An Empirical Model for Predicting Biodegradation Profiles of Glycopolymers
Abstract
1. Introduction
2. Materials and Methods
2.1. Chemicals
2.2. Mathematical Models Applied for the Kinetic Biodegradation Process
2.3. Theory/Calculation
- -
- The variation of the weight loss values in time seems to correspond to a monotonous rising saturation tendency, as , where the weight loss potential has a finite value;
- -
- The variation of the weight loss values in time reflects an additive property, which presents two exponential rising variations, separated in time by a time delay. This variation can be written similarly as the response to a step signal of a first-degree linear continuous system.
3. Results and Discussions
3.1. Models of Characteristic Function Type for the Prediction of the Biodegradation Processes
- -
- The weight loss w(t) obtained experimentally in discrete time adequately describes the process and represents the output signal of the dynamic system.
- -
- The biodegradation process is monitored from t = 0; the human operator is not involved in the process development after the process has started. Thus, the system evolves freely, independently from the operator’s will, from a certain initial state.
3.2. Validation of the Proposed Model
3.2.1. New Empirical Model Applied to Glycopolymer Biodegradation Processes
3.2.2. Validation of the New Empirical Model for on the Biodegradation Process of Polymers Derived from Natural Feedstock
3.2.3. New Empirical Model Applied to Bacteria Population Growth
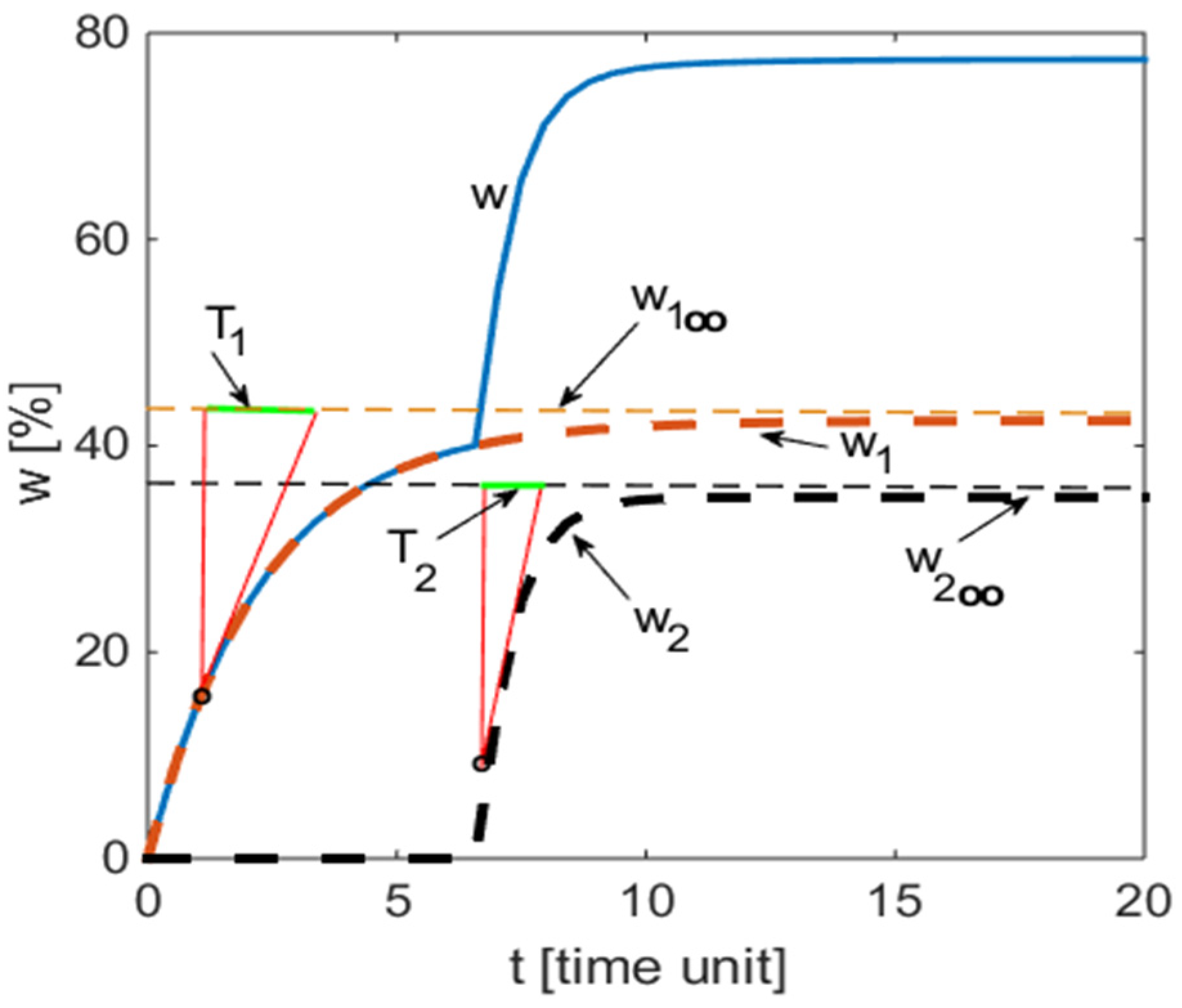
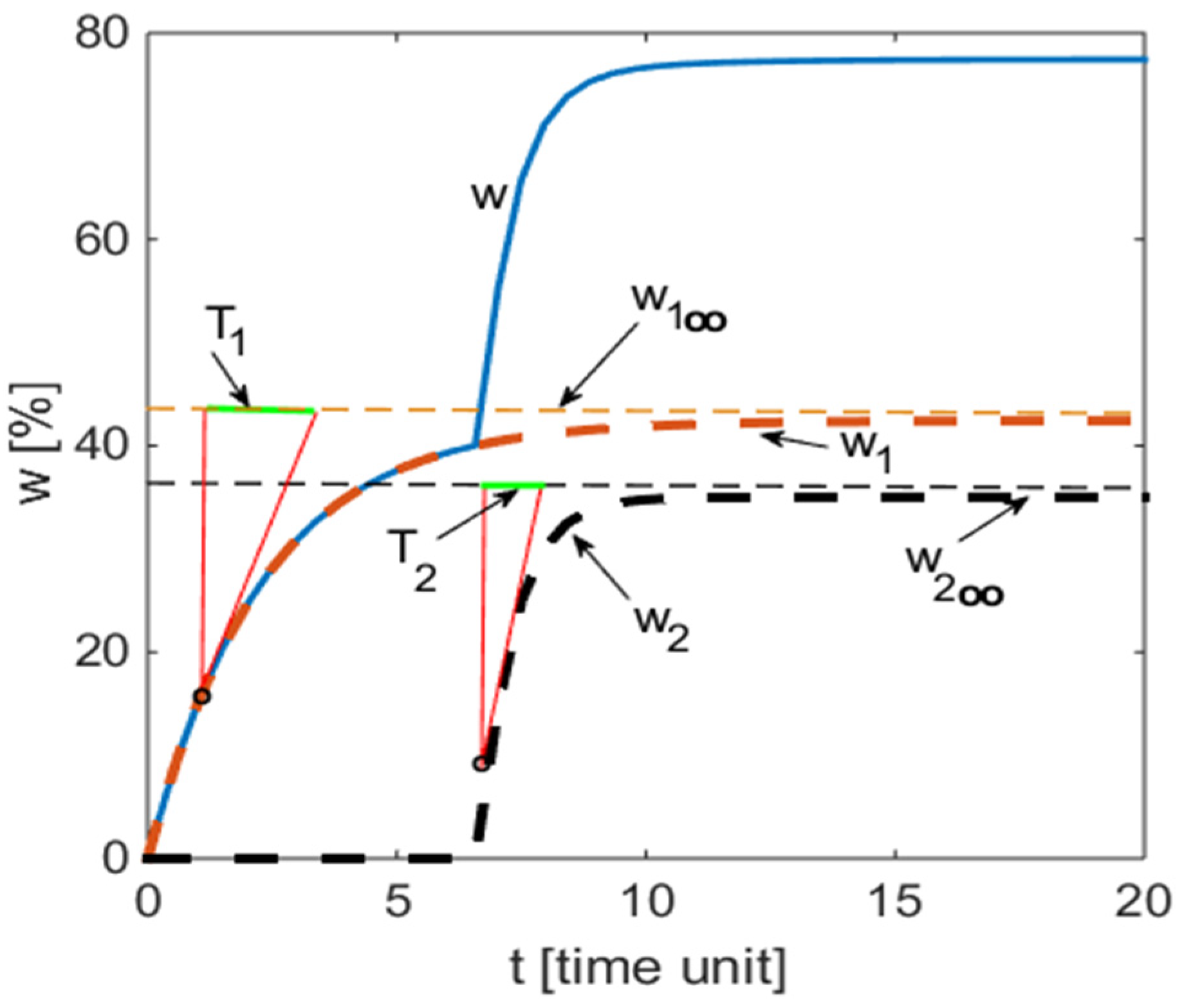
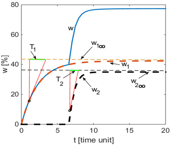
3.2.4. Remarks on the Proposed Model
- (i)
- The horizontal asymptote is drawn with an approximation for the first arc of the w(t) graph. The result is.
