Mechanical Properties of a Soy Protein Isolate–Grafted–Acrylate (SGA) Copolymer Used for Wood Coatings
Abstract
1. Introduction
2. Experimental
2.1. Materials
2.2. Methods
2.2.1. Modification of Soy Protein Isolate
2.2.2. Waterborne Polyacrylate Synthesis
2.2.3. Preparation of SGA Emulsion
2.2.4. The Measurement of Grafting Ratio of SGA
2.2.5. Preparation of Film and Coating
2.2.6. Tests and Characterization
3. Results and Discussion
3.1. FTIR Analysis of Polyacrylate and SGA
3.2. TEM of Polyacrylic Emulsion and SGA
3.3. Analysis of Particle Size and Distribution of Emulsion
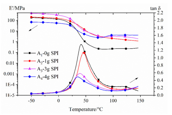
3.4. Dynamic Mechanical Analysis
3.5. Analysis of Film Mechanical Properties
3.6. Performance Analysis of Wood Coating
4. Conclusions
Author Contributions
Funding
Acknowledgments
Conflicts of Interest
References
- Xu, J.C.; Jiang, Y.; Zhang, T.; Dai, Y.T.; Yang, D.Y.; Qiu, F.X.; Yu, Z.P.; Yang, P.F. Synthesis of UV-curing waterborne polyurethane-acrylate coating and its photopolymerization kinetics using FT-IR and photo-DSC methods. Prog. Org. Coat. 2018, 122, 10–18. [Google Scholar] [CrossRef]
- Wu, Y.; Wu, J.M.; Wang, S.Q.; Feng, X.H.; Chen, H.; Tang, Q.W.; Zhang, H.Q. Measurement of mechanical properties of multilayer waterborne coatings on wood by nanoindentation. Holzforschung 2019, 73, 871–877. [Google Scholar] [CrossRef]
- Tan, J.Q.; Liu, W.Q.; Wang, H.L.; Sun, Y.; Wang, S.J. A novel mono-methacryloyloxy terminated fluorinated macromonomer used for the modification of UV curable acrylic copolymers. J. Appl. Polym. Sci. 2016, 133, 3116. [Google Scholar] [CrossRef]
- Guo, S.W.; Wang, D.; Shi, J.Y.; Li, X.; Feng, B.; Meng, L.L.; Cai, Z.Y.; Qiu, H.K.; Wei, S.Y. Study on waterborne acrylate coatings modified with biomass silicon. Prog. Org. Coat. 2019, 135, 601–607. [Google Scholar] [CrossRef]
- Duan, H.; Dong, W.; Wang, X.; Tao, X.; Ma, H. UV-curable polyurethane acrylate resin containing multiple active terminal groups for enhanced mechanical properties. J. Appl. Polym. Sci. 2019, 136. [Google Scholar] [CrossRef]
- Deng, Y.; Zhou, C.; Zhang, Q.; Zhang, M.; Zhang, H. Structure and performance of waterborne polyurethane-acrylate composite emulsions for industrial coatings: Effect of preparation methods. Colloid Polym. Sci. 2019, 298, 139–149. [Google Scholar] [CrossRef]
- Meng, Y.D.; Li, H.W. The Structure and Properties of UV-Curable Cationic Waterborne Polyurethane Acrylate. Adv. Mater. Res. 2015, 1090, 31–37. [Google Scholar] [CrossRef]
- Mishra, V.; Desai, J.; Patel, K.I. High-performance waterborne UV-curable polyurethane dispersion based on thiol–acrylate/thiol–epoxy hybrid networks. J. Coat. Technol. Res. 2017, 14, 1069–1081. [Google Scholar] [CrossRef]
- Gao, J.G.; Zhu, F.L.; Yang, J.B.; Liu, X.Q. Synthesis and Curing Kinetics of UV-Curable Waterborne Bisphenol-S Epoxy-Acrylate/Polyurethane-Acrylate/Methylacryloylpropyl-POSS Nanocomposites. J. Macromol. Sci. Part B Phys. 2014, 53, 1800–1813. [Google Scholar] [CrossRef]
- Aznar, A.C.; Pardini, O.R.; Amalvy, J.I. Glossy Topcoat Exterior Paint Formulations Using Water-Based Polyurethane/Acrylic Hybrid Binders. Prog. Org. Coat. 2006, 55, 3–49. [Google Scholar] [CrossRef]
- Dong, R.; Wang, L.M.; Zhu, J.C.; Liu, L.L.; Qian, Y.L. A novel SiO2–GO/acrylic resin nanocomposite: Fabrication, characterization and properties. Appl. Phys. A Mater. Sci. Process. 2019, 125, 551. [Google Scholar] [CrossRef]
