Improved Energy Storage Performance of All-Organic Composite Dielectric via Constructing Sandwich Structure
Abstract
1. Introduction
2. Experimental Section
2.1. Material and Methods
2.2. Microstructure and Properties Characterization
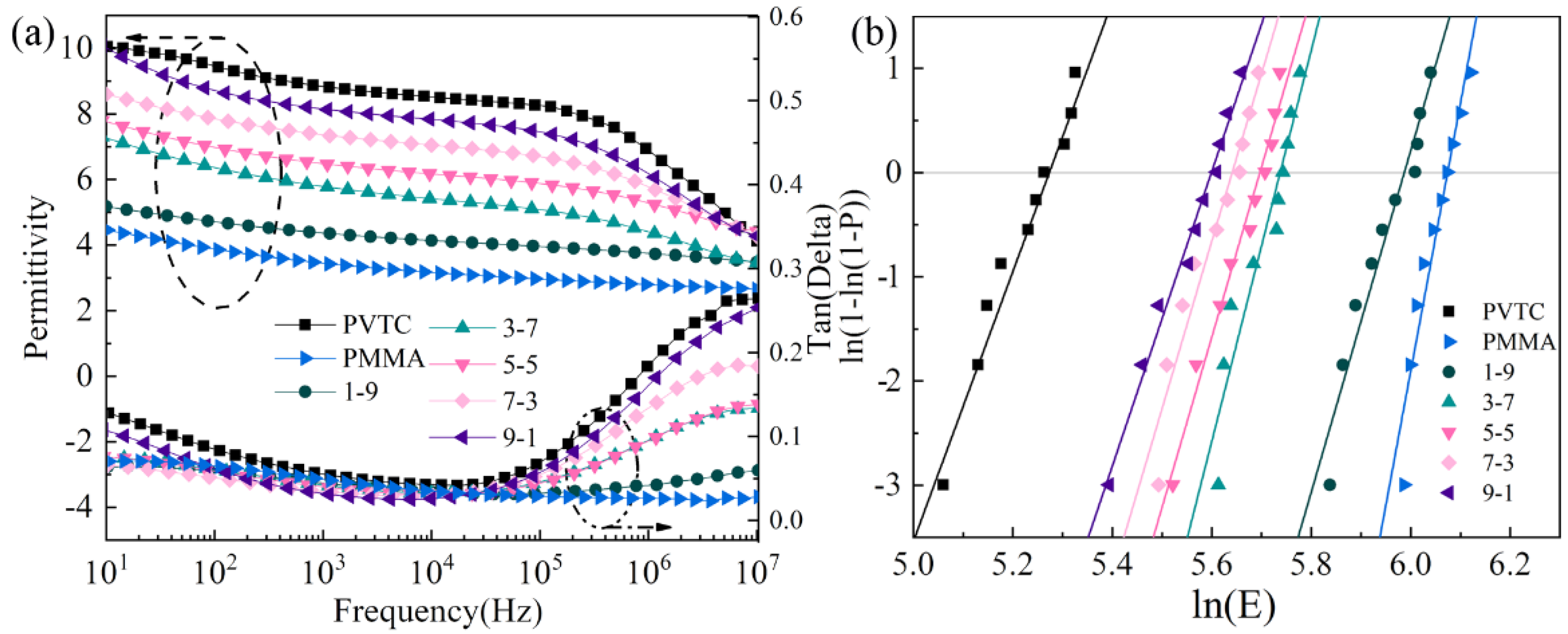
3. Results and Discussion
4. Conclusions
Author Contributions
Funding
Acknowledgments
Conflicts of Interest
References
- Tan, D.Q. The search for enhanced dielectric strength of polymer-based dielectrics: A focused review on polymer nanocomposites. J. Appl. Polym. Sci. 2020, 137, 49379. [Google Scholar] [CrossRef]
- Huang, X.; Sun, B.; Zhu, Y.; Li, S.; Jiang, P. High-k polymer nanocomposites with 1D filler for dielectric and energy storage applications. Prog. Mater. Sci. 2019, 100, 187–225. [Google Scholar] [CrossRef]
- Qi, L.; Petersson, L.; Liu, T. Review of Recent Activities on Dielectric Films for Capacitor Applications. J. Int. Counc. Electr. Eng. 2014, 4, 1–6. [Google Scholar] [CrossRef]
- Barshaw, E.J.; White, J.; Chait, M.J.; Cornette, J.B.; Bustamante, J.; Folli, F.; Biltchick, D.; Borelli, G.; Picci, G.; Rabuffi, M. High Energy Density (HED) Biaxially-Oriented Poly-Propylene (BOPP) Capacitors for Pulse Power Applications. IEEE Trans. Magn. 2006, 43, 223–225. [Google Scholar] [CrossRef]
- Hao, X. A review on the dielectric materials for high energy-storage application. J. Adv. Dielectr. 2013, 3, 1–14. [Google Scholar] [CrossRef]
- Huan, T.D.; Boggs, S.; Teyssedre, G.; Laurent, C.; Cakmak, M.; Kumar, S.; Ramprasad, R.; Tran, H.D. Advanced polymeric dielectrics for high energy density applications. Prog. Mater. Sci. 2016, 83, 236–269. [Google Scholar] [CrossRef]
- Fan, B.; Zhou, M.; Zhang, C.; He, D.; Bai, J. Polymer-based materials for achieving high energy density film capacitors. Prog. Polym. Sci. 2019, 97, 101143. [Google Scholar] [CrossRef]
- Bouharras, F.E.; Raihane, M.; Ameduri, B. Recent progress on core-shell structured BaTiO3@polymer/fluorinated polymers nanocomposites for high energy storage: Synthesis, dielectric properties and applications. Prog. Mater. Sci. 2020, 113, 100670. [Google Scholar] [CrossRef]
- Dang, Z.-M.; Yuan, J.; Yao, S.-H.; Liao, R.-J. Flexible Nanodielectric Materials with High Permittivity for Power Energy Storage. Adv. Mater. 2013, 25, 6334–6365. [Google Scholar] [CrossRef]
- Zhou, Z.; Carr, J.; Mackey, M.; Yin, K.; Schuele, D.; Zhu, L.; Baer, E. Interphase/interface modification on the dielectric properties of polycarbonate/poly(vinylidene fluoride-co-hexafluoropropylene) multilayer films for high-energy density capacitors. J. Polym. Sci. Part B 2013, 51, 978–991. [Google Scholar] [CrossRef]
- Thakur, V.K.; Gupta, R.K. Recent Progress on Ferroelectric Polymer-Based Nanocomposites for High Energy Density Capacitors: Synthesis, Dielectric Properties, and Future Aspects. Chem. Rev. 2016, 116, 4260–4317. [Google Scholar]
