pH-Dependent Chiral Recognition of D- and L-Arginine Derived Polyamidoamino Acids by Self-Assembled Sodium Deoxycholate
Abstract
1. Introduction
2. Materials and Methods
2.1. Materials
2.2. Synthesis of ARGO7 Isomers
2.3. Characterizations
3. Results and Discussion
3.1. Synthesis of D-, L-, and D,L-ARGO7
3.2. Physico-Chemical Characterizations
3.2.1. Phase Behaviour of NaDC/Water Mixtures
3.2.2. Phase Behaviour of NaDC/Water/ARGO7 Mixtures
3.2.3. Additional Physico-Chemical Characterizations
3.2.4. Circular Dichroism (CD) of NaDC/D2O/ARGO7 Stereoisomer Mixtures
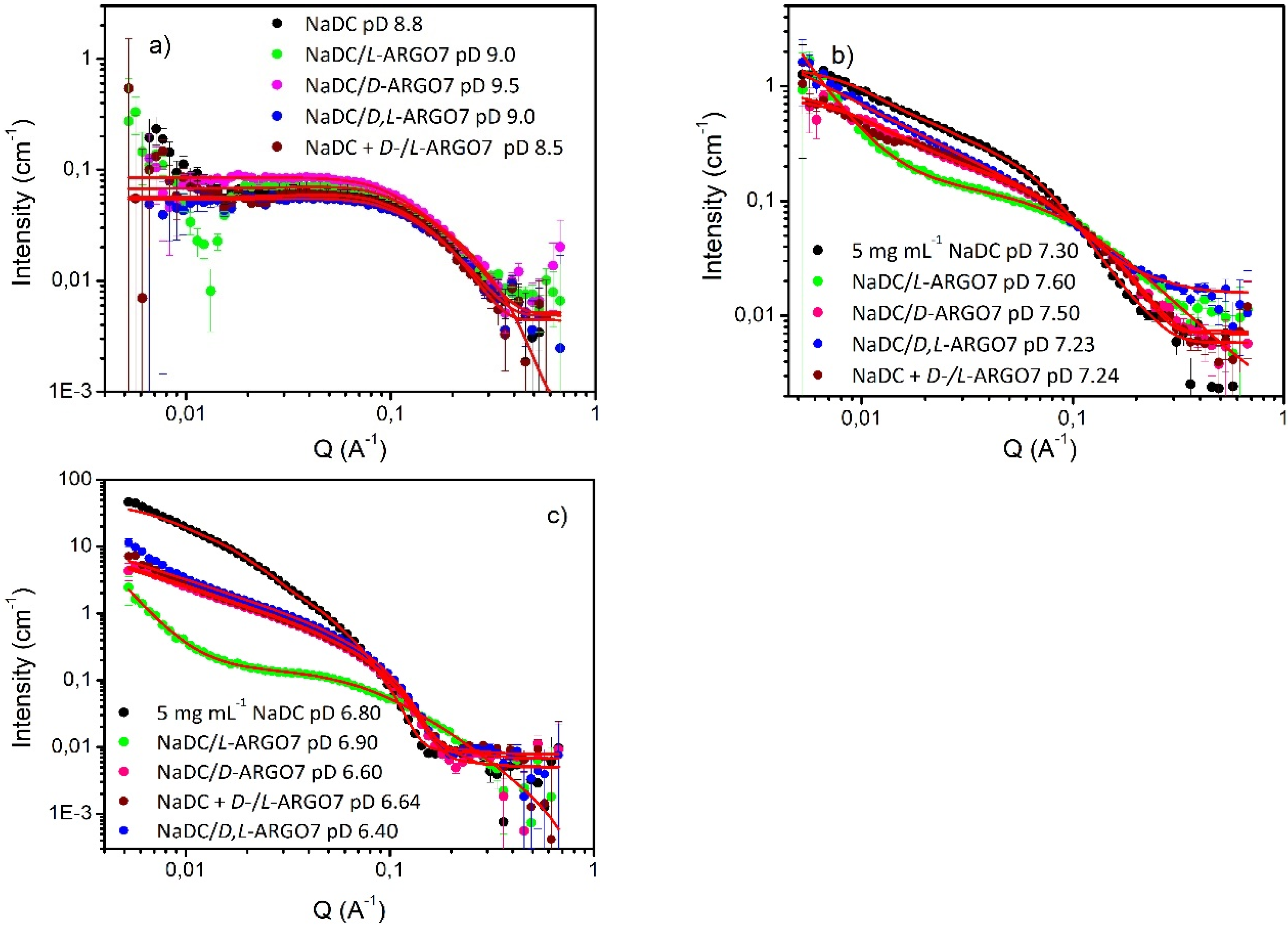
3.2.5. Small-Angle Neutron Scattering (SANS) Measurements: NaDC/D2O Systems
(i) Simple NaDC Solutions and Gels
(ii) NaDC/ARGO7 Solutions and Gels
(iii) The Effect of ARGO7 Chain Length on the NaDC/Water/ARGO7 Interaction
(iv) The Effect of NaDC/ARGO7 Molar Ratio on the NaDC/Water/ARGO7 Interaction
4. Conclusions
Supplementary Materials
Author Contributions
Funding
Acknowledgments
Conflicts of Interest
References
- Luo, R.; Zhu, M.; Shen, X.; Li, S. Polymer catalyst with self-assembled hierarchical access for sortable catalysis. J. Catal. 2015, 331, 49–56. [Google Scholar] [CrossRef]
- Evans, C.A.; Skey, J.; Wright, M.; Qu, W.; Ondeck, C.; Longbottom, D.A.; O’ Reilly, R.K. Functional and tuneable amino acid polymers prepared by RAFT polymerization. J. Polym. Sci. A 2009, 47, 6814–6826. [Google Scholar] [CrossRef]
- Kristensen, T.E.; Vestli, K.; Jakobsen, M.G.; Hansen, F.K.; Hansen, T. A general approach for preparation of polymer-supported chiral organocatalysts via acrylic copolymerization. J. Org. Chem. 2010, 75, 1620–1629. [Google Scholar] [CrossRef] [PubMed]
- Itsuno, S.; Hassan, M.M. Polymer-immobilized chiral catalysts. RSC Adv. 2014, 4, 52023–52043. [Google Scholar] [CrossRef]
- Liang, J.; Yang, B.; Deng, J. Polylactide-based chiral particles with enantio-differentiating release ability. Chem. Eng. Sci. 2018, 344, 262–269. [Google Scholar] [CrossRef]
- Quiñones, J.P.; Peniche, H.; Peniche, C. Chitosan based self-assembled nanoparticles in drug delivery. Polymers 2018, 10, 235. [Google Scholar] [CrossRef]
- Morioka, K.; Suito, Y.; Isobe, Y.; Habaue, S.; Okamoto, Y. Synthesis and chiral recognition ability of optically active poly{N-[(R)-α-methoxycarbonylbenzyl]methacrylamide} with various tacticities by radical polymerization using Lewis acids. J. Polym. Sci. A Polym. Chem. 2003, 41, 3354–3360. [Google Scholar] [CrossRef]
- Shen, J.; Okamoto, Y. Efficient separation of enantiomers using stereoregular chiral polymers. Chem. Rev. 2016, 116, 1094–1138. [Google Scholar] [CrossRef]
