Effect of PAMAM Dendrimers on Interactions and Transport of LiTFSI and NaTFSI in Propylene Carbonate-Based Electrolytes
Abstract
1. Introduction
2. Materials and Methods
2.1. Materials
2.2. PAMAM Synthesis
2.2.1. General Procedure for Preparation of Ester-Terminated PAMAM Dendrimers
2.2.2. General Procedure for Preparation of Amine-Terminated PAMAM Dendrimers
2.3. Ionic Conductivity Measurements
2.4. Raman Spectroscopy
2.5. Diffusion NMR Spectroscopy
3. Results and Discussion
3.1. PAMAM Synthesis
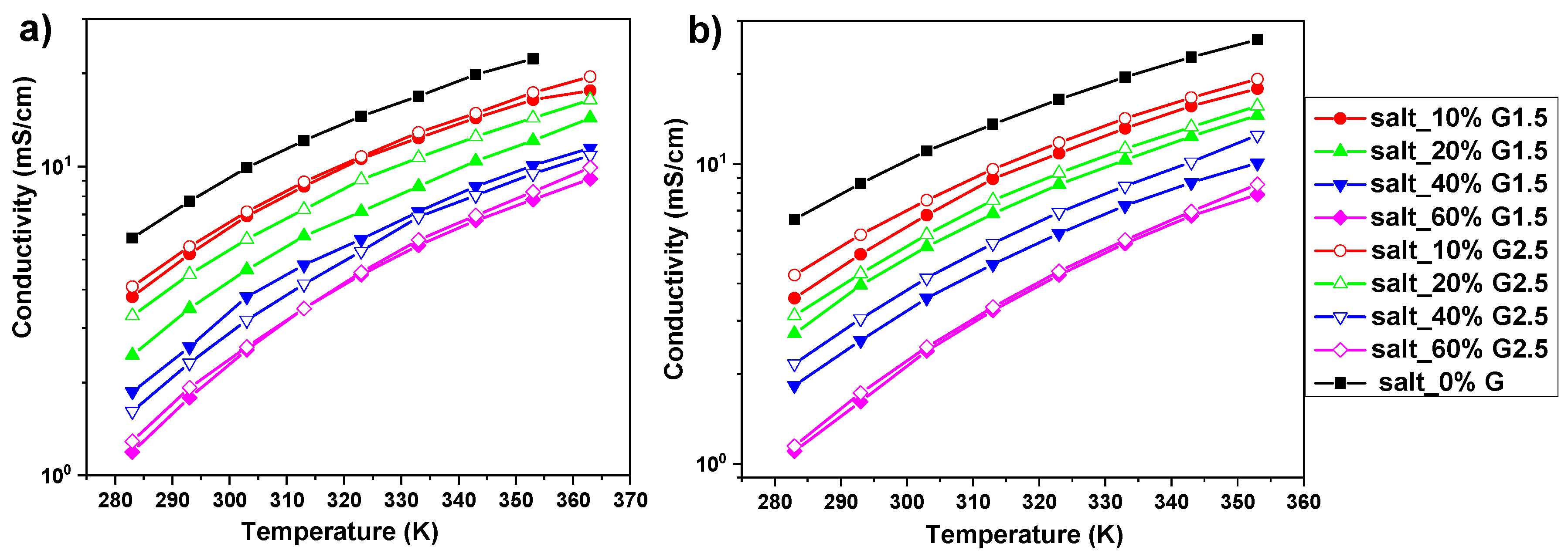
3.2. Conductivity
3.3. Ion–Solvent–Dendrimer Interactions
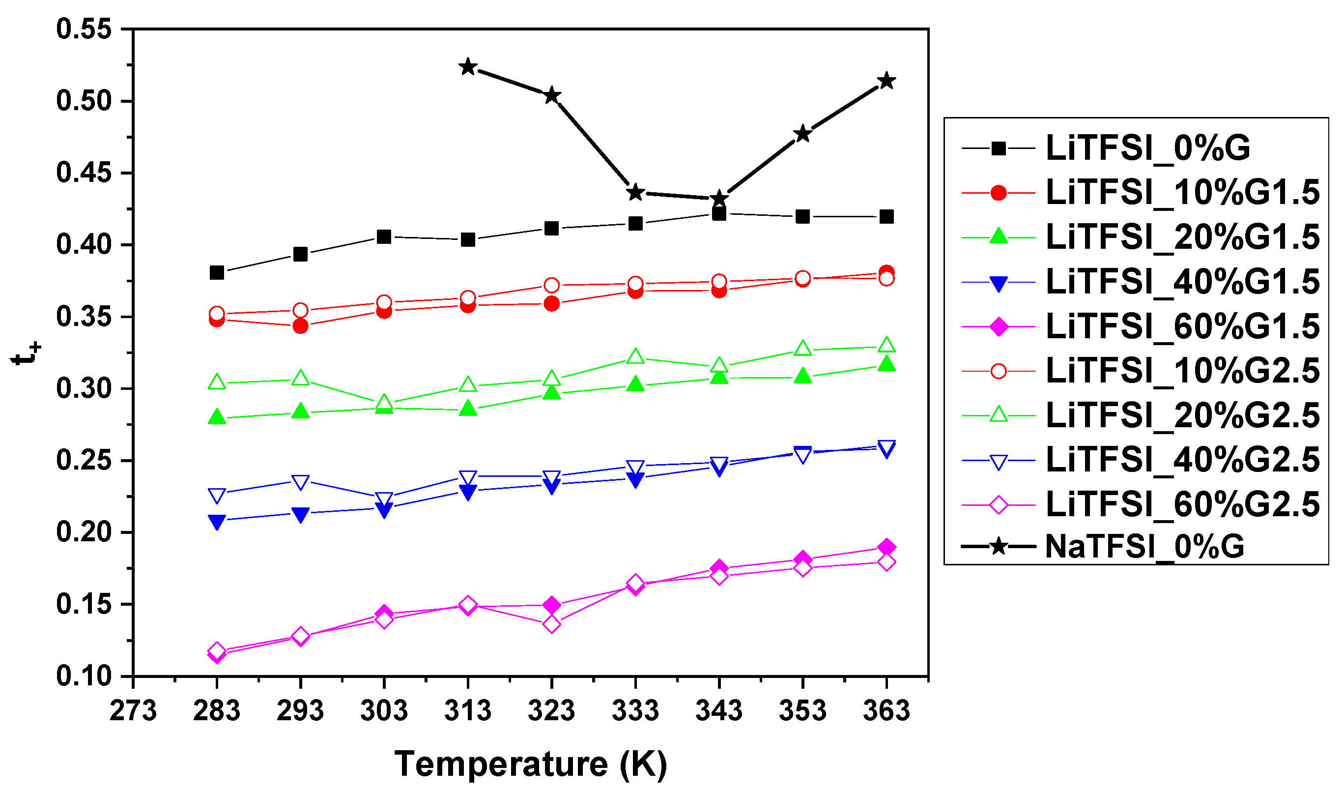
3.4. NMR Diffusometry
4. Conclusions
Supplementary Materials
Author Contributions
Funding
Conflicts of Interest
References
- Xue, Z.; He, D.; Xie, X. Poly(ethylene oxide)-based electrolytes for lithium-ion batteries. J. Mater. Chem. A 2015, 3, 19218–19253. [Google Scholar] [CrossRef]
- Meckling, J.; Nahm, J. The politics of technology bans: Industrial policy competition and green goals for the auto industry. Energy Policy 2019, 126, 470–479. [Google Scholar] [CrossRef]
- Meshram, P.; Mishra, A.; Abhilash; Sahu, R. Environmental impact of spent lithium ion batteries and green recycling perspectives by organic acids—A review. Chemosphere 2020, 242, 125291. [Google Scholar] [CrossRef] [PubMed]
- Islam, M.S.; Fisher, C.A.J. Lithium and sodium battery cathode materials: Computational insights into voltage, diffusion and nanostructural properties. Chem. Soc. Rev. 2014, 43, 185–204. [Google Scholar] [CrossRef] [PubMed]
- Dahbi, M.; Ghamouss, F.; Tran-Van, F.; Lemordant, D.; Anouti, M. Ester based electrolyte with lithium bis(trifluoromethane sulfonyl) imide salt for electrochemical storage devices: Physicochemical and electrochemical characterization. Electrochim. Acta 2012, 86, 287–293. [Google Scholar] [CrossRef]
- Aurbach, D.; Talyosef, Y.; Markovsky, B.; Markevich, E.; Zinigrad, E.; Asraf, L.; Gnanaraj, J.S.; Kim, H.-J. Design of electrolyte solutions for Li and Li-ion batteries: A review. Electrochim. Acta 2004, 50, 247–254. [Google Scholar] [CrossRef]
- Ponrouch, A.; Monti, D.; Boschin, A.; Steen, B.; Johansson, P.; Palacín, M.R. Non-aqueous electrolytes for sodium-ion batteries. J. Mater. Chem. A 2015, 3, 22–42. [Google Scholar] [CrossRef]