- (ii)
- On the asymptote thus drawn, a subtangent is delimited by taking a point on the first arc. The length of the subtangent represents the value of T1.
- (iii)
- The angular point between the first and second arc is identified. The abscissa of this point represents the value of time delayτ.
- (iv)
- The horizontal asymptote is drawn for the second arc. Its value corresponds to. The value of is obtained by subtracting from this sum the value obtained under point (i).
- (v)
- On the asymptote referred to in point (iv), a subtangent is delimited by considering a point on the second arc. Its length represents the value of T2.
4. Conclusions
Author Contributions
Funding
Institutional Review Board Statement
Informed Consent Statement
Data Availability Statement
Conflicts of Interest
References
- Antelava, A.; Constantinou, A.; Bumajdad, A.; Manos, G.; Dewil, R.; Al-Salem, S.M. Identification of Commercial Oxo-Biodegradable Plastics: Study of UV Induced Degradation in an effort to Combat Plastic Waste Accumulation. J. Polym. Environ. 2020, 28, 2364–2376. [Google Scholar] [CrossRef]
- Bhagwat, G.; Gray, K.; Wilson, S.P.; Muniyasamy, S.; Vincent, S.G.T.; Bush, R.; Palanisami, T. Benchmarking Bioplastics: A Natural Step towards a Sustainable Future. J. Polym. Environ. 2020, 28, 3055–3075. [Google Scholar] [CrossRef]
- Morro, A.; Catalina, F.; Sanchez-Leon, E.; Abrusci, C. Photodegradation and Biodegradation Under Thermophile Conditions of Mulching Films Based on Poly(Butylene Adipate-co-Terephtalate) and Its Blend with Poly(Lactic Acid). J. Polym. Environ. 2019, 27, 352–363. [Google Scholar] [CrossRef]
- Lebreton, L.; Slat, B.; Ferrari, F.; Sainte-Rose, B.; Aitken, J.; Marthouse, R.; Hajbane, S.; Cunsolo, S.; Schwarz, A.; Levivier, A.; et al. Evidence that the Great Pacific Garbage Patch is rapidly accumulating plastic. Sci. Rep. 2018, 8, 4666. [Google Scholar] [CrossRef]
- Steer, M.; Thompson, R.C. Plastics and Microplastics: Impacts in the Marine Environment. In Mare Plasticum-Plastic Sea; Streit-Bianchi, M., Cimadevila, M., Trettnak, W., Eds.; Springer Nature Switzerland AG: Basel, Switzerland, 2020; pp. 49–73. [Google Scholar]
- Tiwari, N.; Santhiya, D.; Sharma, J.G. Microbial remediation of micro-nano plastics: Current knowledge and future trends. Environ. Pollut. 2020, 265, 115044. [Google Scholar] [CrossRef] [PubMed]
- Wang, N.; Sun, X.; Zhao, Q.; Wang, P. Treatment of polymer-flooding wastewater by a modified coal fly ash-catalysed Fenton-like process with microwave pre-enhancement: System parameters, kinetics, and proposed mechanism. Chem. Eng. J. 2021, 406, 126734. [Google Scholar] [CrossRef]
- Folino, A.; Karageorgiou, A.; Calabro, P.S.; Komilis, D. Biodegradation of Waste Bioplastics in Natural and Industrial Environments: A Review. Sustainability 2020, 12, 6030. [Google Scholar] [CrossRef]
- Bhatt, P.; Gangola, S.; Bhandari, G.; Zhang, W.; Maithani, D.; Mishra, S.; Chen, S. New insights into the degradation of synthetic pollutants in contaminated environments. Chemosphere 2021, 268, 128827. [Google Scholar] [CrossRef]
