Effect of Concentration of Thermochromic Ink on Performance of Waterborne Finish Films for the Surface of Cunninghamia Lanceolata
Abstract
1. Introduction
2. Materials and Methods
2.1. Experimental Materials
2.2. Preparation of the Thermochromic Ink
2.3. Preparation of Coatings
2.4. Testing and Characterization
3. Results and Discussion
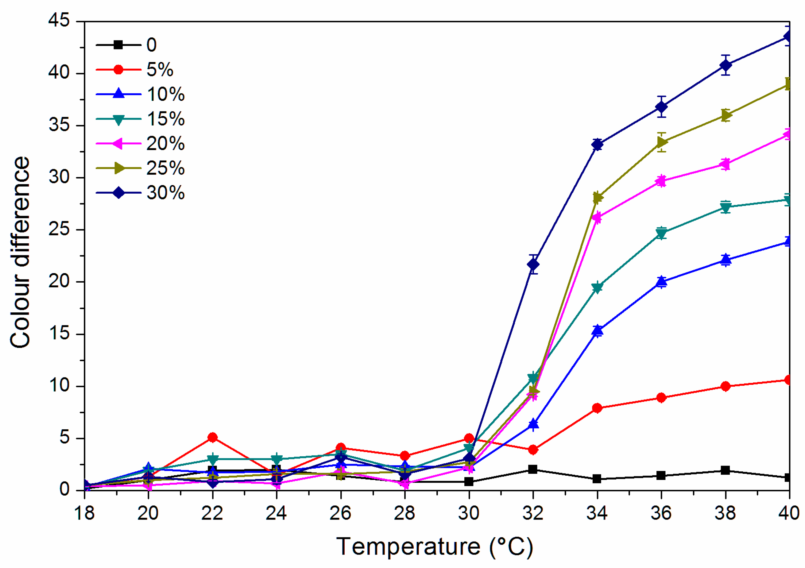
3.1. Effect of Thermochromic Ink Concentration on Colour Difference
3.2. Gloss Analysis
3.3. Effect of Thermochromic Ink Concentration on Adhesion and Impact Resistance of Finish Film
3.4. Effect of Thermochromic Ink Concentration on Liquid Resistance
3.5. Microstructure Analysis
3.6. Stability of Thermochromic Finish Film
4. Conclusions
Author Contributions
Funding
Acknowledgments
Conflicts of Interest
References
- Liu, B.-X.; Mazo, A.-R.; Gurr, P.-A.; Qiao, G.-G. Reversible nontoxic thermochromic microcapsules. ACS Appl. Mater. Inter. 2020, 12, 9782–9789. [Google Scholar] [CrossRef] [PubMed]
- Ji, H.-N.; Liu, D.-Q.; Cheng, H.-F.; Tao, Y.-J. Large area infrared thermochromic VO2 nanoparticle films prepared by inkjet printing technology. Sol. Energ. Mat. Sol. C. 2019, 194, 235–243. [Google Scholar] [CrossRef]
- Lee, C.-H.; Kim, J.-S.; Park, S.-Y.; Ahn, D.-J.; Kim, J.-M. A polydiacetylene supramolecular system that displays reversible thermochromism. Chem. Lett. 2007, 36, 682–683. [Google Scholar] [CrossRef]
- Khatami, A.; Prova, S.-S.; Bagga, A.-K.; Ting, M.-Y.-C.; Brar, G.; Ifa, D.-R. Detection and imaging of thermochromic ink compounds in erasable pens using desorption electrospray ionization mass spectrometry. Rapid Commun. Mass Spectrom. 2017, 31, 983–990. [Google Scholar] [CrossRef]
- Kapovic, D.; Rozic, M.; Vukoje, M.; Lozo, B. Ink tack stability readings of the offset thermochromic inks. Pigm. Resin Technol. 2019, 48, 309–316. [Google Scholar] [CrossRef]
- Yan, X.-X.; Qian, X.-Y.; Chang, Y.-J.; Lu, R.; Miyakoshi, T. The effect of glass fiber powder on the properties of waterborne coatings with thermochromic ink on a Chinese fir Surface. Polymers 2019, 11, 1733. [Google Scholar] [CrossRef]
- Hanzer, S.-J.; Rozic, M.; Vukoje, M.; Jukic, M.; Galic, A. Safety evaluation of deinked pulp containing offset thermochromic inks. Bioresources 2018, 13, 678–690. [Google Scholar]
- Cho, S.; Kim, G.; Lee, S.; Park, J.; Shim, W. Molecular-printed thermochromic with fast color switching. Adv. Opt. Mater. 2017, 5, 1700627. [Google Scholar] [CrossRef]