- Wei, J.-J.; Zhu, L. Intrinsic polymer dielectrics for high energy density and low loss electric energy storage. Prog. Polym. Sci. 2020, 106, 101254. [Google Scholar] [CrossRef]
- Feng, M.; Zhang, T.; Zhou, G.; Zhang, T.; Feng, Y.; Chi, Q.; Lei, Q. Enhanced Energy Storage Characteristics in PVDF-Based Nanodielectrics with Core-Shell Structured and Optimized Shape Fillers. IEEE Access 2020, 8, 81542–81550. [Google Scholar] [CrossRef]
- Guo, M.; Jiang, J.; Shen, Z.; Lin, Y.; Nan, C.-W.; Shen, Y. High-Energy-Density Ferroelectric Polymer Nanocomposites for Capacitive Energy Storage: Enhanced Breakdown Strength and Improved Discharge Efficiency. Mater. Today 2019, 29, 49–67. [Google Scholar] [CrossRef]
- Feng, Y.; Zhou, Y.; Zhang, T.; Zhang, C.; Zhang, Y.; Zhang, Y.; Chen, Q.; Chi, Q. Ultrahigh discharge efficiency and excellent energy density in oriented core-shell nanofiber-polyetherimide composites. Energy Storage Mater. 2020, 25, 180–192. [Google Scholar] [CrossRef]
- Liu, G.; Zhang, T.; Feng, Y.; Zhang, Y.; Zhang, C.; Zhang, Y.; Wang, X.; Chi, Q.; Chen, Q.; Lei, Q. Sandwich-structured polymers with electrospun boron nitrides layers as high-temperature energy storage dielectrics. Chem. Eng. J. 2020, 389, 124443. [Google Scholar] [CrossRef]
- Kuang, D.; Li, R.; Pei, J. Polyamide 11/Poly(vinylidene fluoride)/Vinyl Acetate-Maleic Anhydride Copolymer as Novel Blends Flexible Materials for Capacitors. Polymers 2014, 6, 2146–2156. [Google Scholar] [CrossRef]
- Yang, B.; Qu, P.; Peng, X.; Liu, X. High breakdown strength and low loss of polystyrene-block-poly(methyl methacrylate)/Poly(vinylidene fluoride) composites for energy storage application. Polym. Plast. Technol. Mater. 2018, 58, 1245–1252. [Google Scholar] [CrossRef]
- Tseng, J.-K.; Yin, K.; Zhang, Z.; Mackey, M.; Baer, E.; Zhu, L. Morphological effects on dielectric properties of poly(vinylidene fluoride-co-hexafluoropropylene) blends and multilayer films. Polymers 2019, 172, 221–230. [Google Scholar] [CrossRef]
- Meng, Q.; Li, W.; Zheng, Y.; Zhang, Z. Effect of poly(methyl methacrylate) addition on the dielectric and energy storage properties of poly(vinylidene fluoride). J. Appl. Polym. Sci. 2010, 116, 2674–2684. [Google Scholar] [CrossRef]
- Mohamadi, S.; Sharifi-Sanjani, N.; Foyouhi, A. Evaluation of graphene nanosheets influence on the physical properties of PVDF/PMMA blend. J. Polym. Res. 2012, 20. [Google Scholar] [CrossRef]
- Baer, E.; Zhu, L. 50th Anniversary Perspective: Dielectric Phenomena in Polymers and Multilayered Dielectric Films. Macromolecules 2017, 50, 2239–2256. [Google Scholar] [CrossRef]
- Chi, Q.; Zhou, Y.; Yin, C.; Zhang, Y.; Zhang, T.; Zhang, T.; Feng, Y.; Zhang, Y.; Chen, Q. A blended binary composite of poly(vinylidene fluoride) and poly(methyl methacrylate) exhibiting excellent energy storage performances. J. Mater. Chem. C 2019, 7, 14148–14158. [Google Scholar] [CrossRef]
