A Facile Strategy to Fabricate Antistatic Polyamide 1012/Multi-Walled Carbon Nanotube Pipes for Fuel Delivery Applications
Abstract
1. Introduction
2. Materials and Methods
2.1. Materials
2.2. Preparation of Antistatic Resin Based on MWCNTs and CBs
2.3. Fabrication of PA1012 Fuel Pipes
2.4. Morphology Analysis
2.5. Surface Resistivity Measurements
2.6. Mechanical Measurements
2.7. Fuel Permeability Tests
3. Results and Discussion
3.1. Surface Resistivity of PA1012/MWCNTs Nanocomposites
3.2. PA1012/MWCNT Pipes in Vehicle Fuel Systems
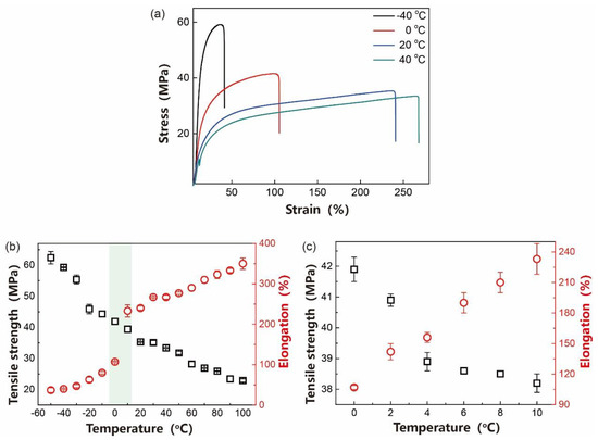
3.3. Comprehensive Properties of Fuel Pipes
3.4. Mechanism of Antistatic Properties for PA1012 Fuel Pipes
4. Conclusions
Author Contributions
Funding
Conflicts of Interest
References
- Jasinska, L.; Villani, M.; Wu, J.; van Es, D.; Klop, E.; Rastogi, S.; Koning, C.E. Novel, fully biobased semicrystalline polyamides. Macromolecules 2011, 44, 3458–3466. [Google Scholar] [CrossRef]
- Zhang, C.G.; Sun, C.H.; Zhang, X.J.; Han, C.C.; Zhao, Q.X. Effect of thermal history on the melting behavior of nylon 1212. Acta Polym. Sin. 2009, 9, 1126–1131. [Google Scholar] [CrossRef]
- Liu, T.X.; Chen, D.; Phang, I.Y.; Wei, C. Studies on crystal transition of polyamide 11 nanocomposites by variable-temperature X-ray diffraction. Chin. J. Polym. Sci. 2014, 32, 115–122. [Google Scholar] [CrossRef]
- Wang, L.L.; Dong, X.; Gao, Y.Y.; Huang, M.M.; Han, C.C.; Zhu, S.N.; Wang, D.J. Transamidation determination and mechanism of long chain-based aliphatic polyamide alloys with excellent interface miscibility. Polymer 2015, 59, 16–25. [Google Scholar] [CrossRef]
- Wang, D.L.; Shao, C.G.; Zhao, B.J.; Bai, L.G.; Wang, X.; Yan, T.Z.; Li, J.J.; Pan, G.Q.; Li, L.B. Deformation-induced phase transitions of polyamide 12 at different temperatures: An in situ wide-angle X-ray scattering study. Macromolecules 2010, 43, 2406–2412. [Google Scholar] [CrossRef]
- Vazquez-Garcia, J.; Rivenc, J.; Agneray, A.; Paillat, T.; Touchard, G. A critical approach to measure streaming current: Case of fuels flowing through conductive and insulating polymer pipes. IEEE Trans. Ind. Appl. 2005, 41, 1335–1342. [Google Scholar] [CrossRef]
- Du, F.M.; Scogna, R.C.; Zhou, W.; Brand, S.; Fischer, J.E.; Winey, K.I. Nanotube networks in polymer nanocomposites: Rheology and electrical conductivity. Macromolecules 2004, 37, 9048–9055. [Google Scholar] [CrossRef]
- Zhang, X.S.; Wang, X.F.; Lei, Z.W.; Wang, L.L.; Tian, M.W.; Zhu, S.F.; Xiao, H.; Tang, X.N.; Qu, L.J. Flexible MXene-decorated fabric with interwoven conductive networks for integrated joule heating, electromagnetic interference shielding, and strain sensing performances. ACS Appl. Mater. Interface 2020, 12, 14459–14467. [Google Scholar] [CrossRef]