- Vinkovic, K.; Rozic, M.; Galic, N. Development and validation of an HPLC method for the determination of endocrine disruptors bisphenol A and benzophenone in thermochromic printing inks. J. Ltq. Chromatorg Relat. Technol. 2017, 40, 959–966. [Google Scholar] [CrossRef]
- Challener, C. Waterborne coating technologies steadily advance despite challenges. Coatingstech 2020, 17, 34–41. [Google Scholar]
- Gaikwad, M.-S.; Kusumkar, V.-V.; Yemul, O.-S.; Hundiwale, D.-G.; Mahulikar, P.-P. Eco-friendly waterborne coating from bio-based polyester amide resin. Polym. Bull. 2019, 76, 2743–2763. [Google Scholar] [CrossRef]
- Zhu, X.-D.; Liu, Y.; Li, Z.; Wang, W.-C. Thermochromic microcapsules with highly transparent shells obtained through in-situ polymerization of urea formaldehyde around thermochromic cores for smart wood coatings. Sci. Rep. 2018, 8, 4015. [Google Scholar] [CrossRef] [PubMed]
- Pedaballi, S.; Li, C.-C.; Song, Y.-J. Dispersion of microcapsules for the improved thermochromic performance of smart coatings. RSC Adv. 2019, 9, 24175–24183. [Google Scholar] [CrossRef]
- Li, J.; Luo, D.-W.; Ma, G.-F.; Jia, L.-C.; Xu, J.-L.; Huang, H.-H.; Tong, Z.-K.; Lu, Y.-Q. Response of Chinese fir seedlings to low phosphorus stress and analysis of gene expression differences. J. For. Res. 2019, 30, 183–192. [Google Scholar] [CrossRef]
- Xu, W.; Fang, X.-Y.; Han, J.-T.; Wu, Z.-H.; Zhang, J.-L. Effect of coating thickness on sound absorption property of four wood species commonly used for piano soundboards. Wood Fiber Sci. 2020, 52, 28–43. [Google Scholar] [CrossRef]
- Yan, X.-X.; Qian, X.-Y.; Chang, Y.-J. Preparation and characterization of urea formaldehyde @ epoxy resin microcapsule on waterborne wood coatings. Coatings 2019, 9, 475. [Google Scholar] [CrossRef]
- Zhao, Z.-Y.; Sakai, S.; Wu, D.; Chen, Z.; Zhu, N.; Gui, C.-S.; Zhang, M.; Umemura, K.; Yong, Q. Investigation of synthesis mechanism, optimal hot-pressing conditions, and curing behavior of sucrose and ammonium dihydrogen phosphate adhesive. Polymers 2020, 12, 216. [Google Scholar] [CrossRef]
- Malm, V.; Straat, M.; Walkenstrom, P. Effects of surface structure and substrate color on color differences in textile coatings containing effect pigments. Text. Res. J. 2014, 84, 125–139. [Google Scholar] [CrossRef]
- Zhou, Y.-C.; Chen, Z.-Z.; Gong, H.-J.; Chen, L.; Yu, H.-Q.; Wu, W.L. Characteristics of dehydration during rice husk pyrolysis and catalytic mechanism of dehydration reaction with NiO/gamma-Al2O3 as catalyst. Fuel 2019, 245, 131–138. [Google Scholar] [CrossRef]
