monomers Polym. 2007, 10, 79–89. [Google Scholar] [CrossRef][Green Version]












Publisher’s Note: MDPI stays neutral with regard to jurisdictional claims in published maps and institutional affiliations. |
© 2021 by the authors. Licensee MDPI, Basel, Switzerland. This article is an open access article distributed under the terms and conditions of the Creative Commons Attribution (CC BY) license (https://creativecommons.org/licenses/by/4.0/).
Share and Cite
Bingöl, E.; Erciyes, A.T. Styrenated Oil Synthesis with Cyclic Carbonate Functional Groups on Polystyrene Segment. Polymers 2021, 13, 2343. https://doi.org/10.3390/polym13142343
Bingöl E, Erciyes AT. Styrenated Oil Synthesis with Cyclic Carbonate Functional Groups on Polystyrene Segment. Polymers. 2021; 13(14):2343. https://doi.org/10.3390/polym13142343
Chicago/Turabian StyleBingöl, Eser, and Ahmet Tuncer Erciyes. 2021. "Styrenated Oil Synthesis with Cyclic Carbonate Functional Groups on Polystyrene Segment" Polymers 13, no. 14: 2343. https://doi.org/10.3390/polym13142343
APA StyleBingöl, E., & Erciyes, A. T. (2021). Styrenated Oil Synthesis with Cyclic Carbonate Functional Groups on Polystyrene Segment. Polymers, 13(14), 2343. https://doi.org/10.3390/polym13142343

