Axial Strength of Eccentrically Loaded FRP-Confined Short Concrete Columns
Abstract
1. Introduction
2. Experimental Program
3. Test Results and Discussion
3.1. Failure Modes and Cross-Sectional Strength
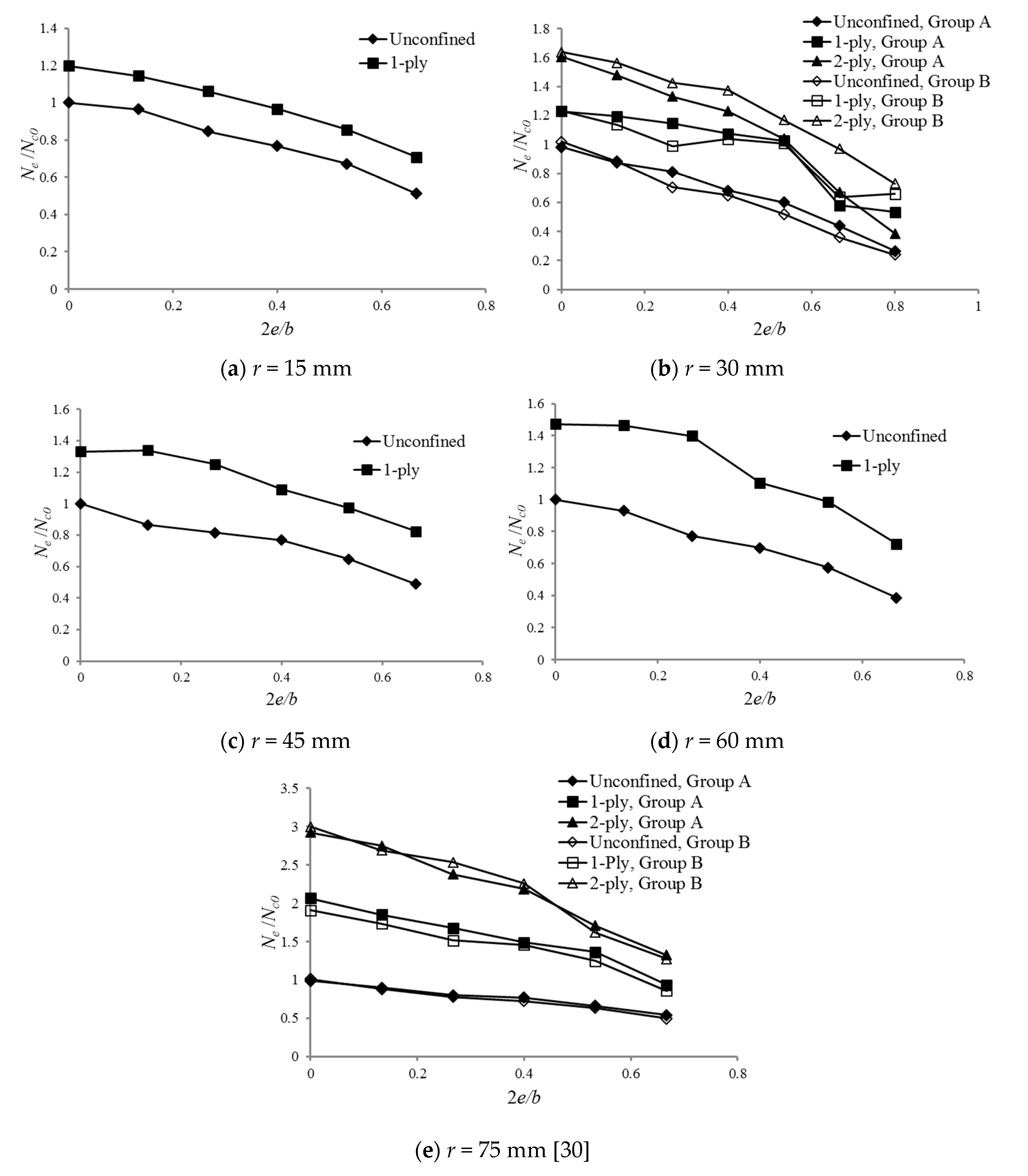
3.2. Effect of the Load Eccentricity and FRP Confinement
3.3. Effect of the Corner Radius
4. Conclusions
- (1)
- When the load eccentricity is small (e.g., 10 mm or 2e/b = 0.13), the axial strength reduction degree is limited and is occasionally close to 0. However, when the load eccentricity increases, the decrease in the axial strength is more significant.