- Ramezanzadeh, B.; Moradian, S.; Tahmasebi, N.; Khosravi, A. Studying the role of polysiloxane additives and nano-SiO2 on the mechanical properties of a typical acrylic/melamine clearcoat. Prog. Org. Coat. 2011, 72, 621–631. [Google Scholar] [CrossRef]
- Topouzi, M.; Kontonasaki, E.; Bikiaris, D.; Papadopoulou, L.; Paraskevopoulos, K.M.; Koidis, P. Reinforcement of a PMMA resin for interim fixed prostheses with silica nanoparticles. J. Mech. Behav. Biomed. Mater. 2017, 69, 213–222. [Google Scholar] [CrossRef] [PubMed]
- Hashem, M.; Al Rez, M.F.; Fouad, H.; Elsarnagawy, T.; Elsharawy, M.A.; Umar, A.; Assery, M.; Ansari, S.G. Influence of Titanium Oxide Nanoparticles on the Physical and Thermomechanical Behavior of Poly Methyl Methacrylate (PMMA): A Denture Base Resin. Sci. Adv. Mater. 2017, 9, 938–944. [Google Scholar] [CrossRef]
- Sharmin, E.; Imo, L.; Ashraf, S.M.; Ahmad, S. Acrylic-melamine modified DGEBA-epoxy coatings organic and their anticorrosive behavior. Prog. Org. Coat. 2004, 50, 47–54. [Google Scholar] [CrossRef]
- Hirose, M.; Kadowaki, F.; Zhou, J.H. The Structure and Properties of Core-Shell Type Acrylic-Polyurethane Hybrid Aqueous Emulsions. Prog. Org. Coat. 1997, 31, 157–169. [Google Scholar] [CrossRef]
- Gooch, J.W.; Dong, H.; Schork, F.J. Waterborne oil-modified polyurethane coatings via hybrid miniemulsion polymerization. J. Appl. Polym. Sci. 2000, 76, 105–114. [Google Scholar] [CrossRef]
- Dashtizadeh, A.; Abdouss, M.; Mahdavih, H.; Khorassani, M. Acrylic Coatings Exhibiting Improved Hardness, Solvent Resistance and Glossiness by using Silica Nano-Composites. Appl. Surf. Sci. 2011, 257, 2118–2125. [Google Scholar] [CrossRef]
- Antonaia, A.; Ascione, F.; Castaldo, A. Cool materials for reducing summer energy consumptions in Mediterranean climate:Inlab experiments and numerical analysis of a new coating based on acrylic paint. Appl. Therm. Eng. 2016, 102, 91–107. [Google Scholar] [CrossRef]
- Tharanathan, R.N. Biodegradable films and composite coatings: Past, present and future. Trends Food Sci. Technol. 2003, 14, 71–78. [Google Scholar] [CrossRef]
- González, A.; Alvarez Igarzabal, C.I. Study of Graft Copolymerization of Soy Protein-Methyl Methacrylate: Preparation and Characterization of Grafted Films. J. Polym. Environ. 2016, 25, 214–220. [Google Scholar] [CrossRef]
- Thakur, V.K.; Kessler, M.R. Synthesis and Characterization of AN-g-SOY for Sustainable Polymer Composites. ACS Sustain. Chem. Eng. 2014, 2, 2454–2460. [Google Scholar] [CrossRef]
- Tayeb, A.H.; Hubbe, M.A.; Tayeb, P.; Pal, L.; Rojas, O.J. Soy Proteins as a Sustainable Solution to Strengthen Recycled Paper and Reduce Deposition of Hydrophobic Contaminants in Papermaking: A Bench and Pilot-Plant Study. ACS Sustainable Chem. Eng. 2017, 5, 7211–7219. [Google Scholar] [CrossRef]
- Thakur, V.K.; Thunga, M.; Madbouly, S.A.; Kessler, M.R. PMMA-g-SOY as a sustainable novel dielectric material. RSC Adv. 2014, 4, 18240–18249. [Google Scholar] [CrossRef]
- Dastidar, T.G.; Netravali, A.N. “Green” crosslinking of native starches with malonic acid and their properties. Carbohydr. Polym. 2012, 90, 1620–1628. [Google Scholar] [CrossRef]
