Phase Behavior of Amorphous/Semicrystalline Conjugated Polymer Blends
Abstract
1. Introduction
2. Materials and Methods
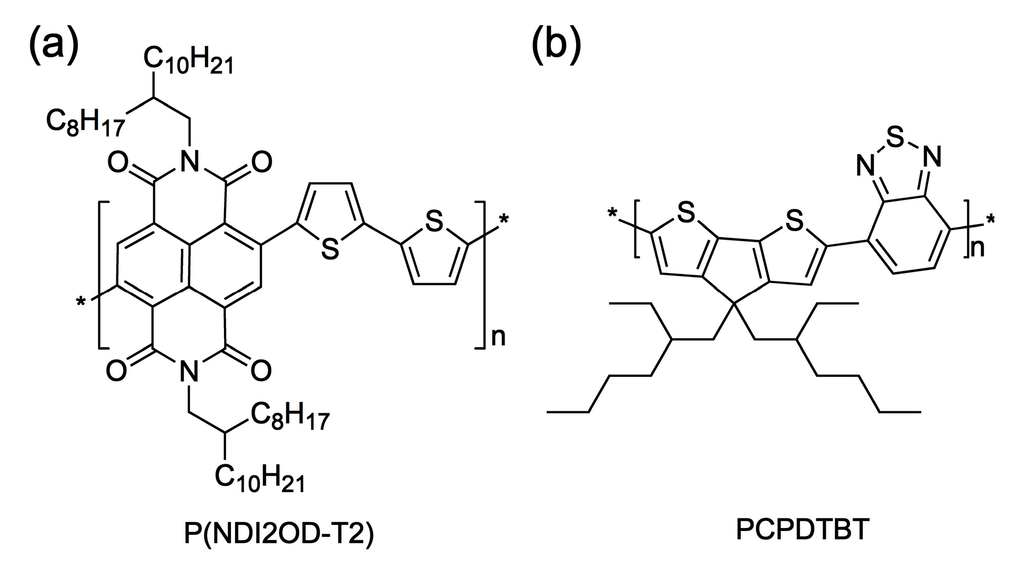
2.1. Materials
2.2. Film Processing
2.3. Thermal Property Characterization
2.4. Film Characterization
3. Results
4. Conclusions and Future Works
Author Contributions
Funding
Acknowledgments
Conflicts of Interest
Abbreviations
| full width at half maximum | |
| distance between crystallographic planes (d-spacing) | |
| diffusion length | |
| number average molecular weight | |
| number average molecular weight of component 1 or 2 | |
| weight average molecular weight | |
| molecular weight of a solvent | |
| pressure | |
| polymer acceptor | |
| polymer donor | |
| the gas constant | |
| relative molar volume of component 1 or 2 | |
| temperature | |
| crystallization temperature | |
| glass transition temperature | |
| melting temperature | |
| crystallite size | |
| molar volume of a solvent | |
| Gibbs free energy of mixing | |
| enthalpy of mixing | |
| entropy of mixing | |
| solubility parameter | |
| solubility parameter of component i or j | |
| diffraction angle | |
| X-ray wavelength (= 0.154 nm) | |
| electron mobility | |
| volume fraction of component i | |
| density of component 1 or 2 or solvent | |
| Flory–Huggins interaction parameter | |
| Flory–Huggins interaction parameter between component i and j | |
| Flory–Huggins interaction parameter between component 1 and 2 at critical point | |
| AFM | atomic force microscopy |
| all-PSCs | all-polymer solar cells |
| CB | chlorobenzene |
| CF | chloroform |
| DCO | 1,8-dichlorooctane |
| DIO | 1,8-diiodooctane |
| DMA | dynamic mechanical analysis |
| DSC | differential scanning calorimetery |
| FWHM | full width at half maximum |
| L–L | liquid–liquid |
| L–S | liquid–solid |
| NBR | butadiene/acrylonitrile copolymer |
| NG | nucleation and growth |
| ODT | 1,8-octanedithiol |
| OPV | organic photovoltaics |
| OTFT | organic thin-film transistor |
| P(NDI2OD-T2) | poly{(N,N′-bis(2-octyldodecyl)naphthalene -1,4,5,8-bis(dicarboximide)-2,6-diyl)-alt-5,5′-(2,2′-bithiophene)} |
| PCE | power conversion efficiency |
| PCPDTBT | poly[2,6-(4,4-bis(2-ethylhexyl)-4H-cyclopenta [2,1-b;3,4-b′]dithiophene) -alt-4,7(2,1,3-benzothiadiazole)] |
| PDI | polydispersity index |
| PPO | polystyrene-poly(2,6-dimehtyl -1,4-phenylene oxide) |
| PVC | poly(vinyl chloride) |
| r-reg P3HT | regioregular poly(3-hexylthiophene-2,5-dyil) |
| SD | spinodal decomposition |
| TGA | thermogravimetric analysis |
| TGBC | top-gate bottom-contact |
| UCST | upper critical solution temperature |
| XRD | X-ray diffraction |
References
