Effect of Iron Oxide Nanoparticles on the Physical Properties of Medium Density Fiberboard
Abstract
1. Introduction
2. Materials and Methods
2.1. Materials
2.1.1. Urea-Formaldehyde Resin
2.1.2. Iron Oxide (Fe2O3) Nanoparticles
2.1.3. Poplar Wood Fibers
2.2. Preparation of UF-Fe2O3 Nanofiller
2.3. Nano Natural Composite Design
2.4. Scanning Electron Microscopy (SEM) of Iron Oxide (Fe2O3) Nanoparticles
2.5. Energy Dispersive X-ray Spectroscopy (EDS) Analysis of Iron Oxide (Fe2O3) Nanoparticles
2.6. X-ray Diffraction Analysis of Fe2O3 Nanoparticles
2.7. Differential Scanning Calorimetry (DSC)
2.8. Thermo-Gravimetric Analysis (TGA)
2.9. Analysis of Variance (ANOVA) Nano-Composite
3. Results and Discussion
3.1. Cured UF-Fe2O3 Nano Fluids SEM
3.2. Energy Dispersive X-ray Spectroscopy (EDS) Analysis
3.3. Differential Scan Calorimetry (DSC) of Urea-Formaldehydewith and without Fe2O3 Nanoparticles
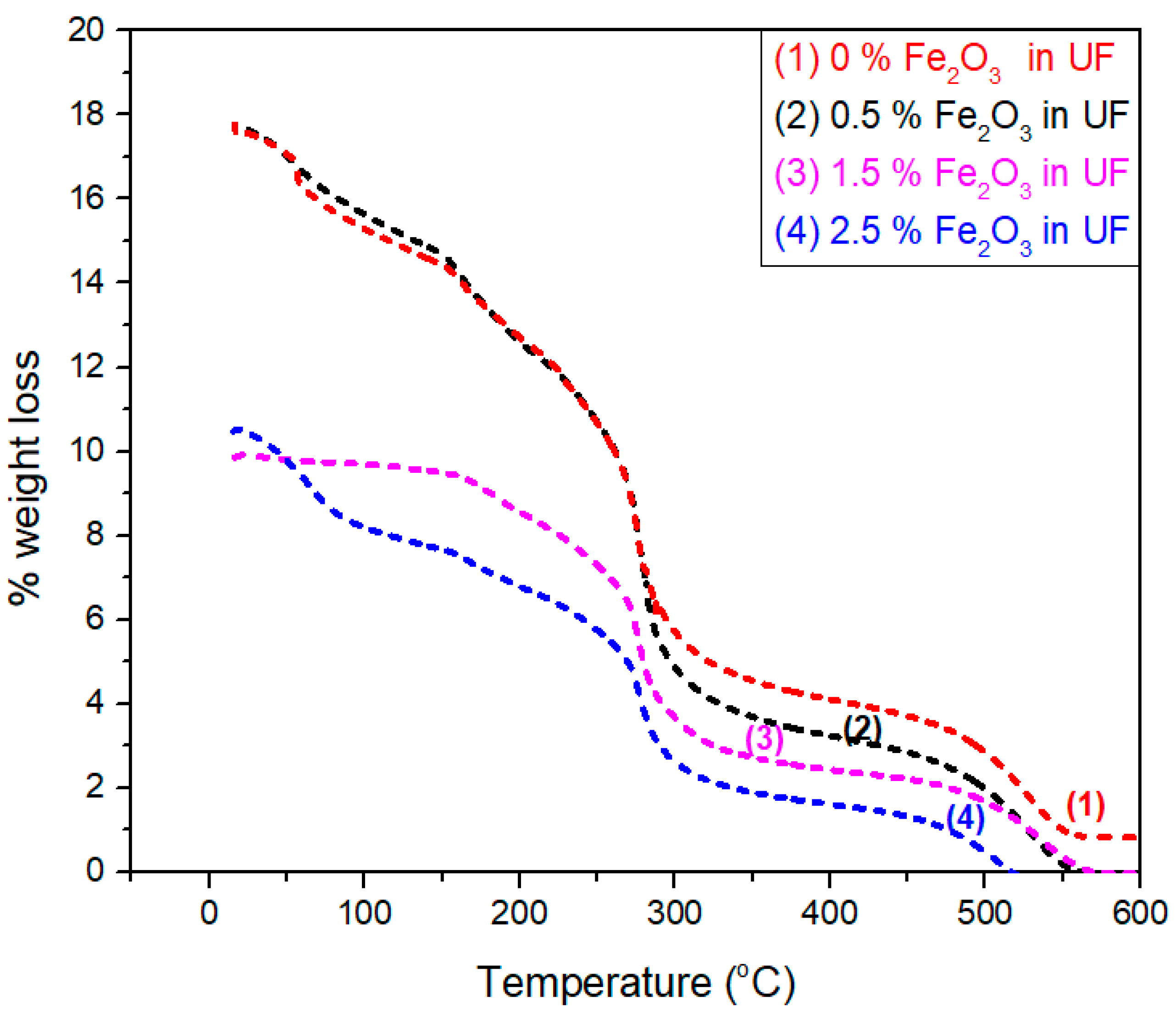
3.4. TGA Analysis of UF Resin with and without Fe2O3 Nanoparticles
3.5. Analysis of Variance (ANOVA) Nano-Composite for Physical Properties
3.6. Nano-MDF Average Physical Properties
4. Conclusions
Author Contributions
Funding
Conflicts of Interest
References
- Taghiyari, H.R.; Hosseini, G.; Tarmian, A.; Papadopoulos, A.N. Fluid Flow in Nanosilver-Impregnated Heat-Treated Beech Wood in Different Mediums. Appl. Sci. 2020, 10, 1919. [Google Scholar] [CrossRef]
- Taghiyari, H.R.; Majidi, R.; Esmailpour, A.; Samadi, Y.S.; Jahangiri, A.; Papadopoulos, A.N. Engineering Composites Made from Wood and Chicken Feather Bonded with UF Resin Fortified with Wollastonite: A Novel Approach. Polymers 2020, 12, 857. [Google Scholar] [CrossRef] [PubMed]
- Szwajka, K.; Zielińska-Szwajka, J.; Trzepiecinski, T. Experimental Study on Drilling MDF with Tools Coated with TiAlN and ZrN. Materials 2019, 12, 386. [Google Scholar] [CrossRef] [PubMed]
- Lv, Y.; Liu, Y.; Jing, W.; Woźniak, M.; Damaševičius, R.; Scherer, R.; Wei, W. Quality Control of the Continuous Hot Pressing Process of Medium Density Fiberboard Using Fuzzy Failure Mode and Effects Analysis. Appl. Sci. 2020, 10, 4627. [Google Scholar] [CrossRef]
- Zhang, J.; Ying, J.; Cheng, F.; Liu, H.; Luo, B.; Li, L. Investigating the Sanding Process of Medium-Density Fiberboard and Korean Pine for Material Removal and Surface Creation. Coatings 2018, 8, 416. [Google Scholar] [CrossRef]
- Kim, T. Production Planning to Reduce Production Cost and Formaldehyde Emission in Furniture Production Process Using Medium-Density Fiberboard. Processes 2019, 7, 529. [Google Scholar] [CrossRef]