- Mastai, Y.; Sedlak, M.; Colfen, H.; Antonietti, M. The separation of racemic crystals into enantiomers by chiral block copolymers. Chem. Eur. J. 2002, 8, 2430–2437. [Google Scholar] [CrossRef]
- Menahem, T.; Mastai, Y. Chiral soluble polymers and microspheres for enantioselective crystallization. J. Polym. Sci. A Polym. Chem. 2006, 44, 3009–3017. [Google Scholar] [CrossRef]
- Menahem, T.; Pravda, M.; Mastai, Y. Correlation between structures of chiral polymers and their efficiency for chiral resolution by crystallization. Chirality 2009, 21, 862–870. [Google Scholar] [CrossRef] [PubMed]
- Fukuhara, G. Polymer-based supramolecular sensing and application to chiral photochemistry. Polym. J. 2015, 47, 649–655. [Google Scholar] [CrossRef]
- Fukuhara, G.; Inoue, Y. Chirality-sensing binaphthocrown ether-polythiophene conjugate. Chem. Eur. J. 2010, 16, 7859–7864. [Google Scholar] [CrossRef] [PubMed]
- Yashima, E.; Maeda, K.; Nishimura, T. Detection and amplification of chirality by helical polymers. Chem. Eur. J. 2004, 10, 42–51. [Google Scholar] [CrossRef]
- Dai, C.; Yang, D.; Zhang, W.; Bao, B.; Cheng, Y.; Wang, L. Far-red/near-infrared fluorescent conjugated polymer nanoparticles with size-dependent chirality and cell imaging applications. Polym. Chem. 2015, 6, 3962–3969. [Google Scholar] [CrossRef]
- Sanda, F.; Nakamura, M.; Endo, T. Syntheses and Radical Copolymerization Behavior of Optically Active Methacrylamides Having L- and D-Leucine Moieties. Interaction between L- and D-Forms. Macromolecules 1996, 29, 8064–8068. [Google Scholar] [CrossRef]
- Casolaro, M.; Casolaro, I. Stimuli-Responsive Hydrogels Bearing-Amino Acid Residues: A Potential Platform for Future Therapies. J. Biomed. Eng. Med. Device 2016, 1, 111. [Google Scholar] [CrossRef]
- Mori, H.; Kato, I.; Endo, T. Dual-Stimuli-Responsive Block Copolymers Derived from Proline Derivatives. Macromolecules 2009, 42, 4985–4992. [Google Scholar] [CrossRef]
- Gao, G.; Sanda, F.; Masuda, T. Synthesis and Properties of Amino Acid-Based Polyacetylenes. Macromolecules 2003, 36, 3932–3937. [Google Scholar] [CrossRef]
- Cheuk, K.K.L.; Li, B.S.; Lam, J.W.Y.; Xie, Y.; Tang, B.Z. Synthesis, Chain Helicity, Assembling Structure, and Biological Compatibility of Poly(Phenylacetylene)s Containing L-Alanine Moieties. Macromolecules 2008, 41, 5997–6005. [Google Scholar] [CrossRef]
- Hopkins, T.E.; Pawlow, J.H.; Koren, D.L.; Deters, K.S.; Solivan, S.M.; Davis, J.A.; Gómez, F.J.; Wagener, K.B. Chiral Polyolefins Bearing Amino Acids. Macromolecules 2001, 34, 7920–7922. [Google Scholar] [CrossRef]
