Production and Characterization of Large-Scale Recycled Newspaper Enhanced HDPE Composite Laminates
Abstract
1. Introduction
2. Materials and Methods
2.1. Materials
2.2. Composite Fabrication
2.3. Mechanical Testing
2.4. Water Uptake Testing
2.5. Scanning Electron Microscopy
3. Results and Discussion
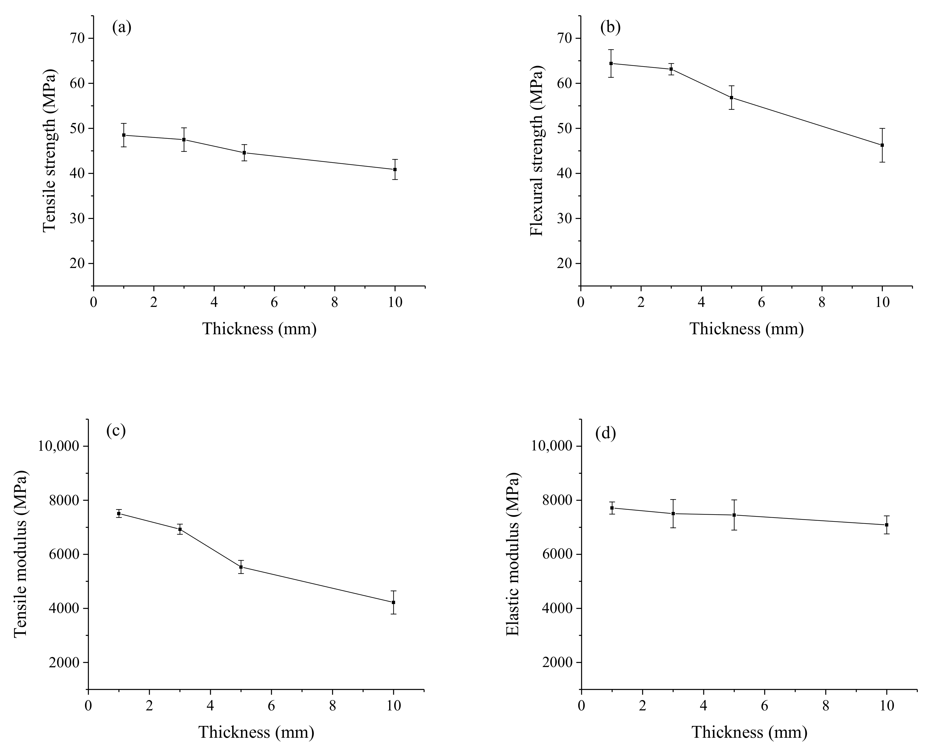
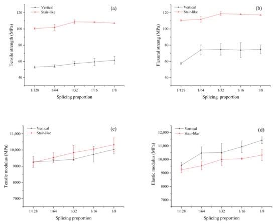
3.1. Mechanical Properties
3.2. Water Adsorption and Thickness Swelling
3.3. SEM Analysis
4. Conclusions
- The laminated composite with a stair-like splicing pattern showed a better physical and mechanical performance comparing to the laminated composite with a vertical splicing pattern.
- The flexural strength and the elastic modulus of the laminated composite significantly decreased due to the superposition effect of the failure-inducing defect and the weakest link at the splicing position.
- The distance between the adjacent two junctions should be greater than the critical proportion, which was 1/32 of the length at longitudinal direction, to ensure efficient stress transfer.