- Mindemark, J.; Lacey, M.J.; Bowden, T.; Brandell, D. Beyond PEO—Alternative host materials for Li+-conducting solid polymer electrolytes. Prog. Polym. Sci. 2018, 81, 114–143. [Google Scholar] [CrossRef]
- Agrawal, R.C.; Pandey, G.P. Solid polymer electrolytes: Materials designing and all-solid-state battery applications: An overview. J. Phys. D. Appl. Phys. 2008, 41. [Google Scholar] [CrossRef]
- Di Noto, V.; Lavina, S.; Giffin, G.A.; Negro, E.; Scrosati, B. Polymer electrolytes: Present, past and future. Electrochim. Acta 2011, 57, 4–13. [Google Scholar] [CrossRef]
- Abbasi, E.; Aval, S.F.; Akbarzadeh, A.; Milani, M.; Nasrabadi, H.T. Dendrimers: Synthesis, applications, and properties. Nanoscale Res. Lett. 2014, 9, 247–256. [Google Scholar] [CrossRef] [PubMed]
- Astruc, D.; Boisselier, E. Dendrimers Designed for Functions: From Physical, Photophysical, and Supramolecular Properties to Applications in Sensing, Catalysis, Molecular Electronics, Photonics, and Nanomedicine. Chem. Rev. 2010, 110, 1857–1959. [Google Scholar] [CrossRef] [PubMed]
- Mintzer, M.A.; Grinstaff, M.W. Biomedical applications of dendrimers: A tutorial. Chem. Soc. Rev. 2011, 40, 173–190. [Google Scholar] [CrossRef] [PubMed]
- Jędrzak, A.; Grześkowiak, B.F.; Coy, E.; Wojnarowicz, J.; Szutkowski, K.; Jurga, S.; Jesionowski, T.; Mrówczyński, R. Dendrimer based theranostic nanostructures for combined chemo- and photothermal therapy of liver cancer cells in vitro. Colloids Surfaces B Biointerfaces 2019, 173, 698–708. [Google Scholar] [CrossRef]
- Tomalia, D.A.; Baker, H.; Dewald, J.; Hall, M.; Kallos, G.; Martin, S.; Roeck, J.; Ryder, J.; Smith, P. A New Class of Polymers: Starburst-Dendritic Macromolecules. Polym. J. 1985, 17, 117–132. [Google Scholar] [CrossRef]
- Aydin, H.; Şenel, M.; Bozkurt, A. PAMAM type dendritic electrolytes for lithium ion battery applications. Solid State Ionics 2012, 226, 1–6. [Google Scholar] [CrossRef]
- Dillon, R.E.A.; Shriver, D.F. Ion transport and vibrational spectra of branched polymer and dendrimer electrolytes. Chem. Mater. 2001, 13, 1369–1373. [Google Scholar] [CrossRef]
- Gong, A.; Liu, C.; Chen, Y.; Zhang, X.; Chen, C.; Xi, F. A novel dendritic anion conductor: Quaternary ammonium salt of poly(amidoamine) (PAMAM). Macromol. Rapid Commun. 1999, 20, 492–496. [Google Scholar] [CrossRef]
- Naka, K.; Shinke, R.; Yamada, M.; Djouadi Belkada, F.; Aijo, Y.; Irie, Y.; Ram Shankar, S.; Sai Smaran, K.; Matsumi, N.; Tomita, S.; et al. Synthesis of imidazolium salt-terminated poly(amidoamine)-typed POSS-core dendrimers and their solution and bulk properties. Polym. J. 2014, 46, 42–51. [Google Scholar] [CrossRef]