- Bauer, S.; Bein, T.; Stock, N. High-throughput investigation of inorganic–organic hybrid compounds: Systematic study of the system CdCl2/(H2O3PCH2)2N–CH2C6H4–COOH/NaOH. Solid State Sci. 2008, 10, 837–846. [Google Scholar] [CrossRef]
- Sun, W.-H.; Zhang, C.-J.; Chen, J.; Zhang, B.-B.; Zhang, H.-Z.; Zhang, Y.-M.; Chen, L.-J. Accelerating biodegradation of a monoazo dye Acid Orange 7 by using its endogenous electron donors. J. Hazard. Mater. 2017, 324, 739–743. [Google Scholar] [CrossRef] [PubMed]
- Yan, X.-X.; Chang, Y.-J. Investigation of waterborne thermochromic topcoat film with color-changing microcapsules on Chinese fir surface. Prog. Org. Coat. 2019, 136, 105262. [Google Scholar] [CrossRef]








| Thermochromic Ink Concentration (%) | Thermochromic Ink Weight (g) | Waterborne Finish Weight (g) | Thermochromic Finish Weight (g) |
|---|---|---|---|
| 0 | 0 | 50.0 | 50.0 |
| 5.0 | 2.5 | 47.5 | 50.0 |
| 10.0 | 5.0 | 45.0 | 50.0 |
| 15.0 | 7.5 | 42.5 | 50.0 |
| 20.0 | 10.0 | 40.0 | 50.0 |
| 25.0 | 12.5 | 37.5 | 50.0 |
| 30.0 | 15.0 | 35.0 | 50.0 |
| Thermochromic Ink Concentration (%) | 20° Gloss (%) | 60° Gloss (%) | 85° Gloss (%) |
|---|---|---|---|
| 0 | 14.1 ± 0.4 | 43.1 ± 0.5 | 54.9 ± 1.6 |
| 5.0 | 14.3 ± 0.6 | 43.8 ± 0.5 | 54.7 ± 1.3 |
| 10.0 | 19.9 ± 0.7 | 50.6 ± 0.6 | 59.7 ± 1.8 |
| 15.0 | 18.6 ± 0.6 | 43.8 ± 0.5 | 52.1 ± 1.6 |
| 20.0 | 18.6 ± 0.3 | 50.1 ± 1.5 | 59.5 ± 1.5 |
| 25.0 | 13.4 ± 0.1 | 42.1 ± 0.4 | 52.6 ± 1.4 |
| 30.0 | 8.4 ± 0 | 33.5 ± 0.3 | 44.9 ± 1.2 |
| Sample | 0 | 5.0% | 10.0% | 15.0% | 20.0% | 25.0% | 30.0% |
|---|---|---|---|---|---|---|---|
| Damaged area (%) | 0 ± 0 | 0 ± 0 | 0 ± 0 | 0 ± 0 | 0 ± 0 | 0 ± 0 | 0 ± 0 |
| Adhesion level (level) | 0 ± 0 | 0 ± 0 | 0 ± 0 | 0 ± 0 | 0 ± 0 | 0 ± 0 | 0 ± 0 |
| Impact resistance (N cm−1) | 40.0 ± 0.5 | 30.0 ± 0.4 | 40.0 ± 0.5 | 40.0 ± 0.5 | 50.0 ± 0.6 | 50.0 ± 0.6 | 70.0 ± 0.7 |
| Thermochromic Ink Concentration (%) | After Experiment of NaCl | After Experiment of Detergent | After Experiment of Ethanol | After Experiment of Red Ink |
|---|---|---|---|---|
| 0 | 0.8 ± 0 | 0.8 ± 0 | 1.0 ± 0 | 1.9 ± 0 |
| 5.0 | 1.1 ± 0 | 1.1 ± 0 | 1.0 ± 0 | 1.9 ± 0 |
| 10.0 | 1.8 ± 0 | 0.5 ± 0 | 0.7 ± 0 | 1.3 ± 0 |
| 15.0 | 1.0 ± 0 | 0.7 ± 0 | 1.2 ± 0 | 1.2 ± 0 |
| 20.0 | 0.9 ± 0 | 1.0 ± 0 | 1.0 ± 0 | 1.3 ± 0 |
| 25.0 | 1.2 ± 0 | 1.3 ± 0 | 1.0 ± 0 | 1.2 ± 0 |
| 30.0 | 0.7 ± 0 | 1.5 ± 0 | 1.3 ± 0 | 1.2 ± 0 |
| Level | Finish Film Change |
|---|---|
| 1 | No mark |
| 2 | Slightly discolored impression |