- Wang, C.; Pilania, G.; Boggs, S.; Kumar, S.; Breneman, C.; Ramprasad, R. Computational strategies for polymer dielectrics design. Polymer 2014, 55, 979–988. [Google Scholar] [CrossRef]
- Luo, H.; Zhou, X.; Ellingford, C.; Zhang, Y.; Chen, S.; Zhou, K.; Zhang, D.; Bowen, C.R.; Wan, C. Interface design for high energy density polymer nanocomposites. Chem. Soc. Rev. 2019, 48, 4424–4465. [Google Scholar] [CrossRef]
- Tseng, J.-K.; Tang, S.; Zhou, Z.; Mackey, M.; Carr, J.M.; Mu, R.; Flandin, L.; Schuele, D.E.; Baer, E.; Zhu, L. Interfacial polarization and layer thickness effect on electrical insulation in multilayered polysulfone/poly(vinylidene fluoride) films. Polymer 2014, 55, 8–14. [Google Scholar] [CrossRef]
- Zhang, L.; Shan, X.; Bass, P.; Tong, Y.; Rolin, T.D.; Hill, C.W.; Brewer, J.C.; Tucker, D.S.; Cheng, Z.-Y. Process and Microstructure to Achieve Ultra-high Dielectric Constant in Ceramic-Polymer Composites. Sci. Rep. 2016, 6, 35763. [Google Scholar] [CrossRef]
- Fan, Q.; Liu, M.; Ma, C.; Wang, L.; Ren, S.; Lu, L.; Lou, X.; Jia, C.-L. Significantly enhanced energy storage density with superior thermal stability by optimizing Ba(Zr0.15Ti0.85)O3/Ba(Zr0.35Ti0.65)O3 multilayer structure. Nano Energy 2018, 51, 539–545. [Google Scholar] [CrossRef]
- Lean, M.H.; Chu, W.-P.L. Dynamic charge mapping in layered polymer films. IEEE Trans. Dielectr. Electr. Insul. 2014, 21, 1319–1329. [Google Scholar] [CrossRef]
- Mackey, M.; Flandin, L.; Hiltner, A.; Baer, E. Confined crystallization of PVDF and a PVDF-TFE copolymer in nanolayered films. J. Polym. Sci. Part B 2011, 49, 1750–1761. [Google Scholar] [CrossRef]
- Mackey, M.; Schuele, D.E.; Zhu, L.; Baer, E. Layer confinement effect on charge migration in polycarbonate/poly(vinylidene fluorid-co-hexafluoropropylene) multilayered films. J. Appl. Phys. 2012, 111, 113702. [Google Scholar] [CrossRef]
- Mackey, M.; Schuele, D.E.; Zhu, L.; Flandin, L.; Wolak, M.A.; Shirk, J.S.; Hiltner, A.; Baer, E. Reduction of Dielectric Hysteresis in Multilayered Films via Nanoconfinement. Macromolecules 2012, 45, 1954–1962. [Google Scholar] [CrossRef]
- Luo, H.; Zhang, D.; Wang, L.; Chen, C.; Zhou, J.; Zhou, K. Highly enhanced dielectric strength and energy storage density in hydantoin@BaTiO3–P(VDF-HFP) composites with a sandwich-structure. RSC Adv. 2015, 5, 52809–52816. [Google Scholar] [CrossRef]
- Li, Q.; Liu, F.; Yang, T.; Gadinski, M.R.; Zhang, G.; Chen, L.-Q.; Wang, Q. Sandwich-structured polymer nanocomposites with high energy density and great charge-discharge efficiency at elevated temperatures. Proc. Natl. Acad. Sci. USA 2016, 113, 9995–10000. [Google Scholar] [CrossRef]
- Shi, Z.; Wang, J.; Mao, F.; Yang, C.; Zhang, C.; Fan, R. Significantly improved dielectric performances of sandwich-structured polymer composites induced by alternating positive-k and negative-k layers. J. Mater. Chem. A 2017, 5, 14575–14582. [Google Scholar] [CrossRef]