- Sanda, S.; Endo, T. Synthesis and Cationic Polymerization of A Novel Optically Active Vinyl Ether with L-Proline Structure. Macromol. Chem. Phys. 1997, 198, 1209–1216. [Google Scholar] [CrossRef]
- Allcock, H.R.; Pucher, S.R.; Scopelianos, A.G. Poly[(Amino Acid Ester)Phosphazenes] as Substrates for the Controlled Release of Small Molecules. Biomaterials 1994, 15, 563–569. [Google Scholar] [CrossRef]
- Ferruti, P.; Mauro, N.; Falciola, L.; Pifferi, V.; Bartoli, C.; Gazzarri, M.; Chiellini, F.; Ranucci, E. Amphoteric, prevailingly cationic L-Arginine polymers of poly(amidoamino acid) structure: Synthesis, acid/base properties and preliminary cytocompatibility and cell-permeating characterizations. Macromol. Biosci. 2014, 14, 390–400. [Google Scholar] [CrossRef]
- Manfredi, A.; Mauro, N.; Terenzi, A.; Alongi, J.; Lazzari, F.; Ganazzoli, F.; Raffaini, G.; Ranucci, E.; Ferruti, P. Self-ordering secondary structure of D- and L-Arginine-derived polyamidoamino acids. ACS Macro Lett. 2017, 6, 987–991. [Google Scholar] [CrossRef]
- Lazzari, F.; Manfredi, A.; Alongi, J.; Mendichi, R.; Ganazzoli, F.; Raffaini, G.; Ferruti, P.; Ranucci, E. Self-structuring in water of polyamidoamino acids with hydrophobic side chains deriving from natural α-amino acids. Polymers 2018, 10, 1261. [Google Scholar] [CrossRef]
- Lazzari, F.; Manfredi, A.; Alongi, J.; Marinotto, D.; Ferruti, P.; Ranucci, E. D-, L- and D,L-Tryptophan-Based Polyamidoamino Acids: pH-Dependent Structuring and Fluorescent Properties. Polymers 2019, 11, 543. [Google Scholar] [CrossRef]
- Ferruti, F.; Alongi, J.; Manfredi, A.; Ranucci, E.; Ferruti, P. Controlled Synthesis of Linear Polyamidoamino Acids. Polymers 2019, 11, 1324. [Google Scholar] [CrossRef]
- Manfredi, A.; Carosio, F.; Ferruti, P.; Ranucci, E.; Alongi, J. Linear polyamidoamines as novel biocompatible phosphorus-free surface confined intumescent flame retardants for cotton fabrics. Polym. Degrad. Stab. 2018, 151, 52–64. [Google Scholar] [CrossRef]
- Alongi, J.; Ferruti, P.; Manfredi, A.; Carosio, F.; Feng, Z.; Hakkarainen, M.; Ranucci, E. Superior flame retardancy of cotton by synergetic effect of cellulose-derived nano-graphene oxide carbon dots and disulphide-containing polyamidoamines. Polym. Degrad. Stab. 2019, 169, 108993. [Google Scholar] [CrossRef]
- Manfredi, A.; Carosio, F.; Ferruti, P.; Alongi, J.; Ranucci, E. Disulfide-containing polyamidoamines with remarkable flame-retardant activity for cotton fabrics. Polym. Degrad. Stab. 2018, 156, 1–13. [Google Scholar] [CrossRef]