- (2)
- FRP confinement can reduce the axial strength degradation compared with that of unconfined concrete specimens. While different confinement levels (i.e., 1 layer and 2 layers) do not have a significant influence on the strength degradation.
- (3)
- For FRP-confined square concrete specimens, the strength enhancement due to FRP confinement increases with increasing load eccentricity. However, the increasing load eccentricity decreases the confinement efficiency for FRP-confined circular concrete specimens. This is because the circular section has a much less compressive area than that of square columns for a fixed natural axis.
- (4)
- The relationship between the structural behavior of FRP-confined square columns and their corner radii (Equation (4)) can basically describe the effect of the corner radius on the axial strength of FRP-confined concrete subjected to eccentric loading.
Author Contributions
Funding
Acknowledgments
Conflicts of Interest
Nomenclature
| b | length of the side for square cross-sections and the diameter for circular sections |
| d | depth of the cross-section, = b for square cross-sections |
| e | load eccentricity |
| fco | unconfined concrete strength |
| h | height of the specimens |
| ks | shape factor for the corner radius, = (2r/b)0.72 |
| Nc | axial strength for the concentrically loaded specimens |
| Nc0 | axial strength for the concentrically loaded unconfined concrete specimen. |
| Nc-0 | Nf0 value for 2r/b = 1 (i.e., circular section) |
| Nc-f | Ne value for 2r/b = 1 (i.e., circular section) |
| Ne | axial load capacity (or axial strength) of short columns |
| Nf0 | axial strength for the unconfined concrete specimens |
| r | corner radius |
| Sc0 | structural index of the unconfined circular concrete |
| Scf | structural index of the FRP-confined circular concrete |
| Ss0 | structural index of the unconfined square concrete |
| Ssf | structural index of the FRP-confined square concrete |
| ρ | corner radius ratio, = 2r/b |
References
- Wu, Y.F.; Jiang, C.; Yuan, F.; Zhao, X.M.; Wang, J.S. Labor and Cost Efficient Construction Method for Retrofitting RC Columns with FRP; Construction Industry Council: Hong Kong, China, 2020. [Google Scholar]
- Keshtegar, B.; Gholampour, A.; Ozbakkaloglu, T.; Zhu, S.P.; Trung, N.T. Reliability analysis of FRP-confined concrete at ultimate using conjugate search direction method. Polymers 2020, 12, 707. [Google Scholar] [CrossRef] [PubMed]
- Zhou, Y.; Hu, J.; Li, M.; Sui, L.; Xing, F. FRP-confined recycled coarse aggregate concrete: Experimental investigation and model comparison. Polymers 2016, 8, 375. [Google Scholar] [CrossRef] [PubMed]
- Li, P.D.; Wu, Y.F.; Zhou, Y.; Xing, F. Stress-strain model for FRP-confined concrete subject to arbitrary load path. Compos. Part B Eng. 2019, 163, 9–25. [Google Scholar] [CrossRef]
- Zeng, J.J.; Guo, Y.; Li, L.; Chen, W. Behavior and three-dimensional finite element modeling of circular concrete columns partially wrapped with FRP strips. Polymers 2018, 10, 253. [Google Scholar] [CrossRef]