- Wang, Y.; Hou, Y.; Deng, Y. Effects of interfaces between adjacent layers on breakdown strength and energy density in sandwich-structured polymer composites. Compos. Sci. Technol. 2017, 145, 71–77. [Google Scholar] [CrossRef]
- Cui, Y.; Zhang, T.; Feng, Y.; Zhang, C.; Chi, Q.; Zhang, Y.; Chen, Q.; Wang, X.; Lei, Q. Excellent energy storage density and efficiency in blend polymer-based composites by design of core-shell structured inorganic fibers and sandwich structured films. Compos. Part B 2019, 177, 107429. [Google Scholar] [CrossRef]
- Pei, J.-Y.; Zha, J.-W.; Zhou, W.; Wang, S.-J.; Zhong, S.-L.; Yin, L.-J.; Zheng, M.-S.; Cai, H.-W.; Dang, Z.-M. Enhancement of breakdown strength of multilayer polymer film through electric field redistribution and defect modification. Appl. Phys. Lett. 2019, 114, 103702. [Google Scholar] [CrossRef]
- Zhang, Y.; Chi, Q.; Liu, L.; Zhang, T.; Chen, C.; Wang, X.; Lei, Q. Enhanced electric polarization and breakdown strength in the all-organic sandwich-structured poly(vinylidene fluoride)-based dielectric film for high energy density capacitor. APL Mater. 2017, 5, 076109. [Google Scholar] [CrossRef]
- Lu, X.; Shen, J.; Zhang, L.; Xu, Z.; Cheng, Z.-Y. Dielectric property and ac conductivity of P(VDF-CTFE)-PLZST polymer-ceramic composite films. Ceram. Int. 2019, 45, 8979–8987. [Google Scholar] [CrossRef]
- Lu, X.; Zou, X.; Shen, J.; Zhang, L.; Jin, L.; Cheng, Z.-Y. High energy density with ultrahigh discharging efficiency obtained in ceramic-polymer nanocomposites using a non-ferroelectric polar polymer as matrix. Nano Energy 2020, 70, 104551. [Google Scholar] [CrossRef]
- Liu, S.; Xue, S.; Zhang, W.; Zhai, J.; Chen, G. Significantly enhanced dielectric property in PVDF nanocomposites flexible films through a small loading of surface-hydroxylated Ba0.6Sr0.4TiO3nanotubes. J. Mater. Chem. A 2014, 2, 18040–18046. [Google Scholar] [CrossRef]
- Zhang, Y.; Zhang, C.; Feng, Y.; Zhang, T.; Chen, Q.; Chi, Q.; Liu, L.; Wang, X.; Lei, Q. Energy storage enhancement of P(VDF-TrFE-CFE)-based composites with double-shell structured BZCT nanofibers of parallel and orthogonal configurations. Nano Energy 2019, 66, 104195. [Google Scholar] [CrossRef]
- Zhang, Y.; Zhang, C.; Feng, Y.; Zhang, T.; Chen, Q.; Chi, Q.; Liu, L.; Li, G.; Cui, Y.; Wang, X.; et al. Excellent energy storage performance and thermal property of polymer-based composite induced by multifunctional one-dimensional nanofibers oriented in-plane direction. Nano Energy 2019, 56, 138–150. [Google Scholar] [CrossRef]
- Elashmawi, I.; Hakeem, N. Effect of PMMA addition on characterization and morphology of PVDF. Polym. Eng. Sci. 2008, 48, 895–901. [Google Scholar] [CrossRef]
- Gao, Y.; Liu, H.; Yao, Z.; Hao, H.; Yu, Z.; Cao, M. Effect of layered structure on dielectric properties and energy storage density in xBa0.7Sr0.3TiO3-SrTiO3 multilayer ceramics. Ceram. Int. 2017, 43, 8418–8423. [Google Scholar] [CrossRef]