- Emilitri, E.; Ferruti, P.; Annunziata, R.; Ranucci, E.; Rossi, M.; Falciola, L.; Mussini, P.; Chiellini, F.; Bartoli, C. Novel amphoteric cystine-based poly(amidoamine)s responsive to redox stimuli. Macromolecules 2007, 40, 4785–4793. [Google Scholar] [CrossRef]
- Galantini, L.; di Gregorio, M.C.; Gubitosi, M.; Travaglini, L.; Tato, J.V.; Jover, A.; Meijide, F.; Tellini, V.H.S.; Pavel, N.V. Bile salts and derivatives: Rigid unconventional amphiphiles as dispersants, carriers and superstructure building blocks. Curr. Opin. Colloid Interface Sci. 2015, 20, 170–182. [Google Scholar] [CrossRef]
- Qiao, Y.; Lin, Y.; Yang, Z.; Chen, H.; Zhang, S.; Yan, Y.; Huang, J. Unique temperature-dependent supramolecular self-assembly: From hierarchical 1D nanostructures to super hydrogel. J. Phys. Chem. B 2010, 114, 11725–11730. [Google Scholar] [CrossRef] [PubMed]
- Terech, P.; Jean, B.; Ne, F. Hexagonally ordered ammonium lithocholate self-assembled nanotubes with highly monodisperse sections. Adv. Mater. 2006, 18, 1571–1574. [Google Scholar] [CrossRef]
- Wang, H.; Xu, W.; Song, S.; Feng, L.; Song, A.; Hao, J. Hydrogels facilitated by monovalent cations and their use as efficient dye adsorbents. J. Phys. Chem. B 2014, 118, 4693–4701. [Google Scholar] [CrossRef]
- Mukhopadhyay, S.; Maitra, U. Chemistry and biology of bile acids. Curr. Sci. 2004, 87, 1666–1683. [Google Scholar]
- Singh, J.; Unlu, Z.; Ranganathan, R. Aggregate properties of sodium deoxycholate and dimyristoylphosphatidylcholine mixed micelles. J. Phys. Chem. 2008, 112, 3997–4008. [Google Scholar] [CrossRef]
- Kiselev, M.A.; Janich, M.; Hildebrand, A.; Strunz, P.; Neubert, R.H.H.; Lombardo, D. Structural transition in aqueous lipid/bile salt [DPPC/NaDC] supramolecular aggregates: SANS and DLS study. Chem. Phys. 2013, 424, 93–99. [Google Scholar] [CrossRef]
- Mangiapia, G.; D’Errico, G.; Capuano, F.; Ortona, O.; Heenan, R.K.; Paduano, L.; Sartorio, R. On the interpretation of transport properties of sodium cholate and sodium deoxycholate in binary and ternary aqueous mixtures. Phys. Chem. Chem. Phys. 2011, 13, 15906–15917. [Google Scholar] [CrossRef]
- Lopez, F.; Samseth, J.; Mortensen, K.; Rosenqvist, E.; Rouch, J. Micro- and Macrostructural studies of sodium deoxycholate micellar complexes in aqueous solutions. Langmuir 1996, 12, 6188–6196. [Google Scholar] [CrossRef]
- Blow, D.M.; Rich, A. Studies on the formation of helical deoxycholate complexes. J. Am. Chem. Soc. 1960, 82, 3566–3571. [Google Scholar] [CrossRef]
- Holm, R.; Müllertz, A.; Mub, H. Bile salts and their importance for drug absorption. Int. J. Pharm. 2013, 453, 44–55. [Google Scholar] [CrossRef] [PubMed]
