Preparation of Poly(acrylate)/Poly(diallyldimethylammonium) Coacervates without Small Counterions and Their Phase Behavior upon Salt Addition towards Poly-Ions Segregation
Abstract
:1. Introduction
2. Materials and Methods
2.1. Materials
2.2. Preparation of the PECs through Acid–Base Titration
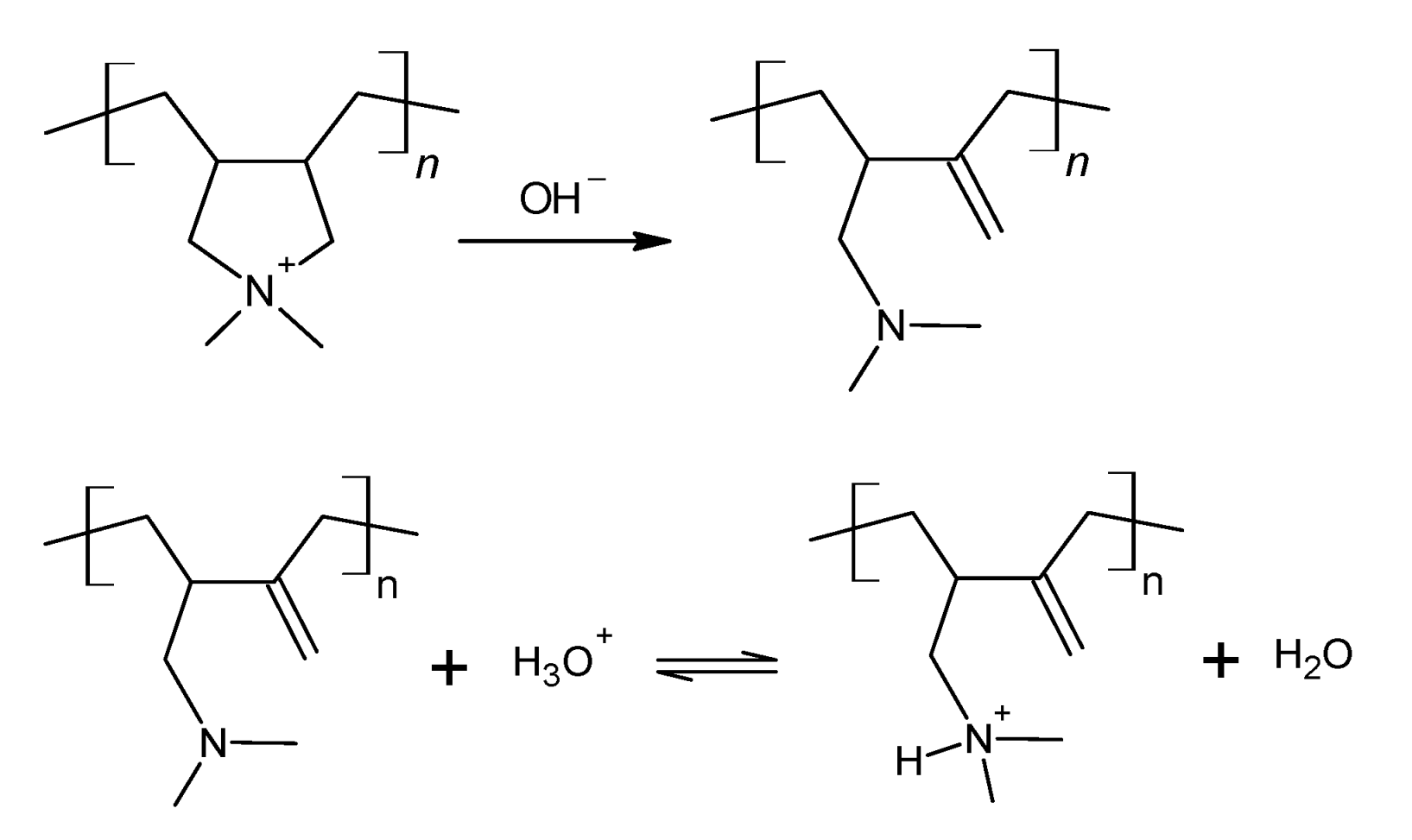
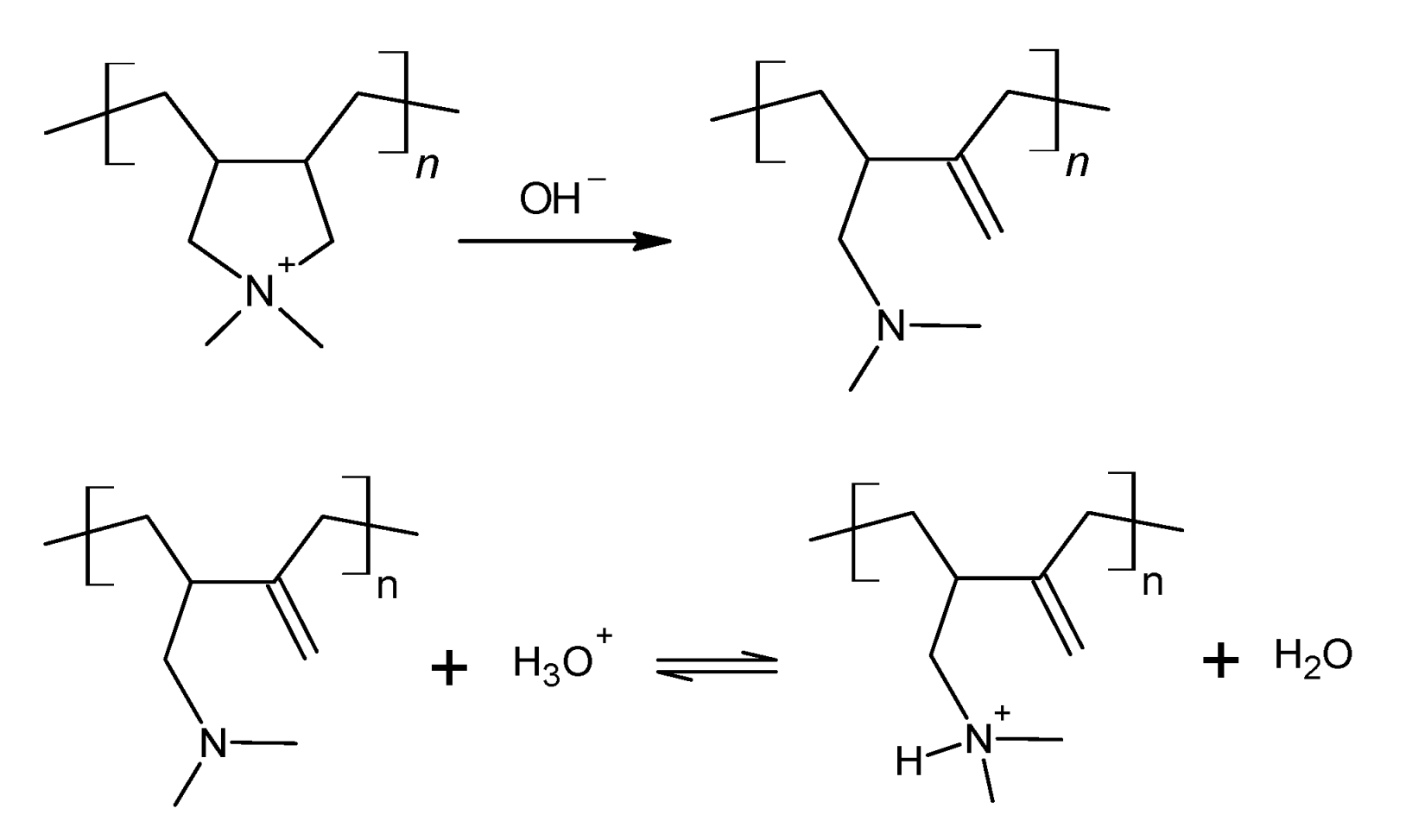
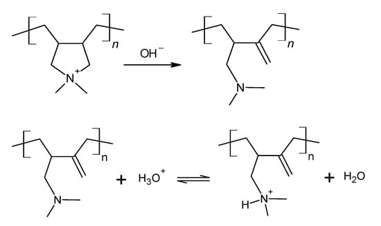
2.3. Assessment of Hofmann Elimination Extent
2.4. Determination of Chloride in the Bulk Coacervates
2.5. Determination of the Water Content into the Bulk Coacervates
2.6. Preparation of PDADMAPA2k through Direct Mixing
2.7. Preparation of the Mixtures Containing PEC, Water, and Salt
2.8. Determination of the Phase Composition in the Segregative Phase Separation
3. Results
3.1. Contents of Water and Chloride in the PECs
3.2. Phase Behavior in Mixtures Containing PDADMAPA, Water and Salt
3.2.1. Associative Phase Separation
3.2.2. Segregative Phase Separation
4. Conclusions
Supplementary Materials
Author Contributions
Funding
Institutional Review Board Statement
Informed Consent Statement
Data Availability Statement
Conflicts of Interest
References
- Sing, C.E. Development of the modern theory of polymeric complex coacervation. Adv. Colloid Interface Sci. 2017, 239, 2–16. [Google Scholar] [CrossRef]
- Chollakup, R.; Beck, J.B.; Dirnberger, K.; Tirrell, M.; Eisenbach, C.D. Polyelectrolyte molecular weight and salt effects on the phase behavior and coacervation of aqueous solutions of poly(acrylic acid) sodium salt and poly(allylamine) hydrochloride. Macromolecules 2013, 46, 2376–2390. [Google Scholar] [CrossRef]
- Bucur, C.B.; Sui, Z.; Schlenoff, J.B. Ideal mixing in polyelectrolyte complexes and multilayers: Entropy driven assembly. J. Am. Chem. Soc. 2006, 128, 13690–13691. [Google Scholar] [CrossRef] [PubMed]
- van der Gucht, J.; Spruijt, E.; Lemmers, M.; Cohen Stuart, M.A. Polyelectrolyte complexes: Bulk phases and colloidal systems. J. Colloid Interface Sci. 2011, 361, 407–422. [Google Scholar] [CrossRef] [PubMed]
- Durmaz, E.N.; Willott, J.D.; Fatima, A.; de Vos, W.M. Weak polyanion and strong polycation complex based membranes: Linking aqueous phase separation to traditional membrane fabrication. Eur. Polym. J. 2020, 139, 110015. [Google Scholar] [CrossRef]