- Chen, X.; Tseng, J.K.; Treufeld, I.; Mackey, M.; Schuele, D.E.; Li, R.; Fukuto, M.; Baer, E.; Zhu, L. Enhanced dielectric properties due to space charge-induced interfacial polarization in multilayer polymer films. J. Mater. Chem. C 2017, 5, 10417–10426. [Google Scholar] [CrossRef]
- Zhu, L. Exploring Strategies for High Dielectric Constant and Low Loss Polymer Dielectrics. J. Phys. Chem. Lett. 2014, 5, 3677–3687. [Google Scholar] [CrossRef]
- Chi, Q.; Ma, T.; Zhang, Y.; Cui, Y.; Zhang, T.; Lin, J.; Wang, X.; Lei, Q. Significantly enhanced energy storage density for poly(vinylidene fluoride) composites by induced PDA-coated 0.5Ba(Zr0.2Ti0.8)O3-0.5(Ba0.7Ca0.3)TiO3 nanofibers. J. Mater. Chem. A 2017, 5, 16757–16766. [Google Scholar] [CrossRef]
- Zhu, J.; Shen, J.; Guo, S.; Sue, H. Confined distribution of conductive particles in polyvinylidene fluoride-based multilayered dielectrics: Toward high permittivity and breakdown strength. Carbon 2015, 84, 355–364. [Google Scholar] [CrossRef]
- Wu, L.; Wu, K.; Liu, D.; Huang, R.; Huo, J.; Chen, F.; Fu, Q. Largely enhanced energy storage density of poly(vinylidene fluoride) nanocomposites based on surface hydroxylation of boron nitride nanosheets. J. Mater. Chem. A 2018, 6, 7573–7584. [Google Scholar] [CrossRef]
- Shen, Y.; Luo, S.; Yu, S.-H.; Sun, R.; Wong, C. Surface-modified barium titanate by MEEAA for high-energy storage application of polymer composites. High Volt. 2016, 1, 175–180. [Google Scholar] [CrossRef]
- Li, Q.; Zhang, G.; Liu, F.; Han, K.; Gadinski, M.R.; Xiong, C.; Wang, Q. Solution-processed ferroelectric terpolymer nanocomposites with high breakdown strength and energy density utilizing boron nitride nanosheets. Energy Environ. Sci. 2015, 8, 922–931. [Google Scholar] [CrossRef]
- Marwat, M.A.; Yasar, M.; Ma, W.; Fan, P.; Liu, K.; Lu, D.; Tian, Y.; Samart, C.; Ye, B.; Zhangaf, H. Significant Energy Density of Discharge and Charge–Discharge Efficiency in Ag@BNN Nanofillers-Modified Heterogeneous Sandwich Structure Nanocomposites. ACS Appl. Energy Mater. 2020. [Google Scholar] [CrossRef]
- Zhang, H.; Marwat, M.A.; Xie, B.; Ashtar, M.; Liu, K.; Zhu, Y.; Zhang, L.; Fan, P.; Samart, C.; Ye, Z.-G. Polymer Matrix Nanocomposites with 1D Ceramic Nanofillers for Energy Storage Capacitor Applications. ACS Appl. Mater. Interfaces 2019, 12, 1–37. [Google Scholar] [CrossRef]
- Chen, C.; Xing, J.; Cui, Y.; Zhang, T.; Feng, Y.; Zhang, Y.; Zhang, T.; Chi, Q.; Wang, X.; Lei, Q. Designing of Ferroelectric/Linear Dielectric Bilayer Films: An Effective Way to Improve the Energy Storage Performances of Polymer-Based Capacitors. J. Phys. Chem. C 2020, 124, 5920–5927. [Google Scholar] [CrossRef]
- Sun, L.; Shi, Z.; Liang, L.; Wei, S.; Wang, H.; Dastan, D.; Sun, K.; Fan, R. Layer-structured BaTiO3/P(VDF-HFP) composites with concurrently improved dielectric permittivity and breakdown strength toward capacitive energy-storage applications. J. Mater. Chem. C 2020, 8, 10257–10265. [Google Scholar] [CrossRef]