- Wiedmann, T.S.; Liang, W.; Kamel, L. Solubilization of drugs by physiological mixtures of bile salts. Pharm. Res. 2002, 19, 1203–1208. [Google Scholar] [CrossRef]
- Zhao, Y. Facial amphiphiles in molecular recognition: From unusual aggregates to solvophobically driven foldamers. Curr. Opin. Colloid Interface Sci. 2007, 12, 92–97. [Google Scholar] [CrossRef]
- Zhang, S.; Xie, J.; Liu, C. Microenvironmental properties and chiral discrimination abilities of bile salt micelles by fluorescence probe technique. Anal. Chem. 2003, 75, 91–97. [Google Scholar] [CrossRef]
- Clothier, J.G., Jr.; Daley, L.M.; Tomellini, S.A. Effects of bile salt structure on chiral separations with mixed micelles of bile salts and polyoxyethylene ethers using micellar electrokinetic capillary chromatography. J. Chromatogr. B 1996, 683, 37–45. [Google Scholar] [CrossRef]
- Nishi, H.; Fukuyama, T.; Matsuo, M.; Terabe, S. Chiral separation of diltiazem, trimetoquinol and related compounds by micellar electrokinetic chromatography with bile salts. J. Chromatogr. A 1990, 515, 233–243. [Google Scholar] [CrossRef]
- Cole, R.O.; Sepaniak, M.J.; Hinze, W.L. Optimization of binaphthyl enantiomer separations by capillary zone electrophoresis using mobile phases containing bile salts and organic solvent. J. High. Resolut. Chromatogr. 1990, 13, 579–582. [Google Scholar] [CrossRef]
- Arnold, O.; Bilheux, J.C.; Borreguero, J.M.; Buts, A.; Campbell, S.I.; Chapon, L.; Doucet, M.; Draper, N.; Ferraz Leal, R.; Gigg, M.A.; et al. Mantid—Data analysis and visualization package for neutron scattering and μSR experiments. Nucl. Instrum. Meth. A 2014, 764, 156–166. [Google Scholar] [CrossRef]
- Vold, R.D.; McBain, J.W. The solubility curve of sodium deoxycholate in water. J. Am. Chem. Soc. 1941, 63, 1296–1298. [Google Scholar] [CrossRef]
- Madenci, D.; Egelhaaf, S.U. Self-assembly in aqueous bile salt solutions. Curr. Opin. Colloid Interface Sci. 2010, 15, 109–115. [Google Scholar] [CrossRef]
- Hayter, J.B.; Penfold, J. An analytic structure factor for macroion solutions. Mol. Phys. 1981, 42, 109–118. [Google Scholar] [CrossRef]
- Hansen, J.P.; Hayter, J.B. A rescaled MSA structure factor for dilute charged colloidal dispersions. Mol. Phys. 1982, 46, 651–656. [Google Scholar] [CrossRef]





| pD | Mathematical Model | SLD (10−6 Å−2) | Rminor (Å) | Axis Ratio | Length (Å) | Rpolar (Å) | Requatorial (Å) | Charge (e) |
|---|---|---|---|---|---|---|---|---|
| 8.80 | Hydrated Ellipsoid | 1.5 ± 0.1 | - | - | - | 23 ± 1 | 9 | 21 ± 3 |
| 7.30 | Hydrated Elliptical Cylinder | 1.3 | 11 | 3 | 490 ± 20 | - | - | 58 ± 2 |
| 6.80 | Hydrated Elliptical Cylinder | 1.4 | 23 | 5 | 630 ± 25 | - | - | 61 ± 1 |