- Mishra, S.; Lin, Z.; Pang, S.; Zang, W.; Bhatt, P.; Chen, S. Advanced Technologies for the Characterization of Xenibiotic-Degrading Microorganisms and Microbial Communities. Front. Bioeng. Biotechnol. 2021, 9, 632059. [Google Scholar] [CrossRef]
- Diaz-Mendoza, C.; Mouthon-Bello, J.; Perez-Herrera, N.L.; Escobar-Diaz, S.M. Plastics and microplastics, effects on marine coastal areas: A review. Environ. Sci. Pollut. Res. 2020, 27, 39913–39922. [Google Scholar] [CrossRef] [PubMed]
- Degli Innocenti, F.; Breton, T. Intrinsic Biodegradability of Plastics and Ecological Risk in the case of Leakage. ACS Sustain. Chem. Eng. 2020, 8, 9239–9249. [Google Scholar] [CrossRef]
- Reichert, C.L.; Bugnicourt, E.; Coltelli, M.B.; Cinelli, P.; Lazzeri, A.; Canesi, I.; Braca, F.; Monje Martinez, B.; Alonso, R.; Agostinis, L.; et al. Bio-Based Packaging: Materials, Modifications, Industrial Applications and Sustainability. Polymers 2020, 12, 1558. [Google Scholar] [CrossRef] [PubMed]
- Mazur, K.; Singh, R.; Friedrich, R.P.; Genc, H.; Unterweger, H.; Salasinska, K.; Bogucki, R.; Kuciel, S.; Cicha, I. The Effect of Antibacterial Particle Incorporation on the Mechanical Properties, Biodegradability and Biocompatibility of PLA and PHBV Composites. Macromol. Mater. Eng. 2020, 305, 2000244. [Google Scholar] [CrossRef]
- Paek, K.H.; Im, S.G. Synthesis of a series of biodegradable poly(butylene carbonate-co-isophtalate) random copolymers derived from CO2-based comonomers for sustainable packing. Green Chem. 2020, 22, 4570–4580. [Google Scholar] [CrossRef]
- Moraczewski, K.; Malinowski, R.; Sikorska, W.; Karasiewicz, T.; Stepczynska, M.; Jagodzinski, B.; Rytlewski, P. Composting of Polylactide Containing Natural Anti-aging Compounds of Plant Origin. Polymers 2019, 11, 1582. [Google Scholar] [CrossRef] [PubMed]
- Kumar, M.; Rathour, R.; Singh, R.; Sun, Y.Q.; Pandey, A.; Gnansounou, E.; Lin, K.Y.A.; Tsang, D.C.W.; Thakur, I.S. Bacterial polyhydroxyalkanoates: Opportunities, challenges, and prospects. J. Clean. Prod. 2020, 263, 121500. [Google Scholar] [CrossRef]
- Nevoralova, M.; Koutny, M.; Ujcic, A.; Stary, Z.; Sera, J.; Vlokova, H.; Slouf, M.; Fortelny, I.; Krulis, Z. Structure Characterization and Biodegradation Rate of Poly(ε-caprolactone)/Starch Blends. Front. Mater. 2020, 7, 141. [Google Scholar] [CrossRef]
- Bhatt, P.; Verma, A.; Gangola, S.; Bhandari, G.; Chen, S. Microbial glycoconjugates in organic pollutant bioremediation: Recent advances and applications. Microb. Cell Fact. 2021, 20, 72. [Google Scholar] [CrossRef]
- Grandtner, G.; Joly, N.; Cavrot, J.P.; Granet, R.; Bandur, G.; Rusnac, L.M.; Martin, P.; Krausz, P. Synthesis of Plastic Films from Inulin by Acylation. Polym. Bull. 2005, 55, 235–241. [Google Scholar] [CrossRef]
- Rusu, G.; Joly, N.; Bandur, G.; Manoviciu, I.; Martin, P.; Rusnac, L. Inulin mixed esters crosslinked with 2-ethyl-hexyl-acrylate and their promotion as bio-based materials. J. Polym. Res. 2011, 18, 2495–2504. [Google Scholar] [CrossRef]
- Salagean, I.R.; Bandur, G.; Martin, P.; Lequart, V.; Rusnac, L.M. Synthesis and Characterization of Some Carbohydrate Based Monomers. Rev. Chim. 2009, 60, 905–908. [Google Scholar]
