Non-Isothermal Crystallisation Kinetics of Polypropylene at High Cooling Rates and Comparison to the Continuous Two-Domain pvT Model
Abstract
1. Introduction
2. Experiments
2.1. Materials
2.2. Differential Scanning Calorimeter (DSC)
2.3. Flash DSC Measurements
3. Results
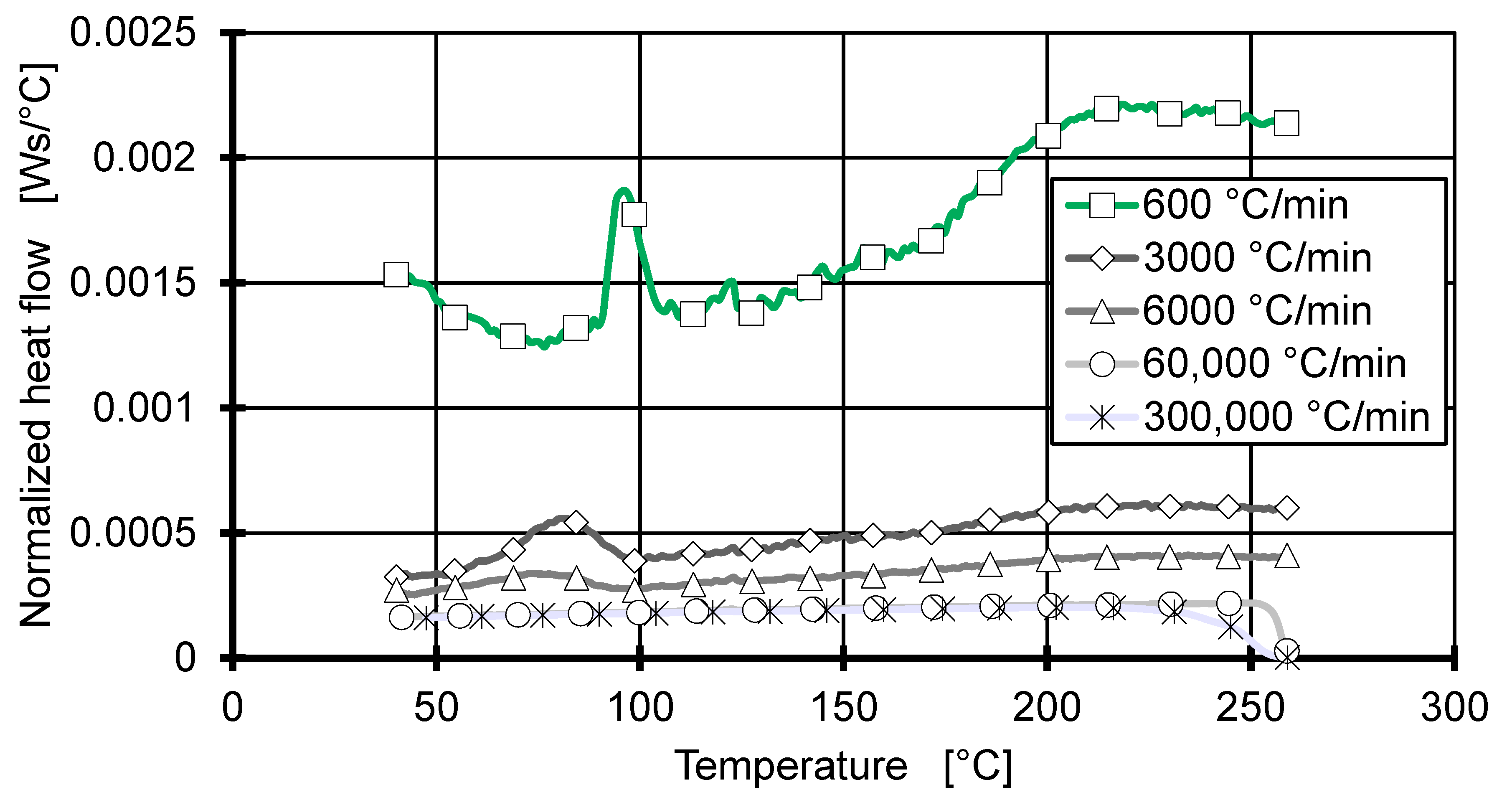
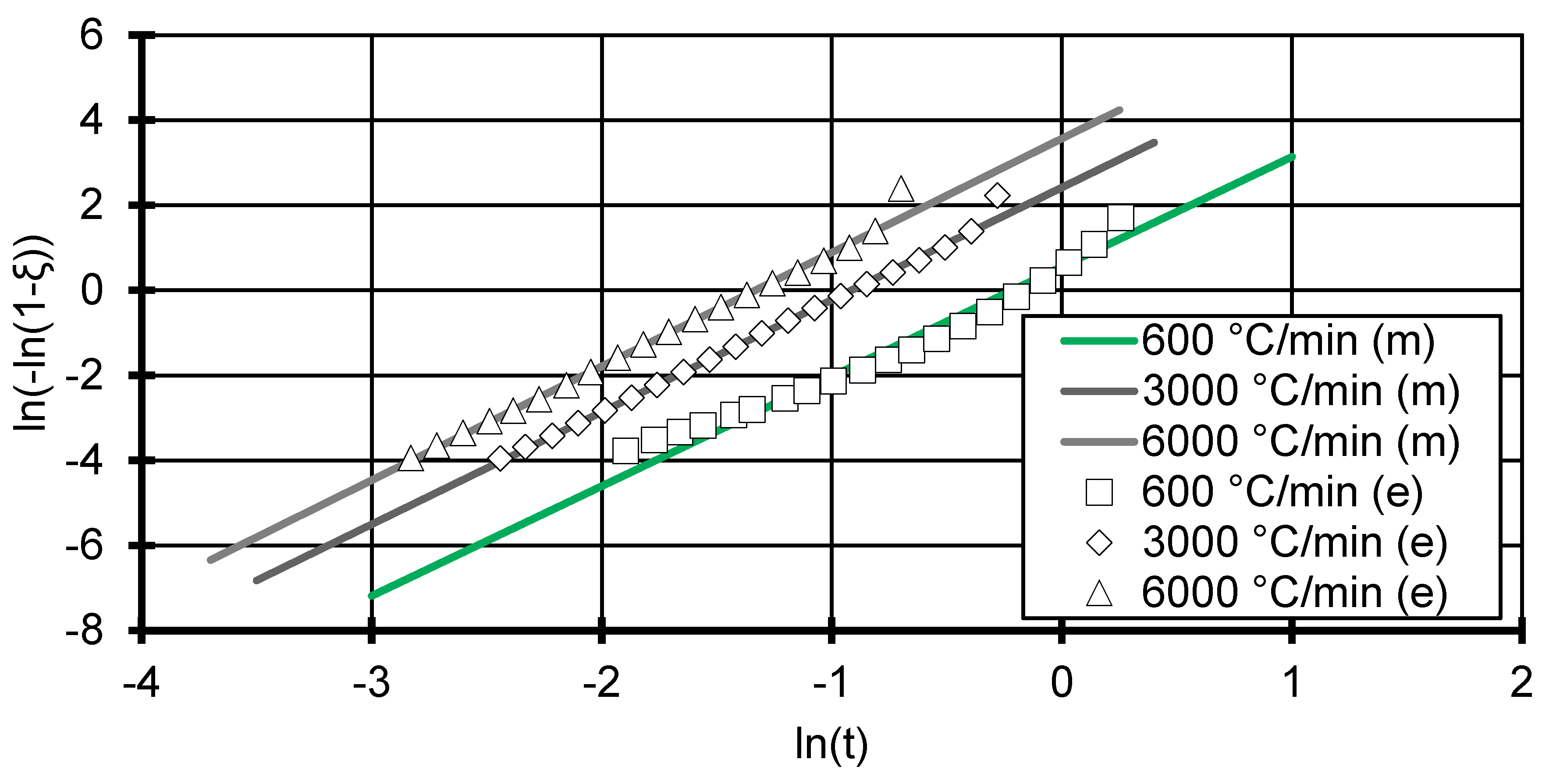
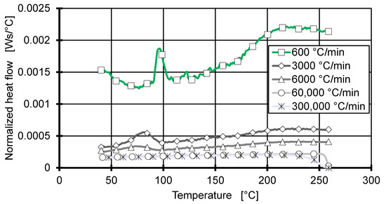
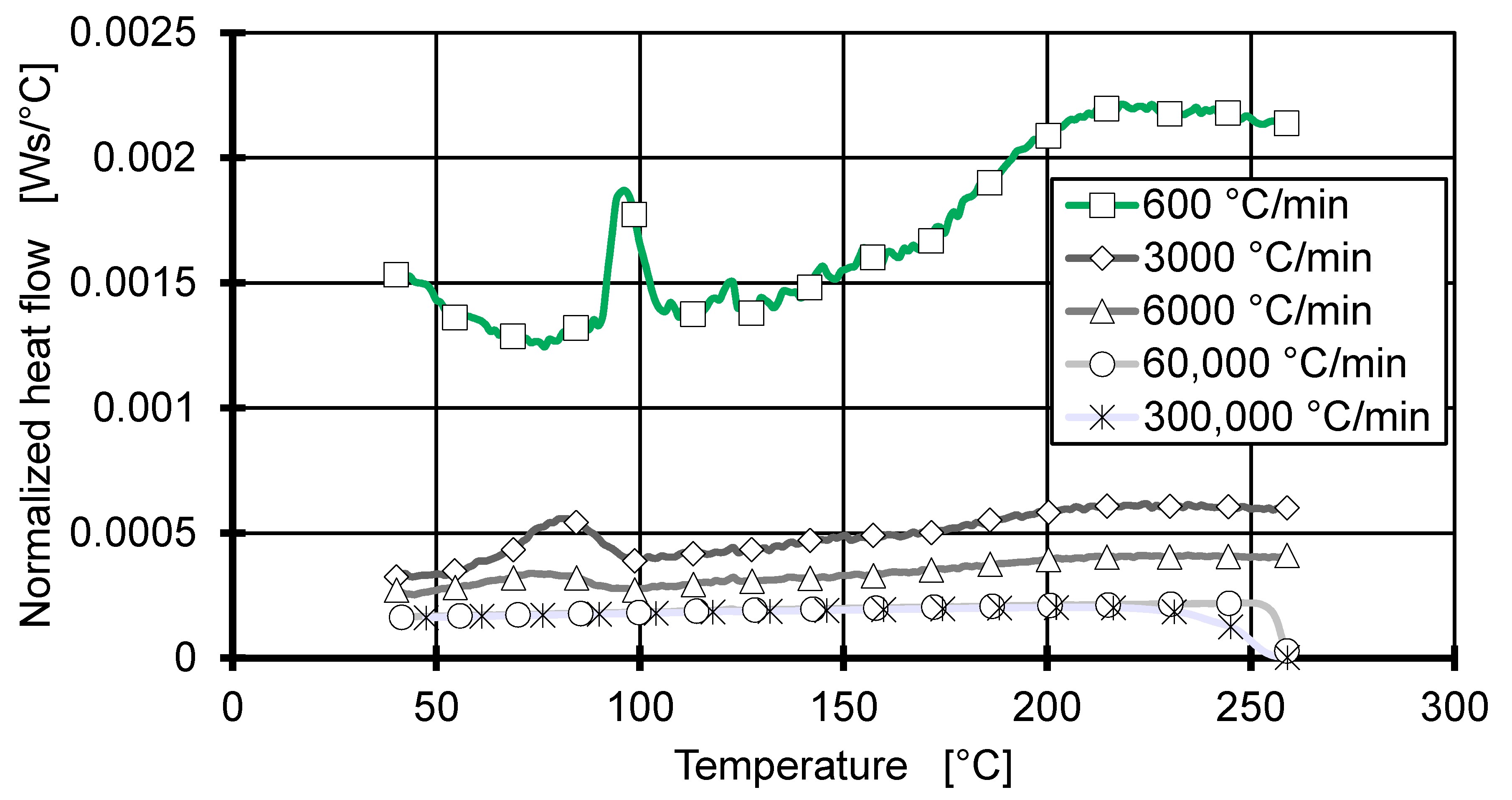
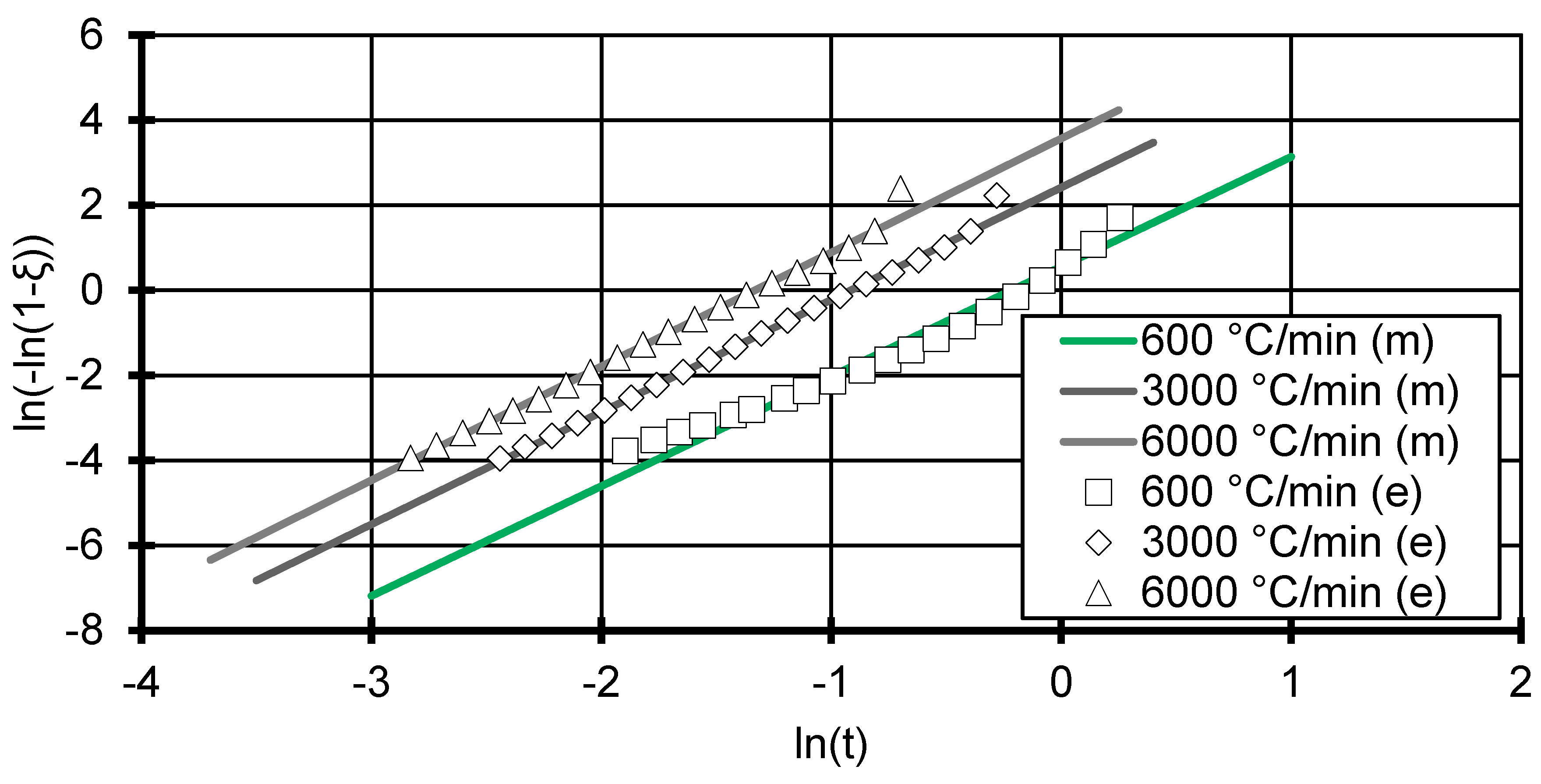
3.1. Avrami Exponent at High Cooling Rates
3.2. Hammami Model
3.3. Non-Isothermal Induction Time
3.4. Application of the Hammami Model
4. Continuous Two-Domain pvT Model
5. Conclusions and Outlook
Author Contributions
Funding
Conflicts of Interest
Abbreviations
| CTD | Continuous two-domain pvT model by Wang et al. |
| DSC | Differential scanning calorimetry |
| HL | Hoffman–Lauritzen theory |
| iPP | Isotactic polypropylene |
| MFR | Melt flow rate |
| pvT | Correlations between pressure, specific volume and temperature of polymers |
References
- Sun, X.; Su, X.; Tibbenham, P.; Mao, J.; Tao, J. The application of modified PVT data on the warpage prediction of injection molded part. J. Polym. Res. 2016, 23, 86. [Google Scholar] [CrossRef]
- Huang, C.; Hsu, Y.; Chen, B. Investigation on the internal mechanism of the deviation between numerical simulation and experiments in injection molding product development. Polym. Test. 2019, 75, 327–336. [Google Scholar] [CrossRef]