- Feng, P.; Cheng, S.; Bai, Y.; Ye, L. Mechanical behavior of concrete-filled square steel tube with FRP-confined concrete core subjected to axial compression. Compos. Struct. 2015, 123, 312–324. [Google Scholar] [CrossRef]
- Jiang, C.; Yuan, F.; Wu, Y.F.; Zhao, X.M. Effect of interfacial bond on plastic hinge length of FRP-confined RC columns. J. Compos. Constr. 2019, 23, 04019007. [Google Scholar] [CrossRef]
- Jiang, C.; Wu, Y.F.; Dai, M.J. Degradation of steel-to-concrete bond due to corrosion. Constr. Build. Mater. 2018, 158, 1073–1080. [Google Scholar] [CrossRef]
- Lin, H.; Zhao, Y.; Ozbolt, J.; Feng, P.; Jiang, C.; Eligehausen, R. Analytical model for the bond stress-slip relationship of deformed bars in normal strength concrete. Constr. Build. Mater. 2019, 198, 570–586. [Google Scholar] [CrossRef]
- Idris, Y.; Ozbakkaloglu, T. Seismic behavior of high-strength concrete-filled FRP tube columns. J. Compos. Constr. 2013, 17, 04013013. [Google Scholar] [CrossRef]
- Mohamed, H.M.; Masmoudi, R. Axial load capacity of concrete-filled FRP tube columns: Experimental versus theoretical predictions. J. Compos. Constr. 2010, 14, 231–243. [Google Scholar] [CrossRef]
- Huang, L.; Sun, X.; Yan, L.; Zhu, D. Compressive behavior of concrete confined with GFRP tubes and steel spirals. Polymers 2015, 7, 851–875. [Google Scholar] [CrossRef]
- Lam, L.; Teng, J.G. Design-oriented stress-strain model for FRP-confined concrete. Constr. Build. Mater. 2003, 17, 471–489. [Google Scholar] [CrossRef]
- Ozbakkaloglu, T.; Gholampour, A.; Lim, J.C. Damage-plasticity model for FRP-confined normal-strength and high-strength concrete. J. Compos. Constr. 2016, 20, 04016053. [Google Scholar] [CrossRef]
- Zeng, J.J.; Ye, Y.Y.; Guo, Y.C.; Lv, J.F.; Ouyang, Y.; Jiang, C. PET FRP-concrete-high strength steel hybrid solid columns with strain-hardening and ductile performance: Cyclic axial compressive behavior. Compos. Part B Eng. 2020, 190, 107903. [Google Scholar] [CrossRef]
- Jiang, C.; Wu, Y.F.; Jiang, J.F. Effect of aggregate size on stress-strain behavior of concrete confined by fiber composites. Compos. Struct. 2017, 168, 851–862. [Google Scholar] [CrossRef]
- Ozbakkaloglu, T.; Vincent, T. Axial compressive behavior of circular high-strength concrete-filled FRP tubes. J. Compos. Constr. 2014, 18, 04013037. [Google Scholar] [CrossRef]
- Pham, T.M.; Hadi, M.N. Confinement model for FRP confined normal-and high-strength concrete circular columns. Constr. Build. Mater. 2014, 69, 83–90. [Google Scholar] [CrossRef]
- Zhou, A.; Qin, R.; Chow, C.L.; Lau, D. Structural performance of FRP confined seawater concrete columns under chloride environment. Compos. Struct. 2019, 216, 12–19. [Google Scholar] [CrossRef]
- Wu, G.; Wu, Z.S.; Lü, Z.T. Design-oriented stress–strain model for concrete prisms confined with FRP composites. Constr. Build. Mater. 2007, 21, 1107–1121. [Google Scholar] [CrossRef]
- Al-Salloum, Y.A. Influence of edge sharpness on the strength of square concrete columns confined with FRP composite laminates. Compos. Part B Eng. 2007, 38, 640–650. [Google Scholar] [CrossRef]