- Clingerman, M.L.; Weber, E.H.; King, J.A.; Schulz, K.H. Synergistic effects of carbon fillers in electrically conductive nylon 6,6 and polycarbonate based resins. Polym. Compos. 2002, 23, 911–924. [Google Scholar] [CrossRef]
- Moniruzzaman, M.; Chattopadhyay, J.; Billups, W.E.; Winey, K.I. Tuning the mechanical properties of SWNT/Nylon 6,10 composites with flexible spacers at the interface. Nano Lett. 2007, 7, 1178–1185. [Google Scholar] [CrossRef]
- Otaegi, I.; Aramburu, N.; Muller, A.J.; Guerrica-Echevarria, G. Novel Biobased Polyamide 410/Polyamide6/CNT Nanocomposites. Polymers 2018, 10, 986. [Google Scholar] [CrossRef] [PubMed]
- Haggenmueller, R.; Du, F.M.; Fischer, J.E.; Winey, K.I. Interfacial in situ polymerization of single wall carbon nanotube/nylon 6,6 nanocomposites. Polymer 2006, 47, 2381–2388. [Google Scholar] [CrossRef]
- Gao, J.B.; Zhao, B.; Itkis, M.E.; Bekyarova, E.; Hu, H.; Kranak, V.; Yu, A.P.; Haddon, R.C. Chemical engineering of the single-walled carbon nanotube-nylon 6 interface. J. Am. Chem. Soc. 2006, 128, 7492–7496. [Google Scholar] [CrossRef] [PubMed]
- Tian, M.W.; Zhao, R.H.; Qu, L.J.; Chen, Z.H.; Chen, S.J.; Zhu, S.F.; Song, W.F.; Zhang, X.S.; Sun, Y.N.; Fu, R.R. Stretchable and Designable Textile Pattern Strain Sensors Based on Graphene Decorated Conductive Nylon Filaments. Macromol. Mater. Eng. 2019, 304, 1900244. [Google Scholar] [CrossRef]
- Knapek, A.; Sobola, D.; Burda, D.; Danhel, A.; Mousa, M.; Kolarik, V. Polymer graphite pencil lead as a cheap alternative for classic conductive SPM probes. Nanomaterials 2019, 9, 1756. [Google Scholar] [CrossRef]
- Ahmad, I.A.; Koziol, K.K.K.; Deveci, S.; Kim, H.K.; Kumar, R.V. Advancing the use of high-performance graphene-based multimodal polymer nanocomposite at scale. Nanomaterials 2018, 8, 947. [Google Scholar] [CrossRef]
- Sisti, L.; Totaro, G.; Vannini, M.; Giorgini, L.; Ligi, S.; Celli, A. Bio-based PA11/Graphene nanocomposites prepared by in situ polymerization. J. Nanosci. Nanotechnol. 2018, 18, 1169–1175. [Google Scholar] [CrossRef]
- Fu, X.; Dong, X.; Liu, Y.; Zhao, X.K.; Zhang, N.; Qi, S.X.; Wang, D.J.; Yang, G.S. Combined graphene and poly (butylene terephthalate)-block-poly (tetramethylene glycol) enhance the mechanical performance of polyamide-6. Eur. Polym. J. 2019, 110, 97–106. [Google Scholar]
- Athreya, S.R.; Kalaitzidou, K.; Das, S. Processing and characterization of a carbon black-filled electrically conductive Nylon-12 nanocomposite produced by selective laser sintering. Mat. Sci. Eng. A Struct. 2010, 527, 2637–2642. [Google Scholar] [CrossRef]