- Hagel, S.; Saake, B. Fractionation of Waste MDF by Steam Refining. Molecules 2020, 25, 2165. [Google Scholar] [CrossRef]
- Gul, W.; Khan, A.; Shakoor, A. Impact of hot pressing temperature on medium density fiberboard (MDF) performance. Adv. Mater. Sci. Eng. 2017, 2017, 4056360. [Google Scholar] [CrossRef]
- Taghiyari, H.R.; Esmailpour, A.; Majidi, R.; Morrell, J.J.; Mallaki, M.; Militz, H.; Papadopoulos, A.N. Potential Use of Wollastonite as a Filler in UF Resin Based Medium-Density Fiberboard (MDF). Polymers 2020, 12, 1435. [Google Scholar] [CrossRef]
- Taghiyari, H.R.; Hosseini, S.B.; Ghahri, S.; Ghofrani, M.; Papadopoulos, A.N. Formaldehyde Emission in Micron-Sized Wollastonite-Treated Plywood Bonded with Soy Flour and Urea-Formaldehyde Resin. Appl. Sci. 2020, 10, 6709. [Google Scholar] [CrossRef]
- Pan, L.; Jiang, Y.; Wang, L.; Xu, W. Kinetic Study on the Pyrolysis of Medium Density Fiberboard: Effects of Secondary Charring Reactions. Energies 2018, 11, 2481. [Google Scholar] [CrossRef]
- Gul, W.; Akbar, S.R.; Khan, A.; Ahmed, S. Investigation of the surface morphology and structural characterization of MDF & HDF. In Proceedings of the 5th International Conference on Advances in Mechanical Engineering, Istanbul, Turkey, 17–19 December 2019. [Google Scholar]
- Bayani, S.; Taghiyari, H.R.; Papadopoulos, A.N. Physical and Mechanical Properties of Thermally-Modified Beech Wood Impregnated with Silver Nano-Suspension and Their Relationship with the Crystallinity of Cellulose. Polymers 2019, 11, 1538. [Google Scholar] [CrossRef] [PubMed]
- Taghiyari, H.R.; Bayani, S.; Militz, H.; Papadopoulos, A.N. Heat Treatment of Pine Wood: Possible Effect of Impregnation with Silver Nanosuspension. Forests 2020, 11, 466. [Google Scholar] [CrossRef]
- Wang, X.; Chen, X.; Xie, X.; Yuan, Z.; Cai, S.; Li, Y. Effect of phenol formaldehyde resin penetration on the quasi-static and dynamic mechanics of wood cell walls using nanoindentation. Nanomaterials 2019, 9, 1409. [Google Scholar] [CrossRef] [PubMed]
- Mohajerani, A.; Burnett, L.; Smith, J.V.; Kurmus, H.; Milas, J.; Arulrajah, A.; Horpibulsuk, S.; Abdul Kadir, A. Nanoparticles in Construction Materials and Other Applications, and Implications of Nanoparticle Use. Materials 2019, 12, 3052. [Google Scholar] [CrossRef] [PubMed]
- Hashim, R.; How, L.S.; Kumar, R.N.; Sulaiman, O. Some of the properties of flame retardant medium density fiberboard made from rubber wood and recycled containers containing aluminum trihydroxide. Bioresour. Technol. 2005, 96, 1826–1831. [Google Scholar] [CrossRef] [PubMed]
- Lin, Q.; Yang, G.; Liu, J.; Rao, J. Property of nano-SiO 2/urea formaldehyde resin. Front. For. China 2006, 1, 230. [Google Scholar] [CrossRef]