- Ozbakkaloglu, T. Axial compressive behavior of square and rectangular high-strength concrete-filled FRP tubes. J. Compos. Constr. 2013, 17, 151–161. [Google Scholar] [CrossRef]
- Lam, L.; Teng, J.G. Design-oriented stress-strain model for FRP-confined concrete in rectangular columns. J. Reinf. Plast. Compos. 2003, 22, 1149–1186. [Google Scholar] [CrossRef]
- Wu, Y.F.; Wei, Y.Y. Effect of cross-sectional aspect ratio on the strength of CFRP-confined rectangular concrete columns. Eng. Struct. 2010, 32, 32–45. [Google Scholar] [CrossRef]
- Wei, Y.Y.; Wu, Y.F. Unified stress–strain model of concrete for FRP-confined columns. Constr. Build. Mater. 2012, 26, 381–392. [Google Scholar] [CrossRef]
- Wu, Y.F.; Wang, L.M. Unified strength model for square and circular concrete columns confined by external jacket. J. Struct. Eng. 2009, 135, 253–261. [Google Scholar] [CrossRef]
- Cao, Y.G.; Jiang, C.; Wu, Y.F. Cross-sectional unification on the stress-strain model of concrete subjected to high passive confinement by fiber-reinforced polymer. Polymers 2016, 8, 186. [Google Scholar] [CrossRef]
- El Maaddawy, T. Strengthening of eccentrically loaded reinforced concrete columns with fiber-reinforced polymer wrapping system: Experimental investigation and analytical modeling. J. Compos. Constr. 2009, 13, 13–24. [Google Scholar] [CrossRef]
- Hu, B.; Wang, J.G.; Li, G.Q. Numerical simulation and strength models of FRP-wrapped reinforced concrete columns under eccentric loading. Constr. Build. Mater. 2011, 25, 2751–2763. [Google Scholar] [CrossRef]
- Wu, Y.F.; Jiang, C. Effect of load eccentricity on the stress-strain relationship of FRP-confined concrete columns. Compos. Struct. 2013, 98, 228–241. [Google Scholar] [CrossRef]
- Lin, G.; Teng, J.G. Three-dimensional finite-element analysis of FRP-confined circular concrete columns under eccentric loading. J. Compos. Constr. 2017, 21, 04017003. [Google Scholar] [CrossRef]
- Li, J.; Hadi, M.N.S. Behaviour of externally confined high-strength concrete columns under eccentric loading. Compos. Struct. 2003, 62, 145–153. [Google Scholar] [CrossRef]
- Fam, A.; Flisak, B.; Rizkalla, S. Experimental and analytical modeling of concrete-filled fiber-reinforced polymer tubes subjected to combined bending and axial loads. ACI Struct. J. 2003, 100, 499–509. [Google Scholar]
- Tao, Z.; Teng, J.G.; Han, L.H.; Lam, L. Experimental behaviour of FRP-confined slender RC columns under eccentric loading. In Proceedings of the 2nd International Conference on Advanced Polymer Composites for Structural Applications in Construction, Surrey, UK, 20–22 April 2004; pp. 203–212. [Google Scholar]
- Hadi, M.N.S. Comparative study of eccentrically loaded FRP wrapped columns. Compos. Struct. 2006, 74, 127–135. [Google Scholar] [CrossRef]
- Hadi, M.N.S. Behaviour of FRP wrapped normal strength concrete columns under eccentric loading. Compos. Struct. 2006, 72, 503–511. [Google Scholar] [CrossRef]
- Hadi, M.N.S. Behaviour of FRP strengthened concrete columns under eccentric compression loading. Compos. Struct. 2007, 77, 92–96. [Google Scholar] [CrossRef]