- Dhakal, H.N.; Zhang, Z.Y.; Guthrie, R.; MacMullen, J.; Bennett, N. Development of flax/carbon fibre hybrid composites for enhanced properties. Carbohydr. Polym. 2013, 96, 1–8. [Google Scholar] [CrossRef]
- Thakur, V.K.; Thakur, M.K.; Gupta, R.K. Graft copolymers of natural fibers for green composites. Carbohydr. Polym. 2014, 104, 87–93. [Google Scholar] [CrossRef]
- Thakur, V.K.; Thakur, M.K.; Gupta, R.K. Rapid synthesis of graft copolymers from natural cellulose fibers. Carbohydr. Polym. 2013, 98, 820–828. [Google Scholar] [CrossRef]
- Nesterenko, A.; Alric, I.; Silvestre, F.; Durrieu, V. Comparative study of encapsulation of vitamins with native and modified soy protein. Food Hydrocoll. 2014, 38, 172–179. [Google Scholar] [CrossRef]
- Liu, H.; Li, J.; Zhu, D.S.; Wang, Y.X.; Zhao, Y.; Li, J.R. Preparation of Soy Protein Isolate (SPI)-Pectin Complex Film Containing Cinnamon Oil and Its Effects on Microbial Growth of Dehydrated Soybean Curd (Dry Tofu). J. Food Process. Preserv. 2014, 38, 1371–1376. [Google Scholar] [CrossRef]
- Nishinari, K.; Fang, Y.; Guo, S.; Phillips, G.O. Soy proteins: A review on composition, aggregation and emulsification. Food Hydrocoll. 2014, 39, 301–318. [Google Scholar] [CrossRef]
- Thakur, M.K.; Thakur, V.K.; Gupta, R.K.; Pappu, A. Synthesis and Applications of Biodegradable Soy Based Graft Copolymers: A Review. ACS Sustain. Chem. Eng. 2015, 4, 1–17. [Google Scholar] [CrossRef]
- Li, S.Z.; Donner, E.; Xiao, H.N.; Thompson, M.; Zhang, Y.C.; Rempel, C.; Liu, Q. Preparation and characterization of soy protein films with a durable water resistance-adjustable and antimicrobial surface. Mater. Sci. Eng. C 2016, 69, 947–955. [Google Scholar] [CrossRef] [PubMed]
- Pattanaik, S.; Sutar, A.k.; Maharana, T. Graft copolymerization of Soy Protein Isolate with Polylactide via Ring Opening Polymerization. IOP Conf. Ser. Mater. Sci. Eng. 2018, 410. [Google Scholar] [CrossRef]
- Xi, D.L.; Yang, C.; Liu, X.Y.; Chen, M.Q.; Sun, C.; Xu, Y.L. Graft polymerization of styrene on soy protein isolate. J. Appl. Polym. Sci. 2005, 98, 1457–1461. [Google Scholar] [CrossRef]
- Yang, C.; Song, X.Q.; Sun, C.; Chen, M.Q.; Xu, Y.L.; Liu, X.Y.; Ni, Z.B. Graft copolymerization of soybean protein isolate and methacry2lic acid. J. Appl. Polym. Sci. 2006, 102, 4023–4029. [Google Scholar] [CrossRef]
- Kaith, B.S.; Jindal, R.; Bhatia, J.K. Morphological and thermal evaluation of soy protein concentrate on graft copolymerization with ethylmethacrylate. J. Appl. Polym. Sci. 2010, 120, 2183–2190. [Google Scholar] [CrossRef]
- Thakur, V.K.; Kessler, M.R. Free radical induced graft copolymerization of ethyl acrylate onto SOY for multifunctional materials. Mater. Today Commun. 2014, 1, 34–41. [Google Scholar] [CrossRef]
- Borisov, I.M.; Luksha, R.S.; Rashidova, S.T. Kinetic features of ammonium persulfate decomposition in aqueous medium. Russ. Chem. Bull. 2015, 64, 2512–2513. [Google Scholar] [CrossRef]
- Li, H.P.; Ma, B.G.; Zhou, S.M.; Zhang, L.M.; Yi, J.Z. Thermally responsive graft copolymer of soy protein isolate and N-isopropylacrylamide: Synthesis and self-assembly behavior in aqueous solution. Colloid Polym. Sci. 2010, 288, 1419–1426. [Google Scholar] [CrossRef]
- Stefanescu, E.A.; Tan, X.L.; Lin, Z.Q.; Bowler, N.; Kessler, M.R. Multifunctional fiberglass-reinforced PMMA-BaTiO3 structural/dielectric composites. Polymer 2011, 52, 2016–2024. [Google Scholar] [CrossRef]