- Rodriguez, A.M.B.; Binks, B.P.; Sekine, T. Emulsion stabilisation by complexes of oppositely charged synthetic polyelectrolytes. Soft Matter 2018, 14, 239–254. [Google Scholar] [CrossRef]
- Ushimaru, K.; Morita, T.; Fukuoka, T. Moldable and Humidity-Responsive Self-Healable Complex from Lignosulfonate and Cationic Polyelectrolyte. ACS Sustain. Chem. Eng. 2018, 6, 14831–14837. [Google Scholar] [CrossRef]
- Lafontaine, D.L.J.; Riback, J.A.; Bascetin, R.; Brangwynne, C.P. The nucleolus as a multiphase liquid condensate. Nat. Rev. Mol. Cell Biol. 2021, 22, 165–182. [Google Scholar] [CrossRef]
- Alonso, T.; Irigoyen, J.; Iturri, J.J.; Larena, I.L.; Moya, S.E. Study of the multilayer assembly and complex formation of poly(diallyldimethylammonium chloride) (PDADMAC) and poly(acrylic acid) (PAA) as a function of pH. Soft Matter 2013, 9, 1920–1928. [Google Scholar] [CrossRef]
- Ye, Z.; Sun, S.; Wu, P. Distinct Cation-Anion Interactions in the UCST and LCST Behavior of Polyelectrolyte Complex Aqueous Solutions. ACS Macro Lett. 2020, 9, 974–979. [Google Scholar] [CrossRef]
- Fu, J.; Fares, H.M.; Schlenoff, J.B. Ion-Pairing Strength in Polyelectrolyte Complexes. Macromolecules 2017, 50, 1066–1074. [Google Scholar] [CrossRef]
- Fu, J.; Schlenoff, J.B. Driving Forces for Oppositely Charged Polyion Association in Aqueous Solutions: Enthalpic, Entropic, but Not Electrostatic. J. Am. Chem. Soc. 2016, 138, 980–990. [Google Scholar] [CrossRef]
- Schlenoff, J.B.; Yang, M.; Digby, Z.A.; Wang, Q. Ion Content of Polyelectrolyte Complex Coacervates and the Donnan Equilibrium. Macromolecules 2019, 52, 9149–9159. [Google Scholar] [CrossRef]
- Priftis, D.; Laugel, N.; Tirrell, M. Thermodynamic Characterization of Polypeptide Complex Coacervation. Langmuir 2012, 28, 15947–15957. [Google Scholar] [CrossRef] [PubMed]
- Meng, S.; Ting, J.M.; Wu, H.; Tirrell, M.V. Solid-to-Liquid Phase Transition in Polyelectrolyte Complexes. Macromolecules 2020, 53, 7944–7953. [Google Scholar] [CrossRef]
- Wang, Q.; Schlenoff, J.B. The polyelectrolyte complex/coacervate continuum. Macromolecules 2014, 47, 3108–3116. [Google Scholar] [CrossRef]
- Schaaf, P.; Schlenoff, J.B. Saloplastics: Processing compact polyelectrolyte complexes. Adv. Mater. 2015, 27, 2420–2432. [Google Scholar] [CrossRef]
- Farhat, T.R.; Schlenoff, J.B. Doping-Controlled Ion Diffusion in Polyelectrolyte Multilayers: Mass Transport in Reluctant Exchangers. J. Am. Chem. Soc. 2003, 10, 4627–4636. [Google Scholar] [CrossRef]
