Effects of Adhesive Coating on the Hygrothermal Aging Performance of Pultruded CFRP Plates
Abstract
1. Introduction
2. Experimental Program
2.1. Materials and Sample Preparation
2.2. Immersion Media
2.3. Test Methods
2.3.1. Water Uptake
2.3.2. Thermogravimetric Analysis
2.3.3. Tensile Tests
2.3.4. In-Plane Shear Strength Test
2.3.5. Fourier Transform Infrared Test
2.3.6. DMTA Test
3. Results and Discussion
3.1. Water Uptake
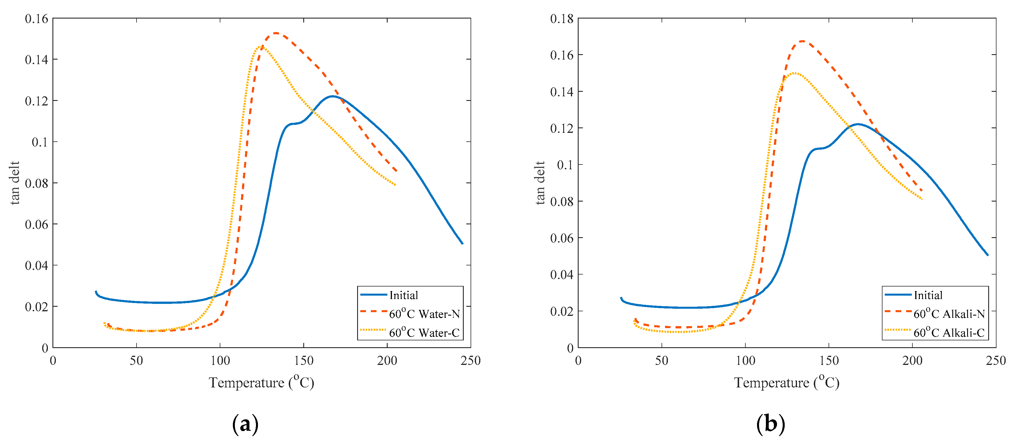
3.2. DMTA Analysis
3.3. Tensile Properties
3.4. Chemical Analysis
3.5. In-Plane Shear Capacities
4. Conclusions
- (1)
- Water diffusion analysis such as Fick’s law, two-stage model and finite element analysis normally assume constant diffusion speed by assuming constant diffusion parameter. However, from the analysis in this study, the diffusion speed is slow at the beginning stage and may increase as the degradation of the interfacial properties between fiber and resin matrix.
- (2)
- The adhesive coating can slow the degradation of the interfacial bonding between fiber and resin matrix and subsequently the water diffusion in the CFRP plates especially for samples immersed in 60 °C alkaline solution. As a result, the adhesive coating can significantly protect the tensile properties of CFRP plates immersed in high-temperature alkaline solution.
- (3)
- The adhesive-coating protective effect on in-plane shear strength is smaller than that on tensile properties. It is also concluded that the adhesive coating does not have a significant protective effect on the epoxy resin of immersed samples. The epoxy resin may be more likely to be sensitive to temperature instead of water uptake.
Author Contributions
Funding
Conflicts of Interest
References
- Ceroni, F.; Cosenza, E.; Gaetano, M.; Pecce, M. Durability issues of FRP rebars in reinforced concrete members. Cement Concr. Compos. 2006, 28, 857–868. [Google Scholar] [CrossRef]
- Mofidi, A.; Chaallal, O. Shear strengthening of RC beams with EB FRP: Influencing factors and conceptual debonding model. J. Compos. Constr. 2010, 15, 62–74. [Google Scholar] [CrossRef]
- Chen, J.-F.; Teng, J. Shear capacity of FRP-strengthened RC beams: FRP debonding. Constr. Build. Mater. 2003, 17, 27–41. [Google Scholar] [CrossRef]
- Cao, S.; Chen, J.; Teng, J.; Hao, Z.; Chen, J. Debonding in RC beams shear strengthened with complete FRP wraps. J. Compos. Constr. 2005, 9, 417–428. [Google Scholar]
- Wang, B.; Bachtiar, E.V.; Yan, L.; Kasal, B.; Fiore, V. Flax, Basalt, E-Glass FRP and Their Hybrid FRP Strengthened Wood Beams: An Experimental Study. Polymers 2019, 11, 1255. [Google Scholar] [CrossRef] [PubMed]
- Yin, X.; Liu, Y.; Miao, Y.; Xian, G. Water Absorption, Hydrothermal Expansion, and Thermomechanical Properties of a Vinylester Resin for Fiber-Reinforced Polymer Composites Subjected to Water or Alkaline Solution Immersion. Polymers 2019, 11, 505. [Google Scholar] [CrossRef] [PubMed]
- Wang, A.; Xian, G.; Li, H. Effects of Fiber Surface Grafting with Nano-Clay on the Hydrothermal Ageing Behaviors of Flax Fiber/Epoxy Composite Plates. Polymers 2019, 11, 1278. [Google Scholar] [CrossRef]
- Ashbee, K.; Wyatt, R. Water damage in glass fibre/resin composites. Proc. R. Soc. Lond. A Math. Phys. Sci. 1969, 312, 553–564. [Google Scholar]