- Pană, A.M.; Rusnac, L.M.; Bandur, G.; Şişu, E.; Badea, V.; Silion, M. Synthesis and characterization of new glycopolymers based on monosaccharides and maleic anhydride. I. Glucose derivatives. Mat. Plast. 2010, 47, 28–34. [Google Scholar]
- Pană, A.M.; Rusnac, L.M.; Bandur, G.; Deleanu, C.; Bălan, M.; Silion, M. Synthesis and characterization of new glycopolymers based on monosaccharides and maleic anhydride. II. Mannose derivatives. Mat. Plast. 2010, 47, 299–305. [Google Scholar]
- Ştefan, L.M.; Pană, A.M.; Pascariu, M.C.; Şişu, E.; Bandur, G.; Rusnac, L.M. Synthesis and characterization of a new methacrylic glycomonomer. Turk. J. Chem. 2011, 35, 757–767. [Google Scholar]
- Pană, A.M.; Gherman, V.; Sfîrloagă, P.; Bandur, G.; Ştefan, L.M.; Popa, M.; Rusnac, L.M. Thermal stability and biodegradation of novel D-mannose based glycopolymers. Polym. Test. 2012, 31, 384–392. [Google Scholar] [CrossRef]
- Ştefan, L.M.; Pană, A.M.; Bandur, G.; Martin, P.; Popa, M.; Rusnac, L.M. Thermal analysis of new glycopolymers derived from monosaccharides. J. Therm. Anal. Calorim. 2013, 111, 789–797. [Google Scholar] [CrossRef]
- Pană, A.M.; Ştefan, L.M.; Bandur, G.; Sfîrloagă, P.; Gherman, V.; Silion, M.; Popa, M.; Rusnac, L.M. Novel glycopolymers based on D-mannose and methacrylates. Synthesis, thermal stability and biodegradability testing. J. Polym. Environ. 2013, 21, 981–994. [Google Scholar] [CrossRef]
- Pana, A.M.; Gherman, V.; Sfirloaga, P.; Rusu, G.; Bandur, G.; Popa, M.; Rusnac, L.M.; Dumitrel, G.A. Biodegradation studies on new glycopolymers derived from oligomeric D-mannose itaconates and 2-hydroxypropyl acrylate. Polym. Degrad. Stabil. 2019, 167, 210–216. [Google Scholar] [CrossRef]
- Pană, A.M.; Dumitrel, G.A.; Ordodi, L.V.; Gherman, V.; Rusu, G.; Stănescu, A.; Rusnac, L.M. Preliminary study on polymer degradation using an aerobic reactor. J. Environ. Prot. Ecol. 2019, 20, 1951–1959. [Google Scholar]
- Pană, A.M.; Ordodi, L.V.; Gherman, V.; Rusu, G.; Dumitrel, G.A. Efficiency of an aerobic bioreactor for glycopolymer biodegradation. In Proceedings of the 2019 International Conference on ENERGY and ENVIRONMENT (CIEM), Timisoara, Romania, 17–18 October 2019; pp. 129–132. [Google Scholar]
- Pană, A.M.; Ordodi, L.V.; Rusu, G.; Gherman, V.; Bandur, G.; Rusnac, L.M.; Dumitrel, G.A. Biodegradation pattern of glycopolymer based on D-mannose oligomer and hydroxypropyl acrylate. Polymers 2020, 12, 704. [Google Scholar] [CrossRef] [PubMed]
- Taras, S.; Woinaroschy, A. An interactive multi-objective optimization framework for sustainable design of bioprocesses. Comput. Chem. Eng. 2012, 43, 10–22. [Google Scholar] [CrossRef]
- Belforte, G.; Dabbene, F.; Gay, P. LPV approximation of distributed parameter systems in environmental modelling. Environ. Modell. Softw. 2005, 20, 1063–1070. [Google Scholar] [CrossRef]
- Pyakillya, B.I. A distributed parameter model approximation method. In Proceedings of the 5th International Workshop on Computer Science and Engineering: Information Processing and Control Engineering, WCSE 2015-IPCE, Russia, Moscow, 15–17 April 2015; pp. 1–6. [Google Scholar]
- Van de Wouwer, A. Modeling and Simulation of Distributed Parameter Systems, Control systems, robotics and automation. In Encyclopedia of Life Support Systems (EOLSS); Unbehauen, H., Ed.; Eolss Publishers Co Ltd.: Oxford, UK, 2009; Volume IV, pp. 85–109. [Google Scholar]