| pD | Polymer | Rminor (Å) | Axis Ratio | Length (Å) | Rpolar (Å) | Requatorial (Å) | Charge (e) |
|---|---|---|---|---|---|---|---|
| 8.50–9.50 | L-ARGO7 | - | - | - | 22 ± 1 | 8 ± 0.3 | 17 ± 3 |
| D-ARGO7 | - | - | - | 26 ± 1 | 9 ± 0.2 | 17 ± 2 | |
| D,L-ARGO7 | - | - | - | 22 ± 1 | 9 ± 0.3 | 17 ± 3 | |
| D-/L-ARGO7 | - | - | - | 22 ± 0.6 | 9 ± 0.3 | 25 ± 4 | |
| 7.30–7.50 | D-ARGO7 | 5 ± 0.6 | 2 ± 0.3 | 429 ± 24 | - | - | 44 ± 2 |
| D,L-ARGO7 | 5 ± 1 | 3 ± 1 | 505 ± 34 | - | - | 40 ± 3 | |
| D-/L-ARGO7 | 9 ± 0.6 | 1 ± 0.2 | 540 ± 27 | - | - | 66 ± 2 | |
| 7.30–7.60 | D-ARGO7a* | 7 ± 1 | 2 | 589 ± 27 | - | - | 35 ± 1 |
| D,L-ARGO7a* | 5 ± 1 | 2 | 530 ± 30 | - | - | 50 ± 2 | |
| D-/L-ARGO7a* | 9 ± 1 | 3 | 550 ± 34 | - | - | 33 ± 1 | |
| 6.60–6.90 | D-ARGO7 | 14 | 2 | > 650 | - | - | 10 ± 1 |
| D,L-ARGO7 | 16 | 2 | > 650 | - | - | 4 ± 1 | |
| D-/L-ARGO7 | 16 | 2 | > 650 | - | - | 5 ± 1 |
| pD | Polymer | Correlation Length (Å) | Porod’s Exponent | Lorentz’s Exponent (Å−2) |
|---|---|---|---|---|
| 7.30–7.50 | L-ARGO7 | 11 | 2.7 | 2.0 |
| 7.30–7.50 | L-ARGO7a* | 8 | 3.9 ± 0.1 | 3.6 ± 0.1 |
| 6.60–6.90 | L-ARGO7 | 13 | 3.5 | 2.2 |
© 2020 by the authors. Licensee MDPI, Basel, Switzerland. This article is an open access article distributed under the terms and conditions of the Creative Commons Attribution (CC BY) license (http://creativecommons.org/licenses/by/4.0/).
Share and Cite
Lazzari, F.; Alexander, B.D.; Dalgliesh, R.M.; Alongi, J.; Ranucci, E.; Ferruti, P.; Griffiths, P.C. pH-Dependent Chiral Recognition of D- and L-Arginine Derived Polyamidoamino Acids by Self-Assembled Sodium Deoxycholate. Polymers 2020, 12, 900. https://doi.org/10.3390/polym12040900
Lazzari F, Alexander BD, Dalgliesh RM, Alongi J, Ranucci E, Ferruti P, Griffiths PC. pH-Dependent Chiral Recognition of D- and L-Arginine Derived Polyamidoamino Acids by Self-Assembled Sodium Deoxycholate. Polymers. 2020; 12(4):900. https://doi.org/10.3390/polym12040900
Chicago/Turabian StyleLazzari, Federica, Bruce D. Alexander, Robert M. Dalgliesh, Jenny Alongi, Elisabetta Ranucci, Paolo Ferruti, and Peter C. Griffiths. 2020. "pH-Dependent Chiral Recognition of D- and L-Arginine Derived Polyamidoamino Acids by Self-Assembled Sodium Deoxycholate" Polymers 12, no. 4: 900. https://doi.org/10.3390/polym12040900
APA StyleLazzari, F., Alexander, B. D., Dalgliesh, R. M., Alongi, J., Ranucci, E., Ferruti, P., & Griffiths, P. C. (2020). pH-Dependent Chiral Recognition of D- and L-Arginine Derived Polyamidoamino Acids by Self-Assembled Sodium Deoxycholate. Polymers, 12(4), 900. https://doi.org/10.3390/polym12040900

