Theoretical Analysis of the Radiation-Induced Conductivity in Polymers Exposed to Pulsed and Continuous Electron Beams
Abstract
1. Introduction
2. Models Formulation
3. Model Parameters
4. Computation Results
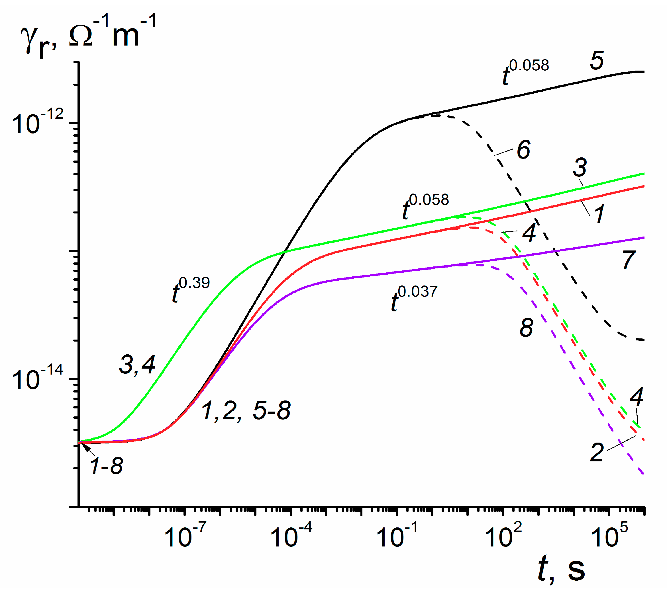
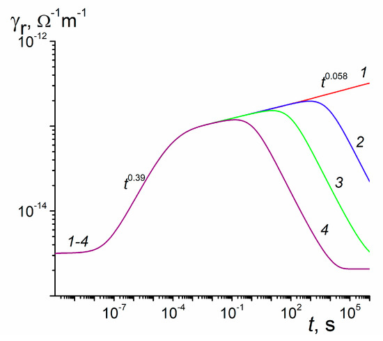
4.1. τc -Approximation
4.2. General Case of the RFVm Model
5. Discussion
6. Conclusions
Author Contributions
Funding
Acknowledgments
Conflicts of Interest
References
- Pai, D.M. Transient photoconductivity in poly(N-vinylcarbazole). J. Chem. Phys. 1970, 52, 2285–2291. [Google Scholar] [CrossRef]
- Karl, N.; Kraft, K.-H.; Marktanner, J.; Münch, M.; Schatz, F.; Stehle, R.; Uhde, H.-M. Fast electronic transport in organic molecular solids? J. Vac. Sci. Technol. A 1999, 17, 2318–2328. [Google Scholar] [CrossRef]
- Scher, H.; Montroll, E.W. Anomalous transit-time dispersion in amorphous solids. Phys. Rev. B 1975, 12, 2455–2477. [Google Scholar] [CrossRef]
- Arkhipov, V.I.; Iovu, M.S.; Rudenko, A.I.; Shutov, S.D. An analysis of the dispersive charge transport in vitrous 0.55 As2Se3. Phys. Status Solidi A 1979, 45, 67–77. [Google Scholar] [CrossRef]
- Tiedje, T.; Rose, A. A physical interpretation of dispersive transport in disordered semiconductors. Solid State Commun. 1981, 37, 49–52. [Google Scholar] [CrossRef]
- Bässler, H. Charge transport in disordered organic photoconductors. Phys. Stat. Sol. B 1993, 107, 15–56. [Google Scholar] [CrossRef]
- Borsenberger, P.M.; Weiss, D.S. Organic Photoreceptors for Xerography; Marcel Dekker: New York, NY, USA, 1998. [Google Scholar]
- Novikov, S.V.; Dunlap, D.H.; Kenkre, V.M.; Parris, P.E.; Vannikov, A.V. Essential role of correlations in governing charge transport in disorfered organic materials. Phys. Rev. Lett. 1998, 81, 4472. [Google Scholar] [CrossRef]
- Tyutnev, A.P.; Saenko, V.S.; Pozhidaev, E.D.; Ikhsanov, R. Experimental and theoretical studies of radiation-induced conductivity in spacecraft polymers. IEEE Trans. Plasma Sci. 2015, 43, 2915–2924. [Google Scholar] [CrossRef]
- Tyutnev, A.P.; Saenko, V.S.; Zhadov, A.D.; Pozhidaev, E.D. Radiation-induced conductivity in Kapton-like polymers featuring conductivity rising with an accumulating dose. IEEE Trans. Plasma Sci. 2019, 47, 3739–3745. [Google Scholar] [CrossRef]
- Tyutnev, A.P.; Saenko, V.S.; Zhadov, A.D.; Pozhidaev, E.D. Time-resolved radiation-induced conductivity of polymers using the multiple trapping formalism. Polymers 2019, 11, 2061. [Google Scholar] [CrossRef]
- Nikitenko, V.R.; Strikhanov, M.N. Transport level in disordered organics:an analytic model and Monte-Carlo simulations. J. Appl. Phys. 2014, 115, 073704. [Google Scholar] [CrossRef]
- Tyutnev, A.P.; Saenko, V.S.; Ikhsanov, R.S.; Krouk, E.A. Radiation-induced conductivity in polymers under pulsed and long-time small-signal irradiations combined to determine their step-function response. J. Appl. Phys. 2019, 126, 095501. [Google Scholar] [CrossRef]
- Arkhipov, V.I. An adiabatic model of trap-controlled dispersive transport and recombination. J. Non-Cryst. Solids 1993, 163, 274–282. [Google Scholar] [CrossRef]
- Hughes, R.C. Charge transport by photocarriers in polymeric films. In Proceedings of the 2nd International Conference on Electrophotography, Washington, DC, USA, 24–27 October 1975; pp. 147–151. [Google Scholar]