- Hadi, M.N.S. The behaviour of FRP wrapped HSC columns under different eccentric loads. Compos. Struct. 2007, 78, 560–566. [Google Scholar] [CrossRef]
- Hadi, M.N.S. Behaviour of eccentric loading of FRP confined fibre steel reinforced concrete columns. Constr. Build. Mater. 2009, 23, 1102–1108. [Google Scholar] [CrossRef]
- Bisby, L.; Ranger, M. Axial-flexural interaction in circular FRP-confined reinforced concrete columns. Constr. Build. Mater. 2010, 24, 1672–1681. [Google Scholar] [CrossRef]
- Cao, Y.; Wu, Y.F.; Jiang, C. Stress-strain relationship of FRP confined concrete columns under combined axial load and bending moment. Compos. Part B Eng. 2018, 134, 207–217. [Google Scholar] [CrossRef]
- Chaallal, O.; Shahawy, M. Performance of fiber-reinforced polymer-wrapped reinforced concrete column under combined axial-flexural loading. ACI Struct. J. 2000, 97, 659–668. [Google Scholar]
- El Maaddawy, T. Behavior of corrosion-damaged RC columns wrapped with FRP under combined flexural and axial loading. Cem. Concr. Compos. 2008, 30, 524–534. [Google Scholar] [CrossRef]
- El Maaddawy, T. Post-repair performance of eccentrically loaded RC columns wrapped with CFRP composites. Cem. Concr. Compos. 2008, 30, 822–830. [Google Scholar] [CrossRef]
- Elwan, S.K.; Rashed, A.S. Experimental behavior of eccentrically loaded R.C. short columns strengthened using GFRP wrapping. Struct. Eng. Mech. 2011, 39, 207–221. [Google Scholar] [CrossRef]
- Hadi, M.N.S.; Widiarsa, I.B.R. Axial and flexural performance of square RC columns wrapped with CFRP under eccentric loading. J. Compos. Constr. 2012, 16, 640–649. [Google Scholar] [CrossRef]
- Hajsadeghi, M.; Alaee, F.J. Numerical analysis of rectangular reinforced concrete columns confined with FRP jacket under eccentric loading. In Proceedings of the 5th International Conference on FRP Composites in Civil Engineering, Beijing, China, 27–29 September 2010; pp. 658–661. [Google Scholar]
- Quiertant, M.; Clement, J.L. Behavior of RC columns strengthened with different CFRP systems under eccentric loading. Constr. Build. Mater. 2011, 25, 452–460. [Google Scholar] [CrossRef]
- Sadeghian, P.; Rahai, A.R.; Ehsani, M.R. Experimental study of rectangular RC columns strengthened with CFRP composites under eccentric loading. J. Compos. Constr. 2010, 14, 443–450. [Google Scholar] [CrossRef]
- Shaheen, E.; Shrive, N.G. Sprayed glass fibre reinforced polymer masonry columns under concentric and eccentric loading. Can. J. Civ. Eng. 2007, 34, 1495–1505. [Google Scholar] [CrossRef]
- Csuka, B.; Kollár, L.P. FRP-confined circular columns subjected to eccentric loading. J. Reinf. Plast. Composit. 2011, 30, 1167–1178. [Google Scholar] [CrossRef]
- Li, P.; Sui, L.; Xing, F.; Li, M.; Zhou, Y.; Wu, Y.F. Stress–strain relation of FRP-confined predamaged concrete prisms with square sections of different corner radii subjected to monotonic axial compression. J. Compos. Constr. 2019, 23, 04019001. [Google Scholar] [CrossRef]
- ASTM Standard Test Method for Tensile Properties of Polymer Matrix Composite Materials; D3039/D3039M-95; Annual Book of ASTM Standards: Philadelphia, PA, USA, 1995.