- Jia, T.; Zhang, J.; Zhong, W.; Liang, Y.; Zhng, K.; Dong, S.; Ying, L.; Liu, F.; Wang, X.; Huang, F.; et al. 14.4% efficiency all-polymer solar cell with broad absorption and low energy loss enabled by a novel polymer acceptor. Nano Energy 2020, 72, 104718. [Google Scholar] [CrossRef]
- Zhao, R.; Wang, N.; Yu, Y.; Liu, J. Organoboron Polymer for 10% Efficiency All-Polymer Solar Cells. Chem. Mater. 2020, 32, 1308–1314. [Google Scholar] [CrossRef]
- Zhu, L.; Zhong, W.; Qiu, C.; Lyu, B.; Zhou, Z.; Zhang, M.; Song, J.; Xu, J.; Wang, J.; Ali, J.; et al. Aggregation-Induced Multilength Scaled Morphology Enabling 11.76% Efficiency in All-Polymer Solar Cells Using Printing Fabrication. Adv. Mater. 2019, 31, 1902899. [Google Scholar] [CrossRef]
- Yao, H.; Bai, F.; Hu, H.; Arunagiri, L.; Zhang, J.; Chen, Y.; Yu, H.; Chen, S.; Liu, T.; Lai, J.Y.L.; et al. Efficient All-Polymer Solar Cells based on a New Polymer Acceptor Achieving 10.3% Power Conversion Efficiency. ACS Energy Lett. 2019, 4, 417–422. [Google Scholar] [CrossRef]
- Wu, J.; Meng, Y.; Guo, X.; Zhu, L.; Liu, F.; Zhang, M. All-polymer solar cells based on a novel narrow-bandgap polymer acceptor with power conversion efficiency over 10%. J. Mater. Chem. A 2019, 7, 16190–16196. [Google Scholar] [CrossRef]
- Liu, X.; Li, X.; Zheng, N.; Gu, C.; Wang, L.; Fang, J.; Yang, C. Insight into the Efficiency and Stability of All-Polymer Solar Cells Based on Two 2D-Conjugated Polymer Donors: Achieving High Fill Factor of 78%. ACS Appl. Mater. Interfaces 2019, 11, 43433–43440. [Google Scholar] [CrossRef]
- Genene, Z.; Mammo, W.; Wang, E.; Andersson, M.R. Recent Advances in N-Type Polymers for All-Polymer Solar Cells. Adv. Mater. 2019, 31, 1807275. [Google Scholar] [CrossRef]
- Li, Z.; Ying, L.; Zhu, P.; Zhong, W.; Li, N.; Liu, F.; Huang, F.; Cao, Y. A generic green solvent concept boosting the power conversion efficiency of all-polymer solar cells to 11%. Energy Environ. Sci. 2019, 12, 157–163. [Google Scholar] [CrossRef]
- Olabisi, O.; Robeson, L.M.; Shaw, M.T. Polymer-Polymer Miscibility; Academic Press: New York, NY, USA, 1979; pp. 13–15. [Google Scholar]
- Pope, M.; Swenberg, C. Electronic Processes in Organic Crystals and Polymers, 2nd ed.; Oxford University Press: Oxford, UK, 1999; pp. 1–191. [Google Scholar]
- Gregg, B.A. Excitonic Solar Cells. J. Phys. Chem. B 2003, 107, 4688–4698. [Google Scholar] [CrossRef]
- Gregg, B.A.; Hanna, M.C. Comparing organic to inorganic photovoltaic cells: Theory, experiment, and simulation. J. Appl. Phys. 2003, 93, 3605–3614. [Google Scholar] [CrossRef]
- Mikhnenko, O.V.; Blom, P.W.M.; Nguyen, T.-Q. Exciton diffusion in organic semiconductors. Energy Environ. Sci. 2015, 8, 1867–1888. [Google Scholar] [CrossRef]
- Tamai, Y.; Ohkita, H.; Benten, H.; Ito, S. Exciton Diffusion in Conjugated Polymers: From Fundamental Understanding to Improvement in Photovoltaic Conversion Efficiency. J. Phys. Chem. Lett. 2015, 6, 3417–3428. [Google Scholar] [CrossRef] [PubMed]