- Heidari, B.S.; Davachi, S.M.; Moghaddam, A.H.; Seyfi, J.; Hejazi, I.; Sahraeian, R.; Rashedi, H. Optimization simulated injection molding process for ultrahigh molecular weight polyethylene nanocomposite hip liner using response surface methodology and simulation of mechanical behavior. J. Mech. Behav. Biomed. Mater. 2018, 81, 95–105. [Google Scholar] [CrossRef] [PubMed]
- Wang, J. PVT properties of polymers for injection molding. In Some Critical Issues for Injection Molding; InTech: Rijeka, Croatia, 2012; pp. 3–30. [Google Scholar]
- Rodgers, P.A. Pressure–volume–temperature relationships for polymeric liquids: A review of equations of state and their characteristic parameters for 56 polymers. J. Appl. Polym. Sci. 1993, 48, 1061–1080. [Google Scholar] [CrossRef]
- Júnior, P.; José, E.; Soares, R.D.P.; Cardozo, N.S.M. Analysis of equations of state for polymers. Polímeros 2015, 25, 277–288. [Google Scholar] [CrossRef]
- Yi, Y.X.; Zoller, P. An experimental and theoretical study of the PVT equation of state of butadiene and isoprene elastomers to 200 °C and 200 MPa. J. Polym. Sci. Part B Polym. Phys. 1993, 31, 779–788. [Google Scholar] [CrossRef]
- Song, M.; Qin, Q.; Zhu, J.; Yu, G.; Wu, S.; Jiao, M. Pressure-volume-temperature properties and thermophysical analyses of AO-60/NBR composites. Polym. Eng. Sci. 2019, 59, 949–955. [Google Scholar] [CrossRef]
- Wang, J.; Hopmann, C.; Schmitz, M.; Hohlweck, T.; Wipperfürth, J. Modeling of pvT behavior of semi-crystalline polymer based on the two-domain Tait equation of state for injection molding. Mater. Des. 2019, 183, 108149. [Google Scholar] [CrossRef]
- Wang, J.; Hopmann, C.; Röbig, M.; Hohlweck, T.; Kahve, C.; Alms, J. Continuous Two-Domain Equations of State for the Description of the Pressure-Specific Volume-Temperature Behaviour of Polymers. Polymer 2020, 12, 409. [Google Scholar] [CrossRef]