- Lee, H.; Maravelias, C.T. Combining advantages of discrete-and continuous-time scheduling models: Part 2. Systematic methods for determining model parameters. Comput. Chem. Eng. 2019, 128, 557–573. [Google Scholar] [CrossRef]
- Strik, D.; Domnanovich, A.M.; Zani, L.; Braun, R.; Holubar, P. Prediction of trace compounds in biogas from anaerobic digestion using MATLAB Neural Network Toolbox. Environ. Modell. Softw. 2005, 20, 803–810. [Google Scholar] [CrossRef]
- Scheffold, L.; Finkler, T.; Piechottka, U. Gray-Box system modeling using symbolic regression and nonlinear model predictive control of a semibatch polymerization. Comput. Chem. Eng. 2021, 146, 107204. [Google Scholar] [CrossRef]
- Benzekry, S.; Lamont, C.; Beheshti, A.; Tracz, A.; Ebos, J.M.L.; Hlatky, L.; Hahnfeldt, P. Classical Mathematical Models for Description and Prediction of Experimental Tumor Growth. PLoS Comput. Biol. 2014, 10, e1003800. [Google Scholar] [CrossRef]
- Angelucci, D.M.; Annesini, M.C.; Daugulis, A.J.; Tomei, M.C. Polymer extraction and ex situ biodegradation of xenobiotic contaminated soil: Modelling of the process concept. J. Environ. Manag. 2019, 230, 63–74. [Google Scholar] [CrossRef]
- Tashiro, T.; Yoshimura, F. A neo-logistic model for the growth of bacteria. Physica A 2019, 525, 199–215. [Google Scholar] [CrossRef]
- Gordon, S.H.; Imam, S.H.; Shogren, R.L.; Govind, N.S.; Greene, R.V. A semiempirical model for predicting biodegradation profiles of individual polymers in starch–poly-(β-hydroxybutyrate-co-β-hydroxyvalerate) bioplastic. J. Appl. Polym. Sci. 2000, 76, 1767–1776. [Google Scholar] [CrossRef]
- Jackson, E.K.; Roberts, W.; Nelsen, B.; Williams, G.P.; Nelson, E.J.; Ames, D.P. Introductory overview: Error metrics for hydrological modelling—A review of common practices and an open source library to facilitate use and adoption. Environ. Modell. Softw. 2019, 119, 32–48. [Google Scholar] [CrossRef]
- Dahleh, M.A. Robust Control: Theory, Computation and Design, Ch. 19. In Control System Advanced Methods, 2nd ed.; Levine, W.S., Ed.; CRC Press: Boca Raton, FL, USA, 2011. [Google Scholar]
- Isidori, A.; Marconi, L. Nonlinear Output Regulation, Ch. 48. In Control System Advanced Methods, 2nd ed.; Levine, W.S., Ed.; CRC Press: Boca Raton, FL, USA, 2011. [Google Scholar]






| t (day) | 0 | 1 | 2 | 3 | 6 | 7 | 8 | 9 | 12 |
| w(t) (%) | 0 | 15.6630 | 23.3730 | 31.8670 | 39.1570 | 55.4520 | 71.5660 | 76.6870 | 79.6870 |
| CW (%) | 0 | 14.9836 | 24.6763 | 30.9465 | 39.3237 | 55.4341 | 71.7328 | 77.2042 | 77.2042 |
| ΔW (%) | 0 | 0.6794 | 1.3033 | 0.9205 | −0.1667 | 0.0179 | −0.1668 | −0.5172 | −0.5172 |
| t (day) | 13 | 14 | 15 | 16 | 19 | 20 | 22 | 23 | |
| w(t) (%) | 76.9280 | 77.1080 | 77.2290 | 77.4100 | 77.4700 | 77.7110 | 77.7110 | 77.8740 | |
| CW (%) | 77.2928 | 77.3466 | 77.3807 | 77.4026 | 77.4317 | 77.4355 | 77.4396 | 77.4406 | |
| ΔW (%) | −0.3648 | −0.2386 | −0.1517 | 0.0074 | 0.0383 | 0.2755 | 0.2714 | 0.4334 |
| Model | Statistical Parameters | ||||
|---|---|---|---|---|---|