- Spruijt, E.; Westphal, A.H.; Borst, J.W.; Stuart, M.A.C.; van der Gutch, J. Binodal Compositions of Polyelectrolyte Complexes. Macromolecules 2010, 43, 6476–6484. [Google Scholar] [CrossRef]
- Sing, C.E.; Perry, S.L. Recent progress in the science of complex coacervation. Soft Matter 2020, 16, 2885–2914. [Google Scholar] [CrossRef] [Green Version]
- Lu, T.; Spruijt, E. Multiphase Complex Coacervate Droplets. J. Am. Chem. Soc. 2020, 142, 2905–2914. [Google Scholar] [CrossRef] [PubMed] [Green Version]
- Ilekti, P.; Piculell, L.; Tournilhac, F.; Cabane, B. How To Concentrate an Aqueous Polyelectrolyte/Surfactant Mixture by Adding Water. J. Phys. Chem. B 1998, 102, 344–351. [Google Scholar] [CrossRef]
- Ghostine, R.A.; Shamoun, R.F.; Schlenoff, J.B. Doping and diffusion in an extruded saloplastic polyelectrolyte complex. Macromolecules 2013, 46, 4089–4094. [Google Scholar] [CrossRef]
- Svensson, A.; Piculell, L.; Cabane, B.; Ilekti, P. A new approach to the phase behavior of oppositely charged polymers and surfactants. J. Phys. Chem. B 2002, 106, 1013–1018. [Google Scholar] [CrossRef]
- Bernardes, J.S.; Piculell, L.; Loh, W. Self-assembly of polyion-surfactant ion complex salts in mixtures with water and n-alcohols. J. Phys. Chem. B 2011, 115, 9050–9058. [Google Scholar] [CrossRef]
- Bernardes, J.S.; Norrman, J.; Piculell, L.; Loh, W. Complex polyion-surfactant ion salts in equilibrium with water: Changing aggregate shape and size by adding oil. J. Phys. Chem. B 2006, 110, 23433–23442. [Google Scholar] [CrossRef]
- Queirós, M.V.A.; Loh, W. From Associative to Segregative Phase Separation: The Phase Behavior of Poly(acrylate)/Dodecyltrimethylammonium Complex Salts in the Presence of NaBr and NaCl. J. Phys. Chem. B 2021, 125, 2968–2975. [Google Scholar] [CrossRef]
- Laugel, N.; Betscha, C.; Winterhalter, M.; Voegel, J.; Schaaf, P.; Ball, V. Relationship between the Growth Regime of Polyelectrolyte Multilayers and the Polyanion/Polycation Complexation Enthalpy. J. Phys. Chem. B 2006, 110, 19443–19449. [Google Scholar] [CrossRef]
- Park, S.; Barnes, R.; Lin, Y.; Jeon, B.J.; Najafi, S.; Delaney, K.T.; Fredrickson, G.H.; Shea, J.E.; Hwang, D.S.; Han, S. Dehydration entropy drives liquid-liquid phase separation by molecular crowding. Commun. Chem. 2020, 3, 83. [Google Scholar] [CrossRef]