- Bates, F.S. Polymer-Polymer Phase Behavior. Science 1991, 251, 898–905. [Google Scholar] [CrossRef] [PubMed]
- Leibler, L. Theory of Microphase Separation in Block Copolymers. Macromolecules 1980, 13, 1602–1617. [Google Scholar] [CrossRef]
- Bates, F.S. Block Copolymer Thermodynamics: Theory and Experiment. Annu. Rev. Phys. Chem. 1990, 41, 525–557. [Google Scholar] [CrossRef]
- Cahn, J.W. Phase Separation by Spinodal Decomposition in Isotropic Systems. J. Chem. Phys. 1965, 42, 93–99. [Google Scholar] [CrossRef]
- McNeil, C.R.; Greenham, N.C. Conjugated-Polymer Blends for Optoelectronics. Adv. Mater. 2009, 21, 3840–3850. [Google Scholar] [CrossRef]
- Kim, J.Y. Order−Disorder Phase Equilibria of Regioregular Poly(3-hexylthiophene-2,5-diyl) Solution. Macromolecules 2018, 51, 9026–9034. [Google Scholar] [CrossRef]
- Kim, J.Y. Phase Diagrams of Binary Low Bandgap Conjugated Polymer Solutions and Blends. Macromolecules 2019, 52, 4317–4328. [Google Scholar] [CrossRef]
- Fanta, G.M.; Jarka, P.; Szeluga, U.; Tański, T.; Kim, J.Y. Phase Diagrams of n-Type Low Bandgap Naphthalenediimide-Bithiophene Copolymer Solutions and Blends. Polymers 2019, 11, 1474. [Google Scholar] [CrossRef]
- Mühlbacher, M.; Scharber, M.; Morana, M.; Zhu, Z.; Waller, D.; Gaudiana, R.; Brabec, C. High Photovoltaic Performance of a Low-Bandgap Polymer. Adv. Mater. 2006, 18, 2884–2889. [Google Scholar] [CrossRef]
- Morana, M.; Wegscheider, M.; Bonanni, A.; Kopidakis, N.; Shaheen, S.; Scharber, M.; Zhu, Z.; Waller, D.; Gaudiana, R.; Brabec, C. Bipolar Charge Transport in PCPDTBT-PCBM Bulk-Heterojunctions for Photovoltaic Applications. Adv. Funct. Mater. 2008, 18, 1757–1766. [Google Scholar] [CrossRef]
- Gu, Y.; Wang, C.; Russell, T.P. Multi-Length-Scale Morphologies in PCPDTBT/PCBM Bulk-Heterojunction Solar Cells. Adv. Energy Mater. 2012, 2, 683–690. [Google Scholar] [CrossRef]
- Fischer, F.S.U.; Trefz, D.; Back, J.; Kayunkid, N.; Tornow, B.; Albrecht, S.; Yager, K.G.; Singh, G.; Karim, A.; Neher, D.; et al. Highly Crystalline Films of PCPDTBT with Branched Side Chains by Solvent Vapor Crystallization: Influence on Opto-Electronic Properties. Adv. Mater. 2015, 27, 1223–1228. [Google Scholar] [CrossRef] [PubMed]
- Yan, H.; Chen, Z.; Zheng, Y.; Newman, C.; Quinn, J.R.; Dötz, F.; Kastler, M.; Facchetti, A. A high-mobility electron-transporting polymer for printed transistors. Nature 2009, 457, 679–686. [Google Scholar] [CrossRef] [PubMed]
- Rivnay, J.; Toney, M.F.; Zheng, Y.; Kauvar, I.V.; Chen, Z.; Wagner, V.; Facchetti, A.; Salleo, A. Unconventional Face-On Texture and Exceptional In-Plane Order of a High Mobility n-Type Polymer. Adv. Mater. 2010, 22, 4359–4363. [Google Scholar] [CrossRef]