- Suárez, S.A.; Naranjo, A.; López, I.D.; Ortiz, J.C. Analytical review of some relevant methods and devices for the determination of the specific volume on thermoplastic polymers under processing conditions. Polym. Test. 2015, 48, 215–231. [Google Scholar] [CrossRef]
- Zuidema, H.; Peters, G.W.M.; Meijer, H.E.H. Influence of cooling rate on pVT-data of semicrystalline polymers. J. Appl. Polym. Sci. 2001, 82, 1170–1186. [Google Scholar] [CrossRef]
- Van Drongelen, M.; Van Erp, T.B.; Peters, G.W.M. Quantification of non-isothermal, multi-phase crystallization of isotactic polypropylene: The influence of cooling rate and pressure. Polymer 2012, 53, 4758–4769. [Google Scholar] [CrossRef]
- Xie, P.; Yang, H.; Cai, T.; Li, Z.; Li, Y.; Yang, W. Study on the pressure-volume-temperature properties of polypropylene at various cooling and shear rates. Polym. Korea 2018, 42, 167–174. [Google Scholar] [CrossRef]
- Wang, J.; Hopmann, C.; Schmitz, M.; Hohlweck, T. Process dependence of pressure-specific volume-temperature measurement for amorphous polymer: Acrylonitrile-butadiene-styrene. Polym. Test. 2020, 81, 106232. [Google Scholar] [CrossRef]
- Wang, J.; Hopmann, C.; Schmitz, M.; Hohlweck, T. Influence of measurement processes on pressure-specific volume-temperature relationships of semi-crystalline polymer: Polypropylene. Polym. Test. 2019, 78, 105992. [Google Scholar] [CrossRef]
- Avrami, M. Kinetics of phase change. II transformation-time relations for random distribution of nuclei. J. Chem. Phys. 1940, 8, 212–224. [Google Scholar] [CrossRef]