- Wei, Y.; Jiang, C.; Wu, Y.F. Confinement effectiveness of circular concrete-filled steel tubular columns under axial compression. J. Constr. Steel Res. 2019, 158, 15–27. [Google Scholar] [CrossRef]
- Jiang, C.; Wu, Y.F.; Wu, G. Plastic hinge length of FRP-confined square RC columns. J. Compos. Constr. 2014, 18, 04014003. [Google Scholar] [CrossRef]









| Specimen ID | r (mm) | fco (Mpa) | e (mm) | FRP Layers | Ne (kN) | Specimen ID | r (mm) | fco (Mpa) | e (mm) | FRP Layers | Ne (kN) |
|---|---|---|---|---|---|---|---|---|---|---|---|
| R15A0E0 | 15 | 25.6 | 0 | 0 | 571.8 | R30B0E60 | 30 | 35.4 | 60 | 0 | 184.9 |
| R15A0E10 | 15 | 25.6 | 10 | 0 | 551.8 | R30B1E0 | 30 | 35.6 | 0 | 1 | 952.7 |
| R15A0E20 | 15 | 25.6 | 20 | 0 | 483.8 | R30B1E10 | 30 | 35.6 | 10 | 1 | 878.7 |
| R15A0E30 | 15 | 25.6 | 30 | 0 | 438.8 | R30B1E20 | 30 | 35.6 | 20 | 1 | 764.7 |
| R15A0E40 | 15 | 25.6 | 40 | 0 | 383.8 | R30B1E30 | 30 | 35.6 | 30 | 1 | 802.7 |
| R15A0E50 | 15 | 25.6 | 50 | 0 | 292.9 | R30B1E40 | 30 | 35.6 | 40 | 1 | 778.7 |
| R15A1E0 | 15 | 30.9 | 0 | 1 | 826.7 | R30B1E50 | 30 | 35.6 | 50 | 1 | 493.8 |
| R15A1E10 | 15 | 30.9 | 10 | 1 | 788.7 | R30B1E60 | 30 | 35.6 | 60 | 1 | 509.8 |
| R15A1E20 | 15 | 30.9 | 20 | 1 | 732.7 | R30B2E0 | 30 | 40.7 | 0 | 2 | 1448.5 |
| R15A1E30 | 15 | 30.9 | 30 | 1 | 665.8 | R30B2E10 | 30 | 40.7 | 10 | 2 | 1383.5 |
| R15A1E40 | 15 | 30.9 | 40 | 1 | 589.8 | R30B2E20 | 30 | 40.7 | 20 | 2 | 1261.6 |
| R15A1E50 | 15 | 30.9 | 50 | 1 | 487.8 | R30B2E30 | 30 | 40.7 | 30 | 2 | 1215.6 |
| R30A0E0 | 30 | 35.4 | 0 | 0 | 753.7 | R30B2E40 | 30 | 40.7 | 40 | 2 | 1034.6 |
| R30A0E10 | 30 | 35.4 | 10 | 0 | 671.7 | R30B2E50 | 30 | 40.7 | 50 | 2 | 858.7 |
| R30A0E20 | 30 | 35.4 | 20 | 0 | 622.8 | R30B2E60 | 30 | 40.7 | 60 | 2 | 645.8 |
| R30A0E30 | 30 | 35.4 | 30 | 0 | 523.8 | R45A0E0 | 45 | 26.8 | 0 | 0 | 555.8 |
| R30A0E40 | 30 | 35.4 | 40 | 0 | 460.8 | R45A0E10 | 45 | 26.8 | 10 | 0 | 480.8 |
| R30A0E50 | 30 | 35.4 | 50 | 0 | 336.8 | R45A0E20 | 45 | 26.8 | 20 | 0 | 452.8 |
| R30A0E60 | 30 | 35.4 | 60 | 0 | 203.9 | R45A0E30 | 45 | 26.8 | 30 | 0 | 426.8 |
| R30A1E0 | 30 | 35.6 | 0 | 1 | 950.7 | R45A0E40 | 45 | 26.8 | 40 | 0 | 359.8 |
| R30A1E10 | 30 | 35.6 | 10 | 1 | 924.7 | R45A0E50 | 45 | 26.8 | 50 | 0 | 271.9 |
| R30A1E20 | 30 | 35.6 | 20 | 1 | 886.7 | R45A1E0 | 45 | 36.1 | 0 | 1 | 997.7 |