- Brinkmann, M.; Gonthier, E.; Bogen, S.; Tremel, K.; Ludwigs, S.; Hufnagel, M.; Sommer, M. Segregated versus Mixed Interchain Stacking in Highly Oriented Films of Naphthalene Diimide Bithiophene Copolymers. ACS Nano 2012, 6, 10319–10326. [Google Scholar] [CrossRef]
- Takacs, C.J.; Treat, N.D.; Krämer, S.; Chen, Z.; Facchetti, A.; Chabinyc, M.L.; Heeger, A.J. Remarkable Order of a High-Performance Polymer. Nano Lett. 2013, 13, 2522–2527. [Google Scholar] [CrossRef]
- Zhou, N.; Lin, H.; Lou, S.J.; Yu, X.; Guo, P.; Manley, E.F.; Loser, S.; Hartnett, P.; Huang, H.; Wasielewski, M.R.; et al. Morphology-Performance Relationships in High-Efficiency All-Polymer Solar Cells. Adv. Energy Mater. 2014, 4, 1300785. [Google Scholar] [CrossRef]
- Zhou, K.; Zhang, R.; Liu, J.; Li, M.; Yu, X.; Xing, R.; Han, Y. Donor/Acceptor Molecular Orientation-Dependent Photovoltaic Performance in All-Polymer Solar Cells. ACS Appl. Mater. Interfaces 2015, 7, 25352–25361. [Google Scholar] [CrossRef]
- Zhang, R.; Yang, H.; Zhou, K.; Zhang, J.; Yu, X.; Liu, J.; Han, Y. Molecular Orientation and Phase Separation by Controlling Chain Segment and Molecule Movement in P3HT/N2200 Blends. Macromolecules 2016, 49, 6987–6996. [Google Scholar] [CrossRef]
- Schuettfort, T.; Huettner, S.; Lilliu, S.; Macdonald, J.E.; Thomsen, L.; McNeill, C.R. Surface and Bulk Structural Characterization of a High-Mobility Electron-Transporting Polymer. Macromolecules 2011, 44, 1530–1539. [Google Scholar] [CrossRef]
- Gu, X.; Yan, H.; Kurosawa, T.; Schroeder, B.C.; Gu, K.L.; Zhou, Y.; To, J.W.F.; Oosterhout, S.D.; Savikhin, V.; Molina-Lopez, F.; et al. Comparison of the Morphology Development of Polymer-Fullerene and Polymer-Polymer Solar Cells during Solution-Shearing Blade Coating. Adv. Energy Mater. 2016, 6, 1601225. [Google Scholar] [CrossRef]
- Yang, Q.; Wang, J.; Zhang, X.; Zhang, J.; Fu, Y.; Xie, Z. Constructing vertical phase separation of polymer blends via mixed solvents to enhance their photovoltaic performance. Sci. China Chem. 2015, 58, 309–316. [Google Scholar] [CrossRef]
- Van Franeker, J.J.; Turbiez, M.; Li, W.; Wienk, M.M.; Janssen, R.A.J. A real-time study of the benefits of co-solvents in polymer solar cell processing. Nat. Commun. 2015, 6, 6229. [Google Scholar] [CrossRef] [PubMed]
- Kadem, B.Y.; Al-hashimi, M.K.; Hassan, A.K. The Effect of Solution Processing on the Power Conversion Efficiency of P3HT-based Organic Solar Cells. Energy Procedia 2014, 50, 237–245. [Google Scholar] [CrossRef]
- Flory, P.J. Principles of Polymer Chemistry; Cornell University Press: New York, NY, USA, 1953. [Google Scholar]
- Hiemenz, P.C.; Lodge, T.P. Polymer Chemistry, 2nd ed.; CRC Press: New York, NY, USA, 2007. [Google Scholar]
- Lipatov, Y.S.; Nesterov, A.E. Thermodynamics of Polymer Blends; Technomic Publishing Co. Inc.: Lancaster, PA, USA, 1997. [Google Scholar]