- Mubarak, Y.; Harkin-Jones, E.M.A.; Martin, P.J.; Ahmad, M. Modeling of non-isothermal crystallization kinetics of isotactic polypropylene. Polymer 2001, 42, 3171–3182. [Google Scholar] [CrossRef]
- Nakamura, K.; Katayama, K.; Amano, T. Some aspects of nonisothermal crystallization of polymers. II. Consideration of the isokinetic condition. J. Appl. Polym. Sci. 1973, 17, 1031–1041. [Google Scholar] [CrossRef]
- Ozawa, T. Kinetics of non-isothermal crystallization. Polymer 1971, 12, 150–158. [Google Scholar] [CrossRef]
- Ding, Z.; Spruiell, J.E. Interpretation of the nonisothermal crystallization kinetics of polypropylene using a power law nucleation rate function. J. Polym. Sci. Part B Polym. Phys. 1997, 35, 1077–1093. [Google Scholar] [CrossRef]
- Kamal, M.R.; Chu, E. Isothermal and nonisothermal crystallization of polyethylene. Polym. Eng. Sci. 1983, 23, 27–31. [Google Scholar] [CrossRef]
- Patel, R.M.; Spruiell, J.E. Crystallization kinetics during polymer processing–analysis of available approaches for process modeling. Polym. Eng. Sci. 1991, 31, 730–738. [Google Scholar] [CrossRef]
- Hammami, A.; Spruiell, J.E.; Mehrotra, A.K. Quiescent nonisothermal crystallization kinetics of isotactic polypropylenes. Polym. Eng. Sci. 1995, 35, 797–804. [Google Scholar] [CrossRef]
- Hao, W.; Yang, W.; Cai, H.; Huang, Y. Non-isothermal crystallization kinetics of polypropylene/silicon nitride nanocomposites. Polym. Test. 2010, 29, 527–533. [Google Scholar] [CrossRef]
- Liu, X.; Wu, Q. Non-isothermal crystallization behaviors of polyamide 6/clay nanocomposites. Eur. Polym. J. 2002, 38, 1383–1389. [Google Scholar] [CrossRef]