| Dispersion D | Root-Mean Square Deviation RMSD | Standard Deviation SD | Determination Coefficient R2 | Correlation Coefficient R | |
| (2) | 0.456946 | 0.430067 | 0.67598 | 0.9164 | 0.9670 |
| (3) | 0.343164 | 0.322968 | 0.58579 | 0.9713 | 0.9753 |
| (4) | 0.26623 | 0.241527 | 0.50658 | 1.0040 | 0.9818 |
| (6), respective (12) | 0.2525 | 0.2376 | 0.5024 | 1.0010 | 0.9998 |
| t (day) | 0 | 2 | 3 | 6 | 7 | 8 | 9 | 10 |
| w(t) (%) | 0 | 33.339 | 34.055 | 34.1870 | 34.621 | 35.267 | 36.797 | 36.8 |
| CW (%) | 0 | 33.0208 | 34.8129 | 35.4366 | 35.4450 | 35.4472 | 35.4478 | 35.4479 |
| ΔW (%) | 0 | 0.3182 | −0.7579 | −1.2496 | −0.8240 | −0.1802 | 1.3492 | 1.3521 |
| t(day) | 14 | 15 | 16 | 17 | 20 | 21 | 22 | 23 |
| w(t) (%) | 41.924 | 42 | 43.581 | 52.419 | 55.4 | 55.4 | 60.17 | 60.647 |
| CW (%) | 40.6618 | 43.5446 | 46.2370 | 48.7515 | 55.3413 | 57.2543 | 59.0409 | 60.7095 |
| ΔW (%) | 1.2622 | −1.5446 | −2.6560 | 3.6675 | 0.0587 | −1.8543 | 1.1291 | −0.0625 |
| Model | Statistical Parameters | ||||
| Root-Mean Square Error RMSE | Mean Square Error SD | Determination Coefficient R2 | Correlation Coefficient R | Relative Absolute Error rAE | |
| (4) | 1.5534 | 2.4133 | 0.9987 | 0.9942 | 0.0015 |
| (6), respective (12) | 1.4959 | 2.2376 | 0.9892 | 0.9945 | 0.0188 |
| t (day) | 0 | 25 | 28 | 50 | 70 | 75 | 99 | 148 | 363 |
|---|---|---|---|---|---|---|---|---|---|
| mw (%) | 0 | 16.5 | 18.0 | 19.1 | 22.0 | 23.33 | 28.33 | 55.0 | 79.33 |
| CW (%) | 0 | 16.4114 | 17.3055 | 20.9303 | 22.035 | 22.1747 | 28.33 | 55.0 | 79.33 |
| ΔW (%) | 0 | 0.0886 | 0.6945 | −1.8303 | −0.0355 | 1.1553 | 0.0 | 0.0 | 0.0 |
| Model | Statistical Parameters | ||||
|---|---|---|---|---|---|
| Root-Mean Square Error RMSE | Mean Square Error SD | Determination Coefficient R2 | Correlation Coefficient R | Relative Absolute Error rAE | |
| (6), respective (14) | 1.7816 | 3.1739 | 0.9985 | 0.9975 | 0.0172 |
Publisher’s Note: MDPI stays neutral with regard to jurisdictional claims in published maps and institutional affiliations. |
© 2021 by the authors. Licensee MDPI, Basel, Switzerland. This article is an open access article distributed under the terms and conditions of the Creative Commons Attribution (CC BY) license (https://creativecommons.org/licenses/by/4.0/).
Share and Cite
Dragomir, T.-L.; Pană, A.-M.; Ordodi, V.; Gherman, V.; Dumitrel, G.-A.; Nanu, S. An Empirical Model for Predicting Biodegradation Profiles of Glycopolymers. Polymers 2021, 13, 1819. https://doi.org/10.3390/polym13111819
Dragomir T-L, Pană A-M, Ordodi V, Gherman V, Dumitrel G-A, Nanu S. An Empirical Model for Predicting Biodegradation Profiles of Glycopolymers. Polymers. 2021; 13(11):1819. https://doi.org/10.3390/polym13111819
Chicago/Turabian StyleDragomir, Toma-Leonida, Ana-Maria Pană, Valentin Ordodi, Vasile Gherman, Gabriela-Alina Dumitrel, and Sorin Nanu. 2021. "An Empirical Model for Predicting Biodegradation Profiles of Glycopolymers" Polymers 13, no. 11: 1819. https://doi.org/10.3390/polym13111819
APA StyleDragomir, T.-L., Pană, A.-M., Ordodi, V., Gherman, V., Dumitrel, G.-A., & Nanu, S. (2021). An Empirical Model for Predicting Biodegradation Profiles of Glycopolymers. Polymers, 13(11), 1819. https://doi.org/10.3390/polym13111819