| 3 | Slight discoloration or noticeable discoloration |
| 4 | Obvious changes, bubbling, wrinkles, etc. |
| Thermochromic Ink Concentration (%) | NaCl | Detergent | Ethanol | Red Ink |
|---|---|---|---|---|
| 0 | 1 ± 0 | 1 ± 0 | 1 ± 0 | 1 ± 0 |
| 5.0 | 1 ± 0 | 1 ± 0 | 1 ± 0 | 1 ± 0 |
| 10.0 | 1 ± 0 | 1 ± 0 | 1 ± 0 | 1 ± 0 |
| 15.0 | 1 ± 0 | 1 ± 0 | 1 ± 0 | 1 ± 0 |
| 20.0 | 1 ± 0 | 1 ± 0 | 1 ± 0 | 1 ± 0 |
| 25.0 | 1 ± 0 | 1 ± 0 | 1 ± 0 | 1 ± 0 |
| 30.0 | 1 ± 0 | 1 ± 0 | 1 ± 0 | 1 ± 0 |
| Thermochromic Ink Concentration (%) | Room Temperature Difference after Three Months | 30 °C 24 h Colour Difference after Three Months | 30 °C 48 h Colour Difference after Three Months | 30 °C 72 h Colour Difference after Three Months |
|---|---|---|---|---|
| 15.0 | 1.3 ± 0 | 1.7 ± 0 | 1.6 ± 0 | 1.4 ± 0 |
| Sample | L* | a* | b* | C | H | ΔE | 60° Gloss (%) |
|---|---|---|---|---|---|---|---|
| Before aging | 67.4 ± 0.4 | 37.2 ± 0.2 | 26.9 ± 0.1 | 45.9 ± 0.3 | 35.9 ± 0.2 | - | 43.8 ± 0.3 |
| After aging | 65.8 ± 0.8 | 35.2 ± 0.2 | 29.3 ± 0.1 | 45.8 ± 0.4 | 39.8 ± 0.2 | 3.5 ± 0.1 | 41.9 ± 0.8 |
| Band (cm−1) | Assignment |
|---|---|
| 3383, 3343 | –OH absorption |
| 2931, 2852 | –CH2– asymmetric and symmetric stretching vibrations |
| 2931, 2852, 1446 | –CH3 absorption |
| 1600 | C=C, N=N absorption |
| 1729 | C=O absorption |
© 2020 by the authors. Licensee MDPI, Basel, Switzerland. This article is an open access article distributed under the terms and conditions of the Creative Commons Attribution (CC BY) license (http://creativecommons.org/licenses/by/4.0/).
Share and Cite
Yan, X.; Chang, Y.; Qian, X. Effect of Concentration of Thermochromic Ink on Performance of Waterborne Finish Films for the Surface of Cunninghamia Lanceolata. Polymers 2020, 12, 552. https://doi.org/10.3390/polym12030552
Yan X, Chang Y, Qian X. Effect of Concentration of Thermochromic Ink on Performance of Waterborne Finish Films for the Surface of Cunninghamia Lanceolata. Polymers. 2020; 12(3):552. https://doi.org/10.3390/polym12030552
Chicago/Turabian StyleYan, Xiaoxing, Yijuan Chang, and Xingyu Qian. 2020. "Effect of Concentration of Thermochromic Ink on Performance of Waterborne Finish Films for the Surface of Cunninghamia Lanceolata" Polymers 12, no. 3: 552. https://doi.org/10.3390/polym12030552
APA StyleYan, X., Chang, Y., & Qian, X. (2020). Effect of Concentration of Thermochromic Ink on Performance of Waterborne Finish Films for the Surface of Cunninghamia Lanceolata. Polymers, 12(3), 552. https://doi.org/10.3390/polym12030552