- Gong, A.; Liu, C.; Chen, Y.; Chen, C.; Xi, F. Ionic conductivity of alkali-metal carboxylated dendritic poly(amidoamine) electrolytes and their lithium perchlorate salt complex. Polymer 2000, 41, 6103–6111. [Google Scholar] [CrossRef]
- Bhattacharya, P.; Nandasiri, M.I.; Lv, D.; Schwarz, A.M.; Darsell, J.T.; Henderson, W.A.; Tomalia, D.A.; Liu, J.; Zhang, J.G.; Xiao, J. Polyamidoamine dendrimer-based binders for high-loading lithium-sulfur battery cathodes. Nano Energy 2016, 19, 176–186. [Google Scholar] [CrossRef]
- Mijović, J.; Ristić, S.; Kenny, J. Dynamics of Six Generations of PAMAM Dendrimers As Studied by Dielectric Relaxation Spectroscopy. Macromolecules 2007, 40, 5212–5221. [Google Scholar] [CrossRef]
- Morales, D.; Ruther, R.E.; Nanda, J.; Greenbaum, S. Ion transport and association study of glyme-based electrolytes with lithium and sodium salts. Electrochim. Acta 2019, 304, 239–245. [Google Scholar] [CrossRef]
- Hayamizu, K.; Aihara, Y.; Arai, S.; Martinez, C.G. Pulse-gradient spin-echo 1H, 7Li, and 19F NMR diffusion and ionic conductivity measurements of 14 organic electrolytes containing LiN(SO2CF3)2. J. Phys. Chem. B 1999, 103, 519–524. [Google Scholar] [CrossRef] [PubMed]
- Nilsson, V.; Bernin, D.; Brandell, D.; Edström, K.; Johansson, P. Interactions and Transport in Highly Concentrated LiTFSI-based Electrolytes. ChemPhysChem 2020, 1–12. [Google Scholar] [CrossRef]
- Gouverneur, M.; Jeremias, S.; Schönhoff, M. 7Li nuclear magnetic resonance studies of dynamics in a ternary gel polymer electrolyte based on polymeric ionic liquids. Electrochim. Acta 2015, 175, 35–41. [Google Scholar] [CrossRef]
- Zhao, L.; Li, C.; Zhang, J.; Wu, Q.; Xu, T.; Cheng, Y. Interactions between dendrimers and ionic liquids revealed by pulsed field gradient and nuclear overhauser effect NMR studies. J. Phys. Chem. B 2012, 116, 7203–7212. [Google Scholar] [CrossRef]
- Richardson, P.M.; Voice, A.M.; Ward, I.M. Pulsed-Field Gradient NMR Self Diffusion and Ionic Conductivity Measurements for Liquid Electrolytes Containing LiBF4 and Propylene Carbonate. Electrochim. Acta 2014, 130, 606–618. [Google Scholar] [CrossRef]