- Ishai, O. Environmental effects on deformation, strength, and degradation of unidirectional glass-fiber reinforced plastics. II. Experimental study. Polym. Eng. Sci. 1975, 15, 491–499. [Google Scholar] [CrossRef]
- Schutte, C.L. Environmental durability of glass-fiber composites. Mater. Sci. Eng. R. Rep. 1994, 13, 265–323. [Google Scholar] [CrossRef]
- Karbhari, V.M.; Xian, G. Hygrothermal effects on high VF pultruded unidirectional carbon/epoxy composites: Moisture uptake. Compos. Part B Eng. 2009, 40, 41–49. [Google Scholar] [CrossRef]
- Hong, B.; Xian, G.; Wang, Z. Durability study of pultruded carbon fiber reinforced polymer plates subjected to water immersion. Adv. Struct. Eng. 2018, 21, 571–579. [Google Scholar] [CrossRef]
- Hong, B.; Xian, G.; Li, H. Effects of water or alkali solution immersion on the water uptake and physicomechanical properties of polyurethane. Polym. Eng. Sci. 2018, 58, 2276–2287. [Google Scholar] [CrossRef]
- Lu, Z.; Su, L.; Xian, G.; Lu, B.; Xie, J. Durability study of concrete-covered basalt fiber-reinforced polymer (BFRP) bars in marine environment. Compos. Struct. 2019, 111650. [Google Scholar] [CrossRef]
- Wang, Z.; Zhao, X.-L.; Xian, G.; Wu, G.; Raman, R.S.; Al-Saadi, S. Effect of sustained load and seawater and sea sand concrete environment on durability of basalt-and glass-fibre reinforced polymer (B/GFRP) bars. Corros. Sci. 2018, 138, 200–218. [Google Scholar] [CrossRef]
- John, C. The Mathematics of Diffusion; Oxford University: London, UK, 1979. [Google Scholar]
- Bao, L.-R.; Yee, A.F.; Lee, C.Y.-C. Moisture absorption and hygrothermal aging in a bismaleimide resin. Polymer 2001, 42, 7327–7333. [Google Scholar] [CrossRef]
- Lu, Z.; Xian, G.; Li, H. Effects of thermal aging on the water uptake behavior of pultruded BFRP plates. Polym. Degrad. Stab. 2014, 110, 216–224. [Google Scholar] [CrossRef]
- Hong, B.; Xian, G.; Li, H. Effects of water or alkali solution immersion on the water uptake and physicochemical properties of a pultruded carbon fiber reinforced polyurethane plate. Polym. Compos. 2019, 40, 738–748. [Google Scholar] [CrossRef]
- Hong, B.; Xian, G. Ageing of a thermosetting polyurethane and its pultruded carbon fiber plates subjected to seawater immersion. Constr. Build. Mater. 2018, 165, 514–522. [Google Scholar] [CrossRef]
- Jiang, X.; Kolstein, H.; Bijlaard, F.; Qiang, X. Effects of hygrothermal aging on glass-fibre reinforced polymer laminates and adhesive of FRP composite bridge: Moisture diffusion characteristics. Compos. Part A Appl. Sci. Manuf. 2014, 57, 49–58. [Google Scholar] [CrossRef]
- Jiang, X.; Kolstein, H.; Bijlaard, F.S. Moisture diffusion in glass–fiber-reinforced polymer composite bridge under hot/wet environment. Compos. Part B Eng. 2013, 45, 407–416. [Google Scholar] [CrossRef]
- Liao, K.; Schultheisz, C.; Hunston, D.L. Effects of environmental aging on the properties of pultruded GFRP. Compos. Part B Eng. 1999, 30, 485–493. [Google Scholar] [CrossRef]
- Guide Test Methods for Fiber-Reinforced Polymers (FRPs) for Reinforcing or Strengthening Concrete Structures (ACI 440.3 R-04); American Concrete Institute: Farmington Hills, MI, USA, 2004.