Author Contributions
Funding
Conflicts of Interest
References
- Rodriguez, C.; Alaswad, A.; El-Hassan, Z.; Olabi, A.G. Mechanical pretreatment of waste paper for biogas production. Waste Manag. 2017, 68, 157–164. [Google Scholar] [CrossRef]
- Byadgi, S.A.; Kalburgi, P.B. Production of bioethanol from waste newspaper. Procedia Environ. Sci. 2016, 35, 555–562. [Google Scholar] [CrossRef]
- Abbasi, S.A.; Hussain, N.; Tauseef, S.M.; Abbasi, T. A novel FLippable Units Vermireactor Train System—FLUVTS—For rapidly vermicomposting paper waste to an organic fertilizer. J. Clean. Prod. 2018, 198, 917–930. [Google Scholar] [CrossRef]
- Unlu, C.H. Carboxymethylcellulose from recycled newspaper in aqueous medium. Carbohydr. Polym. 2013, 97, 159–164. [Google Scholar] [CrossRef]
- Hietala, M.; Varrio, K.; Berglund, L.; Soini, J.; Oksman, K. Potential of municipal solid waste paper as raw material for production of cellulose nanofibres. Waste Manag. 2018, 80, 319–326. [Google Scholar] [CrossRef]
- Lei, W.; Fang, C.; Zhou, X.; Yin, Q.; Pan, S.; Yang, R.; Liu, D.; Ouyang, Y. Cellulose nanocrystals obtained from office waste paper and their potential application in PET packing materials. Carbohydr. Polym. 2018, 181, 376–385. [Google Scholar] [CrossRef]
- Graupner, N.; Prambauer, M.; Fröhlking, T.; Graf, C.; Becker, J.M.; Meyer, K.; Weber, D.E.; Weddig, N.B.; Wunsch, T.; Burgstaller, C.; et al. Copy paper as a source of reinforcement for biodegradable composites—Influence of fibre loading, processing method and layer arrangement—An overview. Compos. Part A Appl. Sci. 2019, 120, 161–171. [Google Scholar] [CrossRef]
- Prambauer, M.; Paulik, C.; Burgstaller, C. The influence of paper type on the properties of structural paper —Polypropylene composites. Compos. Part A Appl. Sci. 2015, 74, 107–113. [Google Scholar] [CrossRef]
- Prambauer, M.; Paulik, C.; Burgstaller, C. Influence of paper content and matrix selection on the porosity, crystallinity and water uptake of thermoplastic paper composites. J. Polym. Environ. 2017, 26, 2007–2017. [Google Scholar] [CrossRef]
- Das, S. Mechanical and water swelling properties of waste paper reinforced unsaturated polyester composites. Constr. Build. Mater. 2017, 138, 469–478. [Google Scholar] [CrossRef]
- James, P.; Gaddikeri, K.; Varughese, B.; Rao, M.S. Realisation of shear flow at crucial spar splice joints of composite wing in idealised wing test box. Procedia Eng. 2014, 86, 718–726. [Google Scholar] [CrossRef][Green Version]
- Al-Azzawi, A.S.M.; Kawashita, L.F.; Featherston, C.A. Buckling and postbuckling behaviour of Glare laminates containing splices and doublers. Part 2: Numerical modelling. Compos. Struct. 2017, 176, 1170–1187. [Google Scholar] [CrossRef]
- Xu, Y.; Zhu, J.; Wu, Z.; Cao, Y.; Zhao, Y.; Zhang, W. A review on the design of laminated composite structures: Constant and variable stiffness design and topology optimization. Adv. Compos. Hybrid Mater. 2018, 1, 460–477. [Google Scholar] [CrossRef]
- Majeed, H.S.; Davids, W.G.; Lopez-Anido, R.A.; Burns, J.; Rushing, T.S. Experimental and numerical investigation of splicing of concrete-filled fiber-reinforced polymer tubes. Constr. Build. Mater. 2018, 173, 461–473. [Google Scholar] [CrossRef]
- Zhang, G.; Wang, F.; Li, J.; Chen, G.; Chen, L. The effect of splicing shape and interval length on the failure mode of laminated composites under tensile condition. In Frontiers of Manufacturing and Design Science, Pts 1–4; Chen, R., Ed.; Trans Tech Publications Ltd.: Zurich, Switzerland, 2011; Volume 44–47, pp. 2922–2925. [Google Scholar]