- Chollakup, R.; Smitthipong, W.; Eisenbach, C.D.; Tirrell, M. Phase behavior and coacervation of aqueous poly(acrylic acid)-poly(allylamine) solutions. Macromolecules 2010, 43, 2518–2528. [Google Scholar] [CrossRef]
- Salehi, A.; Desai, P.S.; Li, J.; Steele, C.A.; Larson, R.G. Relationship between polyelectrolyte bulk complexation and kinetics of their layer-by-layer assembly. Macromolecules 2015, 48, 400–409. [Google Scholar] [CrossRef]
- Zhang, P.; Alsaifi, N.M.; Wu, J.; Wang, Z.G. Polyelectrolyte complex coacervation: Effects of concentration asymmetry. J. Chem. Phys. 2018, 149, 163303. [Google Scholar] [CrossRef] [PubMed] [Green Version]
- Perry, S.L.; Li, Y.; Priftis, D.; Leon, L.; Tirrell, M. The effect of salt on the complex coacervation of vinyl polyelectrolytes. Polymers 2014, 6, 1756–1772. [Google Scholar] [CrossRef] [Green Version]
- Herslöf-Björling, Å.; Björling, M.; Sundelöf, L.O. The Counter- and Coion Influence on the Interaction between Sodium Hyaluronate and Tetradecyltrimethylammonium Bromide. Langmuir 1999, 15, 353–357. [Google Scholar] [CrossRef]
- Hansson, P.; Almgren, M. Interaction of Alkyltrimethylammonium Surfactants with Polyacrylate and Poly(styrenesulfonate) in Aqueous Solution: Phase Behavior and Surfactant Aggregation Numbers. Langmuir 1994, 10, 2115–2124. [Google Scholar] [CrossRef]
- Thalberg, K.; Lindman, B.; Karlström, G. Phase behavior of a system of cationic surfactant and anionic polyelectrolyte: The effect of salt. J. Phys. Chem. 1991, 95, 6004–6011. [Google Scholar] [CrossRef]
- Piculell, L.; Lindman, B. Association and segregation in aqueous polymer/polymer, polymer/surfactant, and surfactant/surfacatnt mixtures. Adv. Colloid Interface Sci. 1992, 41, 149–178. [Google Scholar] [CrossRef]
- Albertsson, P.Å. Partition of Cell Particles and Macromolecules, 2nd ed.; Wiley-Interscience: New York, NY, USA, 1971. [Google Scholar]
- Zhang, P.; Alsai, N.M.; Wu, J.; Wang, Z. Salting-Out and Salting-In of Polyelectrolyte Solutions: A Liquid-State Theory Study. Macromolecules 2016, 49, 9720–9730. [Google Scholar] [CrossRef]
- Bergfeldt, K.; Piculell, L.; Linse, P. Segregation and association in mixed polymer solutions from Flory-Huggins model calculations. J. Phys. Chem. 1996, 100, 3680–3687. [Google Scholar] [CrossRef]