- Carbone, L.; Munoz, S.; Gobet, M.; Devany, M.; Greenbaum, S.; Hassoun, J. Characteristics of glyme electrolytes for sodium battery: Nuclear magnetic resonance and electrochemical study. Electrochim. Acta 2017, 231, 223–229. [Google Scholar] [CrossRef]
- Makrocka-Rydzyk, M.; Wypych, A.; Dobies, M.; Jancelewicz, M.; Jurga, S.; Cho, H.Y.; Gao, H.; Matyjaszewski, K. Molecular dynamics in PBA/PEO miktoarm star copolymers. Polymer 2013, 54, 3341–3349. [Google Scholar] [CrossRef]
- Wencka, M.; Apih, T.; Korošec, R.C.; Jenczyk, J.; Jarek, M.; Szutkowski, K.; Jurga, S.; Dolinšek, J. Molecular dynamics of 1-ethyl-3-methylimidazolium triflate ionic liquid studied by 1 H and 19 F nuclear magnetic resonances. Phys. Chem. Chem. Phys. 2017, 19, 15368–15376. [Google Scholar] [CrossRef] [PubMed]
- Xu, K. Nonaqueous liquid electrolytes for lithium-based rechargeable batteries. Chem. Rev. 2004, 104, 4303–4417. [Google Scholar] [CrossRef] [PubMed]
- Esfand, R.; Tomalia, D.A. Laboratory Synthesis of Poly(amidoamine)(PAMAM) Dendrimers. Dendrimers Other Dendritic Polym. 2002, 1, 587–604. [Google Scholar] [CrossRef]
- Mei, B.-A.; Munteshari, O.; Lau, J.; Dunn, B.; Pilon, L. Physical Interpretations of Nyquist Plots for EDLC Electrodes and Devices. J. Phys. Chem. C 2018, 122, 194–206. [Google Scholar] [CrossRef]
- Stejskal, E.O.; Tanner, J.E. Spin Diffusion Measurements: Spin Echoes in the Presence of a Time-Dependent Field Gradient. J. Chem. Phys. 1965, 42, 288–292. [Google Scholar] [CrossRef]
- Geng, C.; Buchholz, D.; Kim, G.T.; Carvalho, D.V.; Zhang, H.; Chagas, L.G.; Passerini, S. Influence of Salt Concentration on the Properties of Sodium-Based Electrolytes. Small Methods 2019, 3, 1–9. [Google Scholar] [CrossRef]
- Ferry, A. Transport Property and Raman Spectroscopic Studies of the Polymer Electrolyte System P(EO)[sub n]-NaTFSI. J. Electrochem. Soc. 1998, 145, 1586. [Google Scholar] [CrossRef]
- Umebayashi, Y.; Mitsugi, T.; Fukuda, S.; Fujimori, T.; Fujii, K.; Kanzaki, R.; Takeuchi, M.; Ishiguro, S.-I. Lithium Ion Solvation in Room-Temperature Ionic Liquids Involving Bis(trifluoromethanesulfonyl) Imide Anion Studied by Raman Spectroscopy and DFT Calculations. J. Phys. Chem. B 2007, 111, 13028–13032. [Google Scholar] [CrossRef]
- Boschin, A.; Johansson, P. Characterization of NaX (X: TFSI, FSI)—PEO based solid polymer electrolytes for sodium batteries. Electrochim. Acta 2015, 175, 124–133. [Google Scholar] [CrossRef]