- Chen, D.; Wang, M.; Arakawa, K.; Jiang, S.; Wu, K.; Hu, Q. Tensile properties of fiber reinforced epexy resin composite with ply splice structures. Fuhe Cailiao Xuebao Acta Mater. Compos. Sin. 2017, 34, 2473–2478. [Google Scholar]
- Zhu, M.; Chen, D.; Hu, Q. Failure mechanisms and reinforcing modes of ply splice fiber-reinforced composite laminates under tensile load. Materials 2019, 12, 2912. [Google Scholar] [CrossRef]
- Huang, J.; Gen, X.; Zhang, J. Experimental and numerical research for mechanical properties of ply splice laminates. J. Appl. Mech. 2013, 5, 787–791. [Google Scholar]
- Hao, C.; Wen, L.; Qi, L.; Wen, L. Tensile fracture strength analysis of spliced laminate. Fiber Reinf. Plast. Compos. 2019, 6, 100–104. [Google Scholar]
- Lee, S.; Shi, S.Q.; Groom, L.H.; Xue, Y. Properties of unidirectional kenaf fiber-polyolefin laminates. Polym. Compos. 2009, 1067–1074. [Google Scholar] [CrossRef]
- Dormanns, J.W.; Weiler, F.; Schuermann, J.; Müssig, J.; Duchemin, B.J.C.; Staiger, M.P. Positive size and scale effects of all-cellulose composite laminates. Compos. Part A Appl. Sci. 2016, 85, 65–75. [Google Scholar] [CrossRef]
- Zheng, B.; Hu, C.; Guan, L.; Gu, J.; Guo, H.; Zhang, W. Structural characterization and analysis of high-strength laminated composites from recycled newspaper and HDPE. Polymers 2019, 11, 1311. [Google Scholar] [CrossRef] [PubMed]










| Proportion | Actual Distance | |
|---|---|---|
| Width (0°) /mm | Length (90°) /mm | |
| 1/128 | 4 | 6 |
| 1/64 | 8 | 12 |
| 1/32 | 16 | 24 |
| 1/16 | 32 | 48 |
| 1/8 | 64 | 96 |
| Composite Structure | Stacking Direction | Tensile Strength (MPa) | Tensile Modulus (MPa) | Flexural Strength (MPa) | Elastic Modulus (MPa) |
|---|---|---|---|---|---|
| Vertical Splicing | 0° | 67 ± 2.2 | 9580 ± 28 | 88 ± 3.3 | 10511 ± 445 |
| 90° | 36 ± 1.0 | 4450 ± 89 | 56 ± 3.8 | 4283 ± 340 | |
| 0°/90° | 39 ± 2.3 | 7461 ± 306 | 88 ± 1.9 | 7821 ± 640 | |
| Stair-like Splicing | 0° | 109 ± 4.2 | 9836 ± 411 | 119 ± 7.1 | 10002 ±346 |
| 90° | 40 ± 1.8 | 4393 ± 162 | 61 ± 0.9 | 4481 ± 378 | |
| 0°/90° | 42 ± 1.9 | 5231 ± 256 | 67 ± 2.6 | 5921 ± 537 | |
| Continued Laminates | 0° | 107 ± 0.6 | 9902 ± 94 | 123 ± 1.3 | 10697 ± 887 |
| 90° | 41 ± 0.6 | 4551 ± 76 | 66 ± 1.4 | 5006 ± 110 | |
| 0°/90° | 74 ± 0.7 | 7355 ± 104 | 100 ± 3.2 | 7540 ± 712 |
© 2020 by the authors. Licensee MDPI, Basel, Switzerland. This article is an open access article distributed under the terms and conditions of the Creative Commons Attribution (CC BY) license (http://creativecommons.org/licenses/by/4.0/).
Share and Cite
Zheng, B.; Guan, L.; Zhang, W.; Gu, J.; Tu, D.; Hu, C. Production and Characterization of Large-Scale Recycled Newspaper Enhanced HDPE Composite Laminates. Polymers 2020, 12, 851. https://doi.org/10.3390/polym12040851
Zheng B, Guan L, Zhang W, Gu J, Tu D, Hu C. Production and Characterization of Large-Scale Recycled Newspaper Enhanced HDPE Composite Laminates. Polymers. 2020; 12(4):851. https://doi.org/10.3390/polym12040851
Chicago/Turabian StyleZheng, Binwei, Litao Guan, Weiwei Zhang, Jin Gu, Dengyun Tu, and Chuanshuang Hu. 2020. "Production and Characterization of Large-Scale Recycled Newspaper Enhanced HDPE Composite Laminates" Polymers 12, no. 4: 851. https://doi.org/10.3390/polym12040851
APA StyleZheng, B., Guan, L., Zhang, W., Gu, J., Tu, D., & Hu, C. (2020). Production and Characterization of Large-Scale Recycled Newspaper Enhanced HDPE Composite Laminates. Polymers, 12(4), 851. https://doi.org/10.3390/polym12040851