- Somrang, N.; Nithitanakul, M.; Grady, B.P.; Supaphol, P. Non-isothermal melt crystallization kinetics for ethylene–acrylic acid copolymers and ethylene–methyl acrylate–acrylic acid terpolymers. Eur. Polym. J. 2004, 40, 829–838. [Google Scholar] [CrossRef]
- Jiasheng, Q.; Pingsheng, H. Non-isothermal crystallization of HDPE/nano-SiO 2 composite. J. Mater. Sci. 2003, 38, 2299–2304. [Google Scholar] [CrossRef]
- Isayev, A.I.; Chan, T.W.; Shimojo, K.; Gmerek, M. Injection molding of semicrystalline polymers. I. Material characterization. J. Appl. Polym. Sci. 1995, 55, 807–819. [Google Scholar] [CrossRef]
- Spekowius, M. A New Microscale Model for the Description of Crystallization of Semi-crystalline. Ph.D. Thesis, Thermoplastics RWTH University, Aachen, Germany, 2017. [Google Scholar]
- Celli, A.; Zanotto, E.D. Polymer crystallization: Fold surface free energy determination by different thermal analysis techniques. Thermochim. Acta 1995, 269, 191–199. [Google Scholar] [CrossRef]
- Yuryev, Y.; Wood-Adams, P. A Monte Carlo Simulation of Homogeneous Crystallization in Confined Spaces: Effect of Crystallization Kinetics on the Avrami Exponent. Macromol. Theory Simul. 2010, 19, 278–287. [Google Scholar] [CrossRef]
- Wunderlich, B. Crystal nucleation, growth, annealing. In Macromolecular Physics, Volume 2; Academic Press, Inc. (London) Ltd.: London, UK, 1976; pp. 115–347. [Google Scholar]
- Falkai, V.B.V. Schmelz-und kristallisationserscheinungen bei makromolekularen substanzen. I. Kristallisationskinetische untersuchungen an isotaktischem polypropylen. Makromol. Chem. Macromol. Chem. Phys. 1960, 41, 86–109. [Google Scholar] [CrossRef]