- Allen, J.L.; Borodin, O.; Seo, D.M.; Henderson, W.A. Combined quantum chemical/Raman spectroscopic analyses of Li+ cation solvation: Cyclic carbonate solvents—ethylene carbonate and propylene carbonate. J. Power Sources 2014, 267, 821–830. [Google Scholar] [CrossRef]
- Gorobets, M.I.; Ataev, M.B.; Gafurov, M.M.; Kirillov, S.A. Raman study of solvation in solutions of lithium salts in dimethyl sulfoxide, propylene carbonate and dimethyl carbonate. J. Mol. Liq. 2015, 205, 98–109. [Google Scholar] [CrossRef]
- Battisti, D.; Nazri, G.A.; Klassen, B.; Aroca, R. Vibrational studies of lithium perchlorate in propylene carbonate solutions. J. Phys. Chem. 1993, 97, 5826–5830. [Google Scholar] [CrossRef]
- Socrates, G. Infrared and Raman Characteristic Group Frequencies: Tables and Charts; Wiley: New York, NY, USA, 2001; ISBN 978-0-470-09307-8. [Google Scholar]
- Brodin, A.; Jacobsson, P. Dipolar interaction and molecular ordering in liquid propylene carbonate: Anomalous dielectric susceptibility and Raman non-coincidence effect. J. Mol. Liq. 2011, 164, 17–21. [Google Scholar] [CrossRef]
- Cresce, A.V.; Russell, S.M.; Borodin, O.; Allen, J.A.; Schroeder, M.A.; Dai, M.; Peng, J.; Gobet, M.P.; Greenbaum, S.G.; Rogers, R.E.; et al. Solvation behavior of carbonate-based electrolytes in sodium ion batteries. Phys. Chem. Chem. Phys. 2017, 19, 574–586. [Google Scholar] [CrossRef]
- Kumar, N.; Seminario, J.M. Lithium-Ion Model Behavior in an Ethylene Carbonate Electrolyte Using Molecular Dynamics. J. Phys. Chem. C 2016, 120, 16322–16332. [Google Scholar] [CrossRef]
- Pollard, T.P.; Beck, T.L. Structure and polarization near the Li+ ion in ethylene and propylene carbonates. J. Chem. Phys. 2017, 147, 161710. [Google Scholar] [CrossRef] [PubMed]
- Kannaiyan, D.; Imae, T. PH-Dependent encapsulation of pyrene in PPI-Core:PAMAM-shell dendrimers. Langmuir 2009, 25, 5282–5285. [Google Scholar] [CrossRef]
- Quek, J.Y.; Davis, T.P.; Lowe, A.B. Amidine functionality as a stimulus-responsive building block. Chem. Soc. Rev. 2013, 42, 7326. [Google Scholar] [CrossRef]
- CLARIDGE, T.D.W. High.-Resolution NMR Techniques in Organic Chemistry, 2nd ed.; Elsevier Linacre House: Oxford, UK; Amsterdam, The Netherlands, 2009; ISBN 9780080546285. [Google Scholar]
- Kühnel, R.S.; Balducci, A. Lithium ion transport and solvation in N -butyl- N -methylpyrrolidinium bis(trifluoromethanesulfonyl)imide-propylene carbonate mixtures. J. Phys. Chem. C 2014, 118, 5742–5748. [Google Scholar] [CrossRef]