- Cheng, H.K.F.; Sahoo, N.G.; Pan, Y.Z.; Li, L.; Chan, S.H.; Zhao, J.H.; Chen, G. Complementary effects of multiwalled carbon nanotubes and conductive carbon black on polyamide 6. J. Polym. Sci. Pol. Phys. 2010, 48, 1203–1212. [Google Scholar] [CrossRef]
- Hong, R.; Zhao, Z.H.; Leng, J.; Wu, J.J.; Zhang, J. Two-step approach based on selective laser sintering for high performance carbon black/polyamide 12 composite with 3D segregated conductive network. Compos. Part. B Eng. 2019, 176, 170214. [Google Scholar] [CrossRef]
- Li, R.; Pei, J.Z. Nanodispersed carbon black on enhancing the dielectric properties of Polyamide 11/Poly(vinylidene fluoride) blend films. Sci. Adv. Mater. 2016, 8, 1122–1128. [Google Scholar] [CrossRef]
- Khalid, M.; Mohammad, F. Preparation, electrical properties and thermal stability of conductive polyaniline: Nylon-6,6 composite films. Express Polym. Lett. 2007, 1, 711–716. [Google Scholar] [CrossRef]
- Cao, Y.Y.; Wang, L.L.; Gao, Y.Y.; Sun, T.J.; Zhou, Y.; Hu, H.Q.; Wang, D.J.; Dong, X. Morphology and electric conductivity controlling of in situ polymerized poly(decamethylene dodecanoamide)/polyaniline composites. J. Appl. Polym. Sci. 2019, 136, 47041. [Google Scholar] [CrossRef]
- Romo-Uribe, A.; Arizmendi, L.; Romero-Guzman, M.E.; Sepulveda-Guzman, S.; Cruz-Silva, R. Electrospun Nylon Nanofibers as Effective Reinforcement to Polyaniline Membranes. ACS Appl. Mater. Interface 2009, 1, 2502–2508. [Google Scholar] [CrossRef]
- Chandran, A.S.; Narayanankutty, S.K. An elastomeric conducting composite based on polyaniline coated nylon fiber and chloroprene rubber. Eur. Polym. J. 2008, 44, 2418–2429. [Google Scholar] [CrossRef]
- Kim, B.C.; Innis, P.C.; Wallace, G.G.; Low, C.T.J.; Walsh, F.C.; Cho, W.J.; Yu, K.H. Electrically conductive coatings of nickel and polypyrrole/poly(2-methoxyaniline-5-sulfonic acid) on nylon Lycra (R) textiles. Prog. Org. Coat. 2013, 76, 1296–1301. [Google Scholar] [CrossRef]
- Bhadani, R.; Baranwal, P.P.; Bhadini, S.N. Electrically conductive nylon fibers by in situ electrochemical formation of polypyrrole. J. Polym. Mater. 2002, 19, 259–263. [Google Scholar]
- Kim, S.H.; Jang, S.H.; Byun, S.W.; Lee, J.Y.; Joo, J.S.; Jeong, S.H.; Park, M.J. Electrical properties and EMI shielding characteristics of polypyrrole-nylon 6 composite fabrics. J. Appl. Polym. Sci. 2003, 87, 1969–1974. [Google Scholar] [CrossRef]
- Zhang, X.X.; Gao, M.Y.; Tong, L.; Cai, K.F. Polypyrrole/nylon membrane composite film for ultra-flexible all-solid supercapacitor. J. Mater. 2020, 6, 339–347. [Google Scholar] [CrossRef]
- Berti, C.; Celli, A.; Marchese, P.; Sullalti, S.; Vannini, M.; Lorenzetti, C. Transamidations in melt-mixed MXD6 and PA6I-6T polyamides: 1. Determination of the degree of randomness and block length by H-1-NMR analysis. Eur. Polym. J. 2012, 48, 1923–1931. [Google Scholar] [CrossRef]