- Jeziorny, A. Parameters characterizing the kinetics of the non-isothermal crystallization of poly (ethylene terephthalate) determined by DSC. Polymer 1978, 19, 1142–1144. [Google Scholar] [CrossRef]
- Elias, H.G. Chemische Struktur und Synthese. In Makromoleküle, Band 1; Wiley-VCH: New York, NY, USA, 1977. [Google Scholar]
- Hoffman, J.D.; Davis, G.T.; Lauritzen, J.I. The rate of crystallization of linear polymers with chain folding. In Treatise on Solid State Chemistry; Springer: Boston, MA, USA, 1976; pp. 497–614. [Google Scholar]
- Lauritzen, J.I., Jr.; Hoffman, J.D. Theory of formation of polymer crystals with folded chains in dilute solution. J. Res. Natl. Bur. Stand. Sect. A Phys. Chem. 1960, 64, 73. [Google Scholar] [CrossRef]
- Sifleet, W.L.; Dinos, N.; Collier, J.R. Unsteady-state heat transfer in a crystallizing polymer. Polym. Eng. Sci. 1973, 13, 10–16. [Google Scholar] [CrossRef]
- Godovsky, Y.K.; Slonimsky, G.L. Kinetics of polymer crystallization from the melt (calorimetric approach). J. Polym. Sci. Polym. Phys. Ed. 1974, 12, 1053–1080. [Google Scholar] [CrossRef]








| Avrami Parameters | Cooling Rate (°C/min) | |||||||
|---|---|---|---|---|---|---|---|---|
| 2 | 5 | 10 | 12.4 | 20 | 600 | 3000 | 6000 | |
| 3.044 | 2.983 | 3.017 | 3.073 | 3.141 | 2.580 | 2.640 | 2.678 | |
| −16.87 | −13.77 | −11.88 | −11.63 | −11.01 | 0.55 | 2.42 | 3.57 | |
| −0.51 | −1.14 | −1.97 | −2.41 | −3.67 | 5.54 | 120.8 | 355.6 | |
| R2 | 0.9771 | 0.9734 | 0.9773 | 0.9770 | 0.9843 | 0.9693 | 0.9977 | 0.9955 |