- Hayamizu, K.; Aihara, Y.; Arai, S.; Price, W.S. Self-diffusion coefficients of lithium, anion, polymer, and solvent in polymer gel electrolytes measured using 7Li, 19F, and 1H pulsed-gradient spin-echo NMR. Electrochim. Acta 2000, 45, 1313–1319. [Google Scholar] [CrossRef]
- Saito, Y.; Yamamoto, H.; Kageyama, H.; Nakamura, O.; Miyoshi, T.; Matsuoka, M. Investigation of the solution condition of lithium electrolyte solutions with LiCF3SO3 salt. J. Mater. Sci. 2000, 35, 809–812. [Google Scholar] [CrossRef]
- Aihara, Y.; Bando, T.; Nakagawa, H.; Yoshida, H.; Hayamizu, K.; Akiba, E.; Price, W.S. Ion Transport Properties of Six Lithium Salts Dissolved in γ-Butyrolactone Studied by Self-Diffusion and Ionic Conductivity Measurements. J. Electrochem. Soc. 2004, 151, A119. [Google Scholar] [CrossRef]
- Sethurajan, A.K.; Krachkovskiy, S.A.; Halalay, I.C.; Goward, G.R.; Protas, B. Accurate Characterization of Ion Transport Properties in Binary Symmetric Electrolytes Using In Situ NMR Imaging and Inverse Modeling. J. Phys. Chem. B 2015, 119, 12238–12248. [Google Scholar] [CrossRef] [PubMed]








| Generation of Obtained Dendrimer | Composition of the Reaction Mixture | Reaction time, h | ||||
|---|---|---|---|---|---|---|
| Starting Dendrimer Solution | Methyl Acrylate Solution | |||||
| Generation | mmol | Methanol, mL | Methyl Acrylate, mmol | Methanol, mL | ||
| G- 0.5 | EDA | 40 | 20 | 225 | 20 | 48 |
| G0.5 | G0 | 20 | 20 | 200 | 20 | 48 |
| G1.5 | G1 | 20 | 40 | 400 | 50 | 48 |
| G2.5 | G2 | 16 | 120 | 650 | 100 | 48 |
| Generation of Obtained Dendrimer | Composition of the Reaction Mixture | Reaction Time, h | ||||
|---|---|---|---|---|---|---|
| Starting Dendrimer Solution | EDA Solution | |||||
| Generation | mmol | Methanol, mL | EDA, mmol | Methanol, mL | ||
| G0 | G- 0.5 | 40 | 30 | 2000 | 160 | 96 |
| G1 | G0.5 | 20 | 100 | 1200 | 120 | 96 |
| G2 | G1.5 | 16 | 120 | 6800 | 400 | 132 |
| PC | Amide H-Bonded | Amide Free | Ester | Amide/Ester | PC Sym. | PC Anti-Sym. | |||||||
|---|---|---|---|---|---|---|---|---|---|---|---|---|---|
| pos. | area | pos. | area | pos. | area | pos. | area | pos. | area | pos. | area | ||
| PC | 1636 | 2 | 1783 | 40 | 1798 | 58 | |||||||
| NaTFSI+PC | 1636 | 0 | 1786 | 32 | 1801 | 68 | |||||||
| LiTFSI+PC | 1636 | 0 | 1787 | 18 | 1797 | 82 | |||||||
| G1.5 | 1647 | 37 | 1671 | 19 | 1735 | 43 | 76 | ||||||