- Wang, L.L.; Dong, X.; Huang, M.M.; Wang, D.J. Transient microstructure in long alkane segment polyamide: Deformation mechanism and its temperature dependence. Polymer 2016, 97, 217–225. [Google Scholar] [CrossRef]
- Wang, L.L.; Dong, X.; Wang, X.R.; Zhu, G.Y.; Li, H.Q.; Wang, D.J. High performance long chain polyamide/calcium silicate whisker nanocomposites and the effective reinforcement mechanism. Chin. J. Polym. Sci. 2016, 34, 991–1000. [Google Scholar] [CrossRef]
- Ares, A.; Lasagabaster, A.; Abad, M.J.; Noguerol, R.; Cerecedo, C.; Valcarcel, V.; Caamano, J.M.; Guitian, F. Effects of silane functionalization of alumina whiskers on high-density polyethylene composites. J. Compos. Mater. 2014, 48, 3141–3151. [Google Scholar] [CrossRef]
- Mabrouk, A.B.; Vilar, M.R.; Magnin, A.; Belgacem, M.N.; Boufi, S. Synthesis and characterization of cellulose whiskers/polymer nanocomposite dispersion by mini-emulsion polymerization. J. Colloid Interface Sci. 2011, 363, 129–136. [Google Scholar] [CrossRef] [PubMed]
- Seo, Y.; Lee, J.; Kang, T.J.; Choi, H.J.; Kim, J. In situ compatibilizer reinforced interface between an amorphous polymer (Polystyrene) and a semicrystalline polymer (Polyamide nylon 6). Macromolecules 2007, 40, 5953–5958. [Google Scholar] [CrossRef]
- Wurm, A.; Ismail, M.; Kretzschmar, B.; Pospiech, D.; Schick, C. Retarded crystallization in polyamide/layered silicates nanocomposites caused by an immobilized interphase. Macromolecules 2010, 43, 1480–1487. [Google Scholar] [CrossRef]
- Yan, M.Q.; Yang, H.J. Improvement of polyamide 1010 with silica nanospheres via in situ melt polycondensation. Polym. Compos. 2012, 33, 1770–1776. [Google Scholar] [CrossRef]
- Wang, L.L.; Dong, X.; Huang, M.M.; Müller, A.J.; Wang, D.J. The effect of microstructural evolution during deformation on the post-yielding behavior of self-associated polyamide blends. Polymer 2017, 117, 231–242. [Google Scholar] [CrossRef]
- Wang, L.L.; Zhu, P.; Dong, X.; Wang, D.J. Strain-induced crystallization of long chain polyamide and its copolymers. Acta Polym. Sin. 2020, 51, 1–11. [Google Scholar]
- Zhao, X.W.; Xia, Y.Z.; Zhang, X.S.; Lin, X.; Wang, L. Design of mechanically strong and tough alginate hydrogels based on a soft-brittle transition. Int. J. Biol. Macromol. 2019, 139, 850–857. [Google Scholar] [CrossRef] [PubMed]
- Wang, L.L.; Zhang, X.S.; Xia, Y.Z.; Zhao, X.W.; Xue, Z.X.; Sui, K.Y.; Dong, X.; Wang, D.J. Cooking-Inspired Versatile Design of an Ultrastrong and Tough Polysaccharide Hydrogel through Programmed Supramolecular Interactions. Adv. Mater. 2019, 31, 1902381. [Google Scholar] [CrossRef] [PubMed]