- Kim, J.Y.; Cho, H.; Noh, S.; Lee, Y.; Nam, Y.M.; Lee, C.; Jo, W.H. Charge transport in amorphous low bandgap conjugated polymer/fullerene films. J. Appl. Phys. 2012, 111, 043710. [Google Scholar] [CrossRef]
- Kim, J.Y.; Frisbie, C.D. Correlation of Phase Behavior and Charge Transport in Conjugated Polymer/Fullerene Blends. J. Phys. Chem. C 2008, 112, 17726–17736. [Google Scholar] [CrossRef]
- Cullity, B.D.; Stock, S.R. Elements of X-ray Diffraction; Prentice Hall: Upper Saddle River, NJ, USA, 2001. [Google Scholar]
- Dörling, B.; Sánchez-Díaz, A.; Arteaga, O.; Veciana, A.; Alonso, M.I.; Campoy-Quiles, M. Controlled Pinning of Conjugated Polymer Spherulites and its Application in Detection. Adv. Opt. Mater. 2017, 5, 1700276. [Google Scholar] [CrossRef]
- Ou, C.; Cheetham, N.J.; Weng, J.; Yu, M.; Lin, J.; Wang, X.; Sun, C.; Cabanillas-Gonzalez, J.; Xie, L.; Bai, L.; et al. Hierarchical Uniform Supramolecular Conjugated Spherulites with Suppression of Defect Emission. iScience 2019, 16, 399–409. [Google Scholar] [CrossRef]
- Armas, J.A.; Reynolds, K.J.; Marsh, Z.M.; Fernández-Blázquez, J.P.; Ayala, D.; Cronin, A.D.; Del Aguila, J.; Fideldy, R.; Abdou, J.P.; Bilger, D.W.; et al. Supramolecular Assembly of Oriented Spherulitic Crystals of Conjugated Polymers Surrounding Carbon Nanotube Fibers. Macromol. Rapid Commun. 2019, 40, 1900098. [Google Scholar] [CrossRef] [PubMed]







| P(NDI2OD-T2):PCPDTBT | 2θ (°) | θ (°) | B (Radians) | t (nm) | d-Spacing (nm) |
|---|---|---|---|---|---|
| 100:0 | 26.16 | 13.08 | 0.05667 | 2.5 | 0.34 |
| 80:20 | 26.31 | 13.05 | 0.06319 | 2.3 | 0.34 |
| 50:50 | 26.26 | 13.13 | 0.06606 | 2.0 | 0.34 |
| 0:100 | 25.47 | 12.74 | 0.09980 | 1.4 | 0.35 |
© 2020 by the authors. Licensee MDPI, Basel, Switzerland. This article is an open access article distributed under the terms and conditions of the Creative Commons Attribution (CC BY) license (http://creativecommons.org/licenses/by/4.0/).
Share and Cite
Fanta, G.M.; Jarka, P.; Szeluga, U.; Tański, T.; Kim, J.Y. Phase Behavior of Amorphous/Semicrystalline Conjugated Polymer Blends. Polymers 2020, 12, 1726. https://doi.org/10.3390/polym12081726
Fanta GM, Jarka P, Szeluga U, Tański T, Kim JY. Phase Behavior of Amorphous/Semicrystalline Conjugated Polymer Blends. Polymers. 2020; 12(8):1726. https://doi.org/10.3390/polym12081726
Chicago/Turabian StyleFanta, Gada Muleta, Pawel Jarka, Urszula Szeluga, Tomasz Tański, and Jung Yong Kim. 2020. "Phase Behavior of Amorphous/Semicrystalline Conjugated Polymer Blends" Polymers 12, no. 8: 1726. https://doi.org/10.3390/polym12081726
APA StyleFanta, G. M., Jarka, P., Szeluga, U., Tański, T., & Kim, J. Y. (2020). Phase Behavior of Amorphous/Semicrystalline Conjugated Polymer Blends. Polymers, 12(8), 1726. https://doi.org/10.3390/polym12081726