- Lei, Y.; Wu, Q.; Clemons, C.M.; Yao, F.; Xu, Y. Influence of nanoclay on properties of HDPE/wood composites. J. Appl. Polym. Sci. 2007, 106, 3958–3966. [Google Scholar] [CrossRef]
- Lei, H.; Du, G.; Pizzi, A.; Celzard, A. Influence of nanoclay on urea-formaldehyde resins for wood adhesives and its model. J. Appl. Polym. Sci. 2008, 109, 2442–2451. [Google Scholar] [CrossRef]
- Faruk, O.; Matuana, L.M. Nanoclay reinforced HDPE as a matrix for wood-plastic composites. Compos. Sci. Technol. 2008, 68, 2073–2077. [Google Scholar] [CrossRef]
- Ashori, A.; Nourbakhsh, A. Effects of nanoclay as a reinforcement filler on the physical and mechanical properties of wood-based composite. J. Compos. Mater. 2009, 43, 1869–1875. [Google Scholar] [CrossRef]
- Taghiyari, H.R.; Rangavar, H.; Bibalan, O.F. Effect of nano-silver on reduction of hot-pressing time and improvement in physical and mechanical properties of particleboard. BioResources 2011, 6, 4067–4075. [Google Scholar]
- Xian, D.; Semple, K.E.; Haghdan, S.; Smith, G.D. Properties and wood bonding capacity of nanoclay-modified urea and melamine formaldehyde resins. Wood Fiber Sci. 2013, 45, 383–395. [Google Scholar]
- Taghiyari, H.R.; Ghorbanali, M.; Tahir, P.M. Effects of the improvement in thermal conductivity coefficient by nano-wollastonite on physical and mechanical properties in medium-density fiberboard (MDF). BioResources 2014, 9, 4138–4149. [Google Scholar] [CrossRef][Green Version]
- Candan, Z.; Akbulut, T. Physical and mechanical properties of nanoreinforced particleboard composites. Maderas. Ciencia y Tecnología 2015, 17, 319–334. [Google Scholar] [CrossRef]
- Taghiyari, H.R.; Mohammad-Panah, B.; Morrell, J.J. Effects of wollastonite on the properties of medium-density fiberboard (MDF) made from wood fibers and camel-thorn. Maderas. Ciencia y Tecnología 2016, 18, 157–166. [Google Scholar] [CrossRef]
- Smita, N.; Lokesh, C. Effects of different nanoclay loadings on the physical and mechanical properties of Melia composita particle board. Bois. Forets Des. Trop. 2017, 334, 7–12. [Google Scholar]
- Chen, Y.; Cai, T.; Dang, B.; Wang, H.; Xiong, Y.; Yao, Q.; Jin, C. The properties of fibreboard based on nanolignocelluloses/CaCO 3/PMMA composite synthesized through mechano-chemical method. Sci. Rep. 2018, 8, 1–9. [Google Scholar]
- da Silva, A.P.S.; Ferreira, B.S.; Favarim, H.R.; Silva, M.F.F.; Silva, J.V.F.; dos Anjos Azambuja, M.; Campos, C.I. Physical properties of medium density fiberboard produced with the addition of ZnO nanoparticles. BioResources 2019, 14, 1618–1625. [Google Scholar] [CrossRef]