- Liu, X.R.; Wang, Y.; Wang, Z.F.; Cavallo, D.; Müller, A.J.; Zhu, P.; Zhao, Y.; Dong, X.; Wang, D.J. The Origin of Memory Effects in the Crystallization of Polyamides: Role of Hydrogen Bonding. Polymer 2020, 188, 122117. [Google Scholar] [CrossRef]
- Liu, X.R.; Wang, Y.; Liu, L.Y.; Dong, X.; Wang, D.J. Time and Temperature Dependence of the Structural Evolution for Polyamide 1012. Chin. J. Polym. Sci. 2020, 38, 993–998. [Google Scholar] [CrossRef]
T (°C) | T1 | T2 | T3 | T4 | T5 | T6 | T7 | T8 | T9 | T10 | Tdie |
---|---|---|---|---|---|---|---|---|---|---|---|
35# | 180 | 220 | 230 | 230 | 230 | 220 | 210 | 220 | 230 | 240 | 240 |
56# | 180 | 220 | 230 | 230 | 230 | 220 | 210 | 220 | 230 | 240 | 240 |
T (°C) | T1 | T2 | T3 | T4 | T5 | Tnose | Tmold |
---|---|---|---|---|---|---|---|
45# | 180 | 230 | 240 | 240 | 230 | 220 | |
55# | 180 | 190 | 200 | 210 | / | 200 | 200–175 |
90# | 180 | 190 | 200 | 210 | / | 200 | 200–175 |
Antistatic Agent | MWCNT | Carbon Black | ||||||
---|---|---|---|---|---|---|---|---|
M (wt%) | 0 | 1 | 2 | 3 | 15 | 8 | 10 | 20 |
ρs (Ω/sq) | 1013 | 1012 | ≈1011 | 107 | <104 | 1011 | 108 | <103 |
Categories of Fuel Pipes | (a) | (b) | (c) |
---|---|---|---|
Applications | automobiles | petrol station | high pressure |
Inner diameter, mm | 4 | 56 | 146 |
Wall thickness, mm | 1 | 3.5 | 10 |
Burst pressure, MPa | 8.48 ± 0.01 | 3.23 ± 0.12 | 18.40 ± 0.05 |
Fuel permeability, g/m·d | 0.03 ± 0.002 | 0.11 ± 0.003 | 0.21 ± 0.009 |
Surface resistivity, Ω/sq | 1.1 × 107 | 1.2 × 107 | 7.3 × 105 |
© 2020 by the authors. Licensee MDPI, Basel, Switzerland. This article is an open access article distributed under the terms and conditions of the Creative Commons Attribution (CC BY) license (http://creativecommons.org/licenses/by/4.0/).
Share and Cite
Li, W.; Wang, L.; Dong, X.; Wang, D. A Facile Strategy to Fabricate Antistatic Polyamide 1012/Multi-Walled Carbon Nanotube Pipes for Fuel Delivery Applications. Polymers 2020, 12, 1797. https://doi.org/10.3390/polym12081797
Li W, Wang L, Dong X, Wang D. A Facile Strategy to Fabricate Antistatic Polyamide 1012/Multi-Walled Carbon Nanotube Pipes for Fuel Delivery Applications. Polymers. 2020; 12(8):1797. https://doi.org/10.3390/polym12081797
Chicago/Turabian StyleLi, Wanli, Lili Wang, Xia Dong, and Dujin Wang. 2020. "A Facile Strategy to Fabricate Antistatic Polyamide 1012/Multi-Walled Carbon Nanotube Pipes for Fuel Delivery Applications" Polymers 12, no. 8: 1797. https://doi.org/10.3390/polym12081797
APA StyleLi, W., Wang, L., Dong, X., & Wang, D. (2020). A Facile Strategy to Fabricate Antistatic Polyamide 1012/Multi-Walled Carbon Nanotube Pipes for Fuel Delivery Applications. Polymers, 12(8), 1797. https://doi.org/10.3390/polym12081797