- Stefanescu, E.A.; Tan, X.L.; Lin, Z.Q.; Bowler, N.; Kessler, M.R. Multifunctional PMMA-Ceramic composites as structural dielectrics. Polymer 2010, 51, 5823–5832. [Google Scholar] [CrossRef]
- Patel, A.N.; Patel, M.M.; Dighe, A. Influence of compositional variables on the morphological and dynamic mechanical behavior of fatty acid based self-crosslinking poly(urethane urea) anionomers. Prog. Org. Coat. 2012, 74, 443–452. [Google Scholar] [CrossRef]






| Group | A1 | A2 | A3 | A4 | A5 |
|---|---|---|---|---|---|
| / | 43% | 40% | 45% | 49% |
| FTIR Band | Attribution Group |
|---|---|
| 3463 cm−1 | stretching vibrations of the O-H and N-H groups (SPI) |
| 1736 cm−1 | C=O stretching of the ester carbonyl (polyacrylate) |
| 1663 cm−1 | amide I (C=O stretching vibration) (SPI) |
| 1541 cm−1 | amide II(N–H bending and C–N stretching vibrations) (SPI) |
| 1460 cm−1 | methyl and methylene groups(polyacrylate) |
| 1152 cm−1 | C-O stretching of the corresponding ester (polyacrylate) |
| 0 g SPI | 1 g SPI | 3 g SPI | 4g SPI | |
|---|---|---|---|---|
| Tg (°C) (tanδ max from DMA) | 41.4 | 45.4 | 38.8 | 35.0 |
| Storage modulus (E’) (MPa) at 25 °C (glassy state) | 38.12 | 68.59 | 105.99 | 25.91 |
| Storage modulus (E’) (MPa) at Tg + 40 °C (rubbery state) | 0.20 | 2.52 | 3.09 | 2.41 |
| νe (× 103 mol m−3) | 0.02 | 0.28 | 0.35 | 0.28 |
| Group | Soy Protein Fraction in Copolymer (%) | Elastic Modulus (MPa) | Elongation at Break (%) | Tensile Strength (MPa) |
|---|---|---|---|---|
| A1 | 0 | 0.3170 | 453.133 | 0.385 |
| A2 | 1.72 | 33.515 | 335.137 | 2.955 |
| A3 | 5.75 | 41.558 | 240.353 | 3.064 |
| A4 | 7.28 | 46.949 | 187.125 | 4.775 |
| A5 | 11.38 | 102.343 | 21.416 | 3.045 |
| Group | Abrasion Loss of 100 Revolutions (g) | Adhesion (Level) | Gloss 60° (Value) | Pencil Hardness |
|---|---|---|---|---|
| A1 | 0.032 | 0 | 48.2 | HB |
| A2 | 0.015 | 0 | 55.1 | HB |
| A3 | 0.023 | 1 | 65.1 | 2H |
| A4 | 0.022 | 1 | 67.3 | 3H |
| A5 | 0.020 | 2 | 66.7 | 3H |
© 2020 by the authors. Licensee MDPI, Basel, Switzerland. This article is an open access article distributed under the terms and conditions of the Creative Commons Attribution (CC BY) license (http://creativecommons.org/licenses/by/4.0/).
Share and Cite
Feng, B.; Wang, D.; Li, Y.; Qian, J.; Yu, C.; Wang, M.; Luo, D.; Wei, S. Mechanical Properties of a Soy Protein Isolate–Grafted–Acrylate (SGA) Copolymer Used for Wood Coatings. Polymers 2020, 12, 1137. https://doi.org/10.3390/polym12051137
Feng B, Wang D, Li Y, Qian J, Yu C, Wang M, Luo D, Wei S. Mechanical Properties of a Soy Protein Isolate–Grafted–Acrylate (SGA) Copolymer Used for Wood Coatings. Polymers. 2020; 12(5):1137. https://doi.org/10.3390/polym12051137
Chicago/Turabian StyleFeng, Bin, Di Wang, Yuhui Li, Junpeng Qian, Chenlei Yu, Mingsi Wang, Danni Luo, and Shuangying Wei. 2020. "Mechanical Properties of a Soy Protein Isolate–Grafted–Acrylate (SGA) Copolymer Used for Wood Coatings" Polymers 12, no. 5: 1137. https://doi.org/10.3390/polym12051137
APA StyleFeng, B., Wang, D., Li, Y., Qian, J., Yu, C., Wang, M., Luo, D., & Wei, S. (2020). Mechanical Properties of a Soy Protein Isolate–Grafted–Acrylate (SGA) Copolymer Used for Wood Coatings. Polymers, 12(5), 1137. https://doi.org/10.3390/polym12051137