| G2.5 | 1645 | 44 | 1670 | 18 | 1735 | 35 | 56 | ||||||
| G1.5 in PC | 1636 | 4.5 | 1647 | 12 | 1666 | 39 | 1735 | 49 | 96 | 1785 | 29 | 1798 | 67 |
| G2.5 in PC | 1636 | 4.1 | 1648 | 19 | 1666 | 39 | 1735 | 41 | 71 | 1785 | 34 | 1798 | 62 |
| NaTFSI+G1.5+PC | 1638 | 0.3 | 1649 | 9 | 1667 | 32 | 1734 | 59 | 142 | 1788 | 26 | 1801 | 73 |
| NaTFSI+G2.5+PC | 1636 | 0.5 | 1648 | 11 | 1666 | 42 | 1735 | 46 | 86 | 1788 | 25 | 1800 | 74 |
| LiTFSI+G1.5+PC | 1637 | 0.9 | 1649 | 7 | 1667 | 23 | 1734 | 70 | 231 | 1788 | 24 | 1799 | 75 |
| LiTFSI+G2.5+PC | 1636 | 0.9 | 1649 | 10 | 1666 | 25 | 1735 | 64 | 180 | 1787 | 22 | 1798 | 77 |
| Position | Position | Area Ratio | |
|---|---|---|---|
| G1.5 | 2822 | 2845 | 66 |
| G2.5 | 2822 | 2845 | 75 |
| G1.5 in PC | 2826 | 2846 | 46 |
| G2.5 in PC | 2827 | 2846 | 46 |
| NaTFSIinPC+G1.5 | 2826 | 2846 | 43 |
| NaTFSIinPC+G2.5 | 2827 | 2847 | 41 |
| LiTFSIinPC+G1.5 | 2828 | 2848 | 22 |
| LiTFSIinPC+G2.5 | 2828 | 2848 | 20 |
© 2020 by the authors. Licensee MDPI, Basel, Switzerland. This article is an open access article distributed under the terms and conditions of the Creative Commons Attribution (CC BY) license (http://creativecommons.org/licenses/by/4.0/).
Share and Cite
Konefał, R.; Morávková, Z.; Paruzel, B.; Patsula, V.; Abbrent, S.; Szutkowski, K.; Jurga, S. Effect of PAMAM Dendrimers on Interactions and Transport of LiTFSI and NaTFSI in Propylene Carbonate-Based Electrolytes. Polymers 2020, 12, 1595. https://doi.org/10.3390/polym12071595
Konefał R, Morávková Z, Paruzel B, Patsula V, Abbrent S, Szutkowski K, Jurga S. Effect of PAMAM Dendrimers on Interactions and Transport of LiTFSI and NaTFSI in Propylene Carbonate-Based Electrolytes. Polymers. 2020; 12(7):1595. https://doi.org/10.3390/polym12071595
Chicago/Turabian StyleKonefał, Rafał, Zuzana Morávková, Bartosz Paruzel, Vitalii Patsula, Sabina Abbrent, Kosma Szutkowski, and Stefan Jurga. 2020. "Effect of PAMAM Dendrimers on Interactions and Transport of LiTFSI and NaTFSI in Propylene Carbonate-Based Electrolytes" Polymers 12, no. 7: 1595. https://doi.org/10.3390/polym12071595
APA StyleKonefał, R., Morávková, Z., Paruzel, B., Patsula, V., Abbrent, S., Szutkowski, K., & Jurga, S. (2020). Effect of PAMAM Dendrimers on Interactions and Transport of LiTFSI and NaTFSI in Propylene Carbonate-Based Electrolytes. Polymers, 12(7), 1595. https://doi.org/10.3390/polym12071595