- Kumar, A.; Gupta, A.; Sharma, K.V.; Gazali, S.B. Influence of aluminum oxide nanoparticles on the physical and mechanical properties of wood composites. BioResources 2013, 8, 6231–6241. [Google Scholar] [CrossRef]
- Alabduljabbar, H.; Alyousef, R.; Gul, W.; Shah, S.R.A.; Khan, A.; Khan, R.; Alaskar, A. Effect of Alumina Nano-Particles on Physical and Mechanical Properties of Medium Density Fiberboard. Materials 2020, 13, 4207. [Google Scholar] [CrossRef] [PubMed]
- Laurent, S.; Forge, D.; Port, M.; Roch, A.; Robic, C.; Vander Elst, L.; Muller, R.N. Magnetic Iron Oxide Nanoparticles: Synthesis, Stabilization, Vectorization, Physicochemical Characterizations, and Biological Applications. Chem. Rev. 2008, 108, 2064–2110. [Google Scholar] [CrossRef] [PubMed]
- EN, B. 323: 1993 Wood-Based Panels-Determination of Density in Fiberboard; British Standards Institution: London, UK, 1993. [Google Scholar]
- EN 317. Particleboards and Fiberboards, Determination of Swelling in Thickness after Immersion; European Committee for Standardization: Brussels, Belgium, 1993. [Google Scholar]
- ASTM International. ASTM D570-98 (2010) e1-Standard Test Method for Water Absorption of Plastics; ASTM International: West Conshohocken, PA, USA, 2010. [Google Scholar]
- EN 322:1993. Wood-Based Panels–Determination of Moisture Content; European Committee for Standardization (CEN TC 346): Brussels, Belgium, 1993. [Google Scholar]













| S. No | Nano-Particles | I.B (MPa) | MOE (MPa) | MOR (MPa) | Density kg/cc | Ts (%) 24 h | WA (%) 24 h | References |
|---|---|---|---|---|---|---|---|---|
| 1 | (ATH) Aluminum trihydroxide | 0.59 | - | - | 760 | 13.75 | 50.75 | Hashim et al. (2005) [17] |
| 2 | (Nano-SiO2) | 0.73 | - | 21 | 710 | 9.98 | Lin Qiaojia et al. (2006) [18] | |
| 3 | Nanoclay | 1.0 | 2180 | 20.5 | 830 | 10 | 51 | Yong Lei et al. (2007) [19] |
| 4 | sodium Montmorillonite /Nanoclay | 1.0 | 3550 | - | 700 | - | - | Hong et al. (2008) [20] |
| 5 | Nanoclay | - | 2400 | 28 | - | 4.5 | 13 | Faruk et al. (2008) [21] |
| 6 | (layered silicate) | 0.67 | 2250 | 22.8 | 750 | 18.1 | - | A. Ashori et al. (2009) [22] |
| 7 | Nano-silver | 1.15 | 2450 | 20 | - | 27.70 | 61.90 | Taghiyari et al. (2011) [23] |
| 8 | Nanoclay (MMT) | 1.0 | 2000 | 9.0 | 700 | 6 | 10 | Xian, D et al. 2013 [24] |
| 9 | Nano-Wollastonite | 1.5 | 1200 | 22.5 | 660 | 15 | 55 | Taghiyari et al. (2014) [25] |
| 10 | Nano-Reinforced | 1.2 | 2500 | 13.5 | - | 29 | 93 | Candan, Z et al. (2015) [26] |
| 11 | Wollastonite | - | 1800 | 16 | 670 | 12.5 | 78 | Taghiyari et al. 2016 [27] |