- American Society for Testing Materials. Standard Test Method for Tensile Properties of Polymer Matrix Composite Materials; (ASTM D 3039/D 3039M-00); ASTM International: West Conshohocken, PA, USA, 2000. [Google Scholar]
- Zhang, X.; Wang, Y.; Wan, B.; Cai, G.; Qu, Y. Effect of specimen thicknesses on water absorption and flexural strength of CFRP laminates subjected to water or alkaline solution immersion. Constr. Build. Mater. 2019, 208, 314–325. [Google Scholar] [CrossRef]
- Saadatmanesh, H.; Tavakkolizadeh, M.; Mostofinejad, D. Environmental effects on mechanical properties of wet lay-up fiber-reinforced polymer. ACI Mater. J. 2010, 107, 267. [Google Scholar]
- Pan, Y.; Xian, G.; Silva, M.A. Effects of water immersion on the bond behavior between CFRP plates and concrete substrate. Constr. Build. Mater. 2015, 101, 326–337. [Google Scholar] [CrossRef]
- Wu, L.; Hoa, S.V.; Ton-That, M.T. Effects of water on the curing and properties of epoxy adhesive used for bonding FRP composite sheet to concrete. J. Appl. Polym. Sci. 2004, 92, 2261–2268. [Google Scholar] [CrossRef]
- Antoon, M.; Koenig, J. Irreversible effects of moisture on the epoxy matrix in glass-reinforced composites. J. Polym. Sci. Polym. Phys. Ed. 1981, 19, 197–212. [Google Scholar] [CrossRef]



















| Component | Ca(OH)2 | NaOH | KOH | 
|---|---|---|---|
| Content (g/L) | 118.5 | 0.9 | 4.2 | 
| Characteristic | 20 °C Water-N | 40 °C Water-N | 60 °C Water-N | 20 °C Alkaline-N | 40 °C Alkaline-N | 
|---|---|---|---|---|---|
| 0.106% | 0.140% | 0.198% | 0.176% | 0.192% | |
| D(× 10−7 mm2/s) | 1.75 | 2.50 | 37.8 | 2.23 | 2.83 | 
| k(× 10−5/s1/2) | 72.0 | 75.9 | 77.4 | 48.8 | 53 | 
| Characteristic | Initial | 60 °C Water-N | 60 °C Water-C | 60 °C Alkaline-N | 60 °C Alkaline-C | 
|---|---|---|---|---|---|
| tan δmax | 0.122 | 0.153 | 0.146 | 0.167 | 0.150 | 
| tan δmax/tan δ0max | 1 | 1.25 | 1.20 | 1.37 | 1.23 | 
| Fracture Strain | 20 °C Water-N | 40 °C Water-N | 60 °C Water-N | 20 °C Alkaline-N | 40 °C Alkaline-N | 60 °C Alkaline-N | 
|---|---|---|---|---|---|---|
| Fracture strain at 0 day | 0.0107 | 0.0107 | 0.0107 | 0.0107 | 0.0107 | 0.0107 | 
| Fracture strain at 30 days | 0.0110 | 0.0107 | 0.0109 | 0.0104 | 0.0118 | 0.0117 | 
| Fracture strain at 60 days | 0.0110 | 0.0108 | 0.0106 | 0.0100 | 0.0118 | 0.0105 | 
| Fracture strain at 90 days | 0.0112 | 0.0110 | 0.0110 | 0.0105 | 0.0096 | 0.0094 | 
| Fracture Strain | 20 °C Water-C | 40 °C Water-C | 60 °C Water-C | 20 °C Alkaline-C | 40 °C Alkaline-C | 60 °C Alkaline-C | 
|---|---|---|---|---|---|---|
| Fracture strain at 0 day | 0.0107 | 0.0107 | 0.0107 | 0.0107 | 0.0107 | 0.0107 | 
| Fracture strain at 30 days | 0.0093 | 0.0100 | 0.0097 | 0.0097 | 0.0112 | 0.0111 | 
| Fracture strain at 60 days | 0.0107 | 0.0125 | 0.0111 | 0.0115 | 0.0120 | 0.0119 | 
| Fracture strain at 90 days | 0.0119 | 0.0121 | 0.0120 | 0.0112 | 0.0119 | 0.0119 | 
© 2020 by the authors. Licensee MDPI, Basel, Switzerland. This article is an open access article distributed under the terms and conditions of the Creative Commons Attribution (CC BY) license (http://creativecommons.org/licenses/by/4.0/).
Share and Cite
Hao, X.; Xian, G.; Huang, X.; Xin, M.; Shen, H. Effects of Adhesive Coating on the Hygrothermal Aging Performance of Pultruded CFRP Plates. Polymers 2020, 12, 491. https://doi.org/10.3390/polym12020491
Hao X, Xian G, Huang X, Xin M, Shen H. Effects of Adhesive Coating on the Hygrothermal Aging Performance of Pultruded CFRP Plates. Polymers. 2020; 12(2):491. https://doi.org/10.3390/polym12020491
Chicago/Turabian StyleHao, Xinkai, Guijun Xian, Xiangyu Huang, Meiyin Xin, and Haijuan Shen. 2020. "Effects of Adhesive Coating on the Hygrothermal Aging Performance of Pultruded CFRP Plates" Polymers 12, no. 2: 491. https://doi.org/10.3390/polym12020491
APA StyleHao, X., Xian, G., Huang, X., Xin, M., & Shen, H. (2020). Effects of Adhesive Coating on the Hygrothermal Aging Performance of Pultruded CFRP Plates. Polymers, 12(2), 491. https://doi.org/10.3390/polym12020491
 
        

 
       