| R30A1E30 | 30 | 35.6 | 30 | 1 | 831.7 | R45A1E10 | 45 | 36.1 | 10 | 1 | 1003.6 |
| R30A1E40 | 30 | 35.6 | 40 | 1 | 793.7 | R45A1E20 | 45 | 36.1 | 20 | 1 | 937.7 |
| R30A1E50 | 30 | 35.6 | 50 | 1 | 447.8 | R45A1E30 | 45 | 36.1 | 30 | 1 | 816.7 |
| R30A1E60 | 30 | 35.6 | 60 | 1 | 411.8 | R45A1E40 | 45 | 36.1 | 40 | 1 | 729.7 |
| R30A2E0 | 30 | 40.7 | 0 | 2 | 1420.5 | R45A1E50 | 45 | 36.1 | 50 | 1 | 617.8 |
| R30A2E10 | 30 | 40.7 | 10 | 2 | 1308.6 | R60A0E0 | 60 | 27.6 | 0 | 0 | 534.8 |
| R30A2E20 | 30 | 40.7 | 20 | 2 | 1177.6 | R60A0E10 | 60 | 27.6 | 10 | 0 | 497.8 |
| R30A2E30 | 30 | 40.7 | 30 | 2 | 1086.6 | R60A0E20 | 60 | 27.6 | 20 | 0 | 412.8 |
| R30A2E40 | 30 | 40.7 | 40 | 2 | 918.7 | R60A0E30 | 60 | 27.6 | 30 | 0 | 372.8 |
| R30A2E50 | 30 | 40.7 | 50 | 2 | 591.8 | R60A0E40 | 60 | 27.6 | 40 | 0 | 306.9 |
| R30A2E60 | 30 | 40.7 | 60 | 2 | 340.8 | R60A0E50 | 60 | 27.6 | 50 | 0 | 205.9 |
| R30B0E0 | 30 | 35.4 | 0 | 0 | 782.7 | R60A1E0 | 60 | 36.8 | 0 | 1 | 1052.6 |
| R30B0E10 | 30 | 35.4 | 10 | 0 | 677.7 | R60A1E10 | 60 | 36.8 | 10 | 1 | 1045.6 |
| R30B0E20 | 30 | 35.4 | 20 | 0 | 541.8 | R60A1E20 | 60 | 36.8 | 20 | 1 | 999.7 |
| R30B0E30 | 30 | 35.4 | 30 | 0 | 498.8 | R60A1E30 | 60 | 36.8 | 30 | 1 | 788.7 |
| R30B0E40 | 30 | 35.4 | 40 | 0 | 398.8 | R60A1E40 | 60 | 36.8 | 40 | 1 | 703.7 |
| R30B0E50 | 30 | 35.4 | 50 | 0 | 276.9 | R60A1E50 | 60 | 36.8 | 50 | 1 | 516.8 |
© 2020 by the authors. Licensee MDPI, Basel, Switzerland. This article is an open access article distributed under the terms and conditions of the Creative Commons Attribution (CC BY) license (http://creativecommons.org/licenses/by/4.0/).
Share and Cite
Jiang, C.; Wu, Y.-F. Axial Strength of Eccentrically Loaded FRP-Confined Short Concrete Columns. Polymers 2020, 12, 1261. https://doi.org/10.3390/polym12061261
Jiang C, Wu Y-F. Axial Strength of Eccentrically Loaded FRP-Confined Short Concrete Columns. Polymers. 2020; 12(6):1261. https://doi.org/10.3390/polym12061261
Chicago/Turabian StyleJiang, Cheng, and Yu-Fei Wu. 2020. "Axial Strength of Eccentrically Loaded FRP-Confined Short Concrete Columns" Polymers 12, no. 6: 1261. https://doi.org/10.3390/polym12061261
APA StyleJiang, C., & Wu, Y.-F. (2020). Axial Strength of Eccentrically Loaded FRP-Confined Short Concrete Columns. Polymers, 12(6), 1261. https://doi.org/10.3390/polym12061261