| Fit Parameters | Cooling Rate (°C/min) | |||||||
|---|---|---|---|---|---|---|---|---|
| 2 | 5 | 10 | 12.4 | 20 | 600 | 3000 | 6000 | |
| 49.9 | 59.2 | 60.7 | 64.8 | 64.5 | 73.4 | 112.1 | 144.7 | |
| 2.81 | 3.48 | 3.48 | 3.84 | 3.72 | 3.52 | 7.46 | 11.08 | |
| R2 | 0.97 | 0.97 | 0.96 | 0.97 | 0.96 | 0.91 | 0.92 | 0.94 |
© 2020 by the authors. Licensee MDPI, Basel, Switzerland. This article is an open access article distributed under the terms and conditions of the Creative Commons Attribution (CC BY) license (http://creativecommons.org/licenses/by/4.0/).
Share and Cite
Alms, J.; Hopmann, C.; Wang, J.; Hohlweck, T. Non-Isothermal Crystallisation Kinetics of Polypropylene at High Cooling Rates and Comparison to the Continuous Two-Domain pvT Model. Polymers 2020, 12, 1515. https://doi.org/10.3390/polym12071515
Alms J, Hopmann C, Wang J, Hohlweck T. Non-Isothermal Crystallisation Kinetics of Polypropylene at High Cooling Rates and Comparison to the Continuous Two-Domain pvT Model. Polymers. 2020; 12(7):1515. https://doi.org/10.3390/polym12071515
Chicago/Turabian StyleAlms, Jonathan, Christian Hopmann, Jian Wang, and Tobias Hohlweck. 2020. "Non-Isothermal Crystallisation Kinetics of Polypropylene at High Cooling Rates and Comparison to the Continuous Two-Domain pvT Model" Polymers 12, no. 7: 1515. https://doi.org/10.3390/polym12071515
APA StyleAlms, J., Hopmann, C., Wang, J., & Hohlweck, T. (2020). Non-Isothermal Crystallisation Kinetics of Polypropylene at High Cooling Rates and Comparison to the Continuous Two-Domain pvT Model. Polymers, 12(7), 1515. https://doi.org/10.3390/polym12071515