- Naeem, S.; Sadowski, G. PePC-SAFT: Modeling of polyelectrolyte systems 2. Aqueous two-phase systems. Fluid Phase Equilib. 2011, 306, 67–75. [Google Scholar] [CrossRef]
- Ikegami, A.; Imai, N. Precipitation of polyelectrolytes by salts. J. Polym. Sci. 1962, 56, 133–152. [Google Scholar] [CrossRef]
- Salomäki, M.; Tervasmäki, P.; Areva, S.; Kankare, J. The Hofmeister anion effect and the growth of polyelectrolyte multilayers. Langmuir 2004, 20, 3679–3683. [Google Scholar] [CrossRef] [PubMed]






| Equilibration Time at pH 13 (h) | Hofmann Elimination (mol%) |
|---|---|
| 0 | 1.9 ± 0.8 |
| 24 | 8.3 ± 0.7 |
| 48 | 14 ± 5 |
| PEC | nCl−/nPol+ | Water Content (wt %) | Molar Ratio (nH2O/nPEC) |
|---|---|---|---|
| PDADMAPA2k * | 0.130 ± 0.003 | 69.6 ± 0.1 | 26 |
| PDADMAPA2k | 0.006 ± 0.001 | 61.9 ± 0.4 | 18 |
| PDADMAPA100k | 0.002 ± 0.001 | 54.9 ± 0.1 | 13 |
Publisher’s Note: MDPI stays neutral with regard to jurisdictional claims in published maps and institutional affiliations. |
© 2021 by the authors. Licensee MDPI, Basel, Switzerland. This article is an open access article distributed under the terms and conditions of the Creative Commons Attribution (CC BY) license (https://creativecommons.org/licenses/by/4.0/).
Share and Cite
Queirós, M.V.A.; Loh, W. Preparation of Poly(acrylate)/Poly(diallyldimethylammonium) Coacervates without Small Counterions and Their Phase Behavior upon Salt Addition towards Poly-Ions Segregation. Polymers 2021, 13, 2259. https://doi.org/10.3390/polym13142259
Queirós MVA, Loh W. Preparation of Poly(acrylate)/Poly(diallyldimethylammonium) Coacervates without Small Counterions and Their Phase Behavior upon Salt Addition towards Poly-Ions Segregation. Polymers. 2021; 13(14):2259. https://doi.org/10.3390/polym13142259
Chicago/Turabian StyleQueirós, Marcos Vinícius Aquino, and Watson Loh. 2021. "Preparation of Poly(acrylate)/Poly(diallyldimethylammonium) Coacervates without Small Counterions and Their Phase Behavior upon Salt Addition towards Poly-Ions Segregation" Polymers 13, no. 14: 2259. https://doi.org/10.3390/polym13142259
APA StyleQueirós, M. V. A., & Loh, W. (2021). Preparation of Poly(acrylate)/Poly(diallyldimethylammonium) Coacervates without Small Counterions and Their Phase Behavior upon Salt Addition towards Poly-Ions Segregation. Polymers, 13(14), 2259. https://doi.org/10.3390/polym13142259