- Lu, H.; Du, J.; Yu, C.; Wang, X.; Gao, Y.; Xu, W.; Liu, A.; Lu, X.; Chen, Y. Ultrahigh Energy Storage Capacitance and High Breakdown Strength in Biaxially Oriented Poly(vinylidene fluoride) Using a High-Electric-Induced Technique. Macromol. Res. 2020, 28, 573–579. [Google Scholar] [CrossRef]
- Wang, L.; Luo, H.; Zhou, X.; Yuan, X.; Zhou, K.; Zhang, D. Sandwich-structured all-organic composites with high breakdown strength and high dielectric constant for film capacitor. Compos. Part A 2019, 117, 369–376. [Google Scholar] [CrossRef]







| VPVTC:VPMMA | VPVTC for First Layer /mL | VPMMA for Second Layer /mL | VPVTC for Third Layer /mL |
|---|---|---|---|
| 1:9 | 0.3125 | 1.125 | 0.3125 |
| 3:7 | 0.9360 | 0.875 | 0.9360 |
| 5:5 | 1.5625 | 0.625 | 1.5625 |
| 7:3 | 2.1875 | 0.375 | 2.1875 |
| 9:1 | 2.8125 | 0.125 | 2.8125 |
| Sample | Discharge Energy Density(J/cm3) @ 90% Efficiency | Reference |
|---|---|---|
| 1 vol % PDA-SiO2@BT NPs/PVDF | 2.1 | [13] |
| PVDF/PS-b-PMMA composite | 1 | [18] |
| BCZT + Ag@Al2O3/PMMA/PVDF | 0.8 | [37] |
| 5 vol % BZT-BCT NFs/PVDF composite | 0.9 | [49] |
| P(VDF-TrFE-CFE)/PI bilayer films | 1 | [56] |
| 15 vol % 4L BT/P(VDF-HFP) composites | 1 | [57] |
| BOPVDF films | 2 | [58] |
| 25 vol % sandwich-structured PVDF/P(VDF-TrFE-CTFE)/PVDF | 1 | [59] |
| 1-9 Sandwich Structure PVTC/PMMA composite | 2.569 | This work |
© 2020 by the authors. Licensee MDPI, Basel, Switzerland. This article is an open access article distributed under the terms and conditions of the Creative Commons Attribution (CC BY) license (http://creativecommons.org/licenses/by/4.0/).
Share and Cite
Feng, M.; Zhang, T.; Song, C.; Zhang, C.; Zhang, Y.; Feng, Y.; Chi, Q.; Chen, Q.; Lei, Q. Improved Energy Storage Performance of All-Organic Composite Dielectric via Constructing Sandwich Structure. Polymers 2020, 12, 1972. https://doi.org/10.3390/polym12091972
Feng M, Zhang T, Song C, Zhang C, Zhang Y, Feng Y, Chi Q, Chen Q, Lei Q. Improved Energy Storage Performance of All-Organic Composite Dielectric via Constructing Sandwich Structure. Polymers. 2020; 12(9):1972. https://doi.org/10.3390/polym12091972
Chicago/Turabian StyleFeng, Mengjia, Tiandong Zhang, Chunhui Song, Changhai Zhang, Yue Zhang, Yu Feng, Qingguo Chi, Qingguo Chen, and Qingquan Lei. 2020. "Improved Energy Storage Performance of All-Organic Composite Dielectric via Constructing Sandwich Structure" Polymers 12, no. 9: 1972. https://doi.org/10.3390/polym12091972
APA StyleFeng, M., Zhang, T., Song, C., Zhang, C., Zhang, Y., Feng, Y., Chi, Q., Chen, Q., & Lei, Q. (2020). Improved Energy Storage Performance of All-Organic Composite Dielectric via Constructing Sandwich Structure. Polymers, 12(9), 1972. https://doi.org/10.3390/polym12091972