| 12 | Nanoclay | 1.9 | 1730 | 15.2 | 800 | 14.5 | 42 | N. Ismita et al. (2017) [28] |
| 13 | CaCO3/ PMMA | - | 1260 | 16 | 700 | 11 | 55 | Yipeng Chen et al. (2018) [29] |
| 14 | Zno Nanoparticles | - | - | - | 680 | 24 | - | Silva et al. (2019) [30] |
| 15 | Alumina | 0.73 | 3381 | 40.54 | 743 | 5.99 | 13.73 | Alabduljabbar, H et al. (2020) [31] |
| η (Viscosity, cps) | ρ (Density, grams/cm3) | pH | F. Formaldehyde | G.T (Gel Time, Sec) | SC (Solid Content, %) |
|---|---|---|---|---|---|
| 200–320 | 1.24 | 8.5 | 0.71 | 57 | 55 |
| Composition | ||||
|---|---|---|---|---|
| Materials | Fe0 | Fe1 | Fe2 | Fe3 |
| UF | 200 | 200 | 200 | 200 |
| Fe2O3 | 0 | 1 | 3 | 5 |
| Groups | Iteration | Sum | Average | Variance | ||
|---|---|---|---|---|---|---|
| Fe2O3 (0%) | 5 | 3513.84 | 702.76 | 868.63 | ||
| Fe2O3 (0.5%) | 5 | 3627.84 | 725.56 | 355.18 | ||
| Fe2O3 (1.5%) | 5 | 3668.21 | 733.64 | 174.04 | ||
| Fe2O3 (2.5%) | 5 | 3733.22 | 746.61 | 304.67 | ||
| ANOVA | ||||||
| Source of Variation | SS | df | MS | F | p-value | F crit |
| Between Groups | 5095.733135 | 3 | 1698.57 | 3.99 | 0.026 | 3.23 |
| Within Groups | 6810.15796 | 16 | 425.63 | |||
| Total | 11,905.8911 | 19 |
| Groups | Iteration | Sum | Average | Variance | ||
|---|---|---|---|---|---|---|
| Fe2O3 (0%) | 5 | 50.7 | 10.14 | 0.83 | ||
| Fe2O3 (0.5%) | 5 | 47.07 | 9.41 | 0.65 | ||
| Fe2O3 (1.5%) | 5 | 44.2 | 8.84 | 1.31 | ||
| Fe2O3 (2.5%) | 5 | 42.13 | 8.42 | 1.21 | ||
| ANOVA | ||||||
| Source of Variation | SS | df | MS | F | p-value | F crit |
| Between Groups | 8.28 | 3 | 2.76 | 2.74 | 0.07732 | 3.23 |
| Within Groups | 16.11 | 16 | 1.00 | |||
| Total | 24.40 | 19 |
| Groups | Iteration | Sum | Average | Variance | ||
|---|---|---|---|---|---|---|
| Fe2O3 (0%) | 5 | 168.66 | 33.73 | 13.51 | ||
| Fe2O3 (0.5%) | 5 | 133.6 | 26.72 | 4.63 | ||
| Fe2O3 (1.5%) | 5 | 112.81 | 22.56 | 6.90 | ||
| Fe2O3 (2.5%) | 5 | 85.7 | 17.14 | 12.06 | ||
| ANOVA | ||||||
| Source of Variation | SS | df | MS | F | p-value | F crit |
| Between Groups | 734.61 | 03 | 244.87 | 26.38 | 1.96 × 10−6 | 3.23 |
| Within Groups | 148.47 | 16 | 9.27 | |||
| Total | 883.09 | 19 |
| Groups | Iteration | Sum | Average | Variance | ||
|---|---|---|---|---|---|---|
| Fe2O3 (0%) | 5 | 374.11 | 74.82 | 19.06 | ||
| Fe2O3 (0.5%) | 5 | 348.58 | 69.71 | 31.19 | ||
| Fe2O3 (1.5%) | 5 | 294.25 | 58.85 | 43.16 | ||
| Fe2O3 (2.5%) | 5 | 244.87 | 48.97 | 98.41 | ||
| ANOVA | ||||||
| Source of Variation | SS | df | MS | F | p-value | F crit |
| Between Groups | 1993.91 | 3 | 664.63 | 13.85 | 0.000103037 | 3.23 |
| Within Groups | 767.36 | 16