- Kurtz, S.R.; Hughes, R.C. Radiation-induced photoconductivity in polymers: Polyvinylfluoride compared with polyethylene terephthalate. J. Appl. Phys. 1983, 54, 229–237. [Google Scholar] [CrossRef]
- Kurtz, S.R.; Arnold, C.; Hughes, R.C. Effect of chemical doping on the radiation-induced conductivity of polyethylene terephthalate. Appl. Phys. Lett. 1983, 43, 1132–1134. [Google Scholar] [CrossRef]
- Tyutnev, A.P.; Abramov, V.N.; Dubenskov, P.I.; Saenko, V.S.; Vannikov, A.V.; Pozhidaev, E.D. Time-resolved nanosecond radiation-induced conductivity in polymers. Acta Polym. 1986, 37, 336–342. [Google Scholar] [CrossRef]
- Gross, B.; Faria, R.M.; Ferreira, G.F.L. Radiation-induced conductivity in Teflon irradiated by x-rays. J. Appl. Phys. 1981, 52, 571–577. [Google Scholar] [CrossRef]
- Filho, R.G.; Gross, B. Time-resolved x-ray conductivity in polyethyleneterephthalate. J. Appl. Phys. 1989, 68, 5478–5483. [Google Scholar] [CrossRef]
- Sessler, G.M.; Figueiredo, M.T.; Ferreira, G.F.L. Models of charge transport in electron-beam irradiated insulators. IEEE Trans. Diel. Electr. Insul. 2004, 11, 192–202. [Google Scholar] [CrossRef]
- Molinie, P.; Dessante, P.; Hanna, R.; Paulmier, T.; Dirassen, B.; Belhaj, M.; Payan, D.; Balcon, N. Polyimide and FEP charging behavior under multienergetic electron-beam irradiation. IEEE Trans. Dielectr. Electr. Insul. 2012, 19, 1215–1220. [Google Scholar] [CrossRef]
- Paulmier, T.; Dirassen, B.; Payan, D.; Arnaout, M. Analysis of charge transport and ionization effect in space used polymers under high energy electron irradiation. IEEE Trans. Plasma Sci. 2017, 45, 1933–1937. [Google Scholar] [CrossRef]
- Dunlap, D.H.; Schein, L.B.; Tyutnev, A.P.; Saenko, V.S.; Pozhidaev, E.D.; Parris, P.E.; Weiss, D.S. Two-layer multiple trapping model for universal current transients in molecilarly doped polymers. J. Phys. Chem. C 2010, 114, 9076–9088. [Google Scholar] [CrossRef]
- Tyutnev, A.P.; Weiss, D.S.; Dunlap, D.H.; Saenko, V.S. Time-of-flight current shapes in mokecularly doped polymers:effects of sample thickness and irradiation side and carrier generation width. J. Phys. Chem. C 2014, 118, 5150–5158. [Google Scholar] [CrossRef]




© 2020 by the authors. Licensee MDPI, Basel, Switzerland. This article is an open access article distributed under the terms and conditions of the Creative Commons Attribution (CC BY) license (http://creativecommons.org/licenses/by/4.0/).
Share and Cite
Tyutnev, A.P.; Saenko, V.S.; Zhadov, A.D.; Abrameshin, D.A. Theoretical Analysis of the Radiation-Induced Conductivity in Polymers Exposed to Pulsed and Continuous Electron Beams. Polymers 2020, 12, 628. https://doi.org/10.3390/polym12030628
Tyutnev AP, Saenko VS, Zhadov AD, Abrameshin DA. Theoretical Analysis of the Radiation-Induced Conductivity in Polymers Exposed to Pulsed and Continuous Electron Beams. Polymers. 2020; 12(3):628. https://doi.org/10.3390/polym12030628
Chicago/Turabian StyleTyutnev, Andrey P., Vladimir S. Saenko, Aleksey D. Zhadov, and Dmitriy A. Abrameshin. 2020. "Theoretical Analysis of the Radiation-Induced Conductivity in Polymers Exposed to Pulsed and Continuous Electron Beams" Polymers 12, no. 3: 628. https://doi.org/10.3390/polym12030628
APA StyleTyutnev, A. P., Saenko, V. S., Zhadov, A. D., & Abrameshin, D. A. (2020). Theoretical Analysis of the Radiation-Induced Conductivity in Polymers Exposed to Pulsed and Continuous Electron Beams. Polymers, 12(3), 628. https://doi.org/10.3390/polym12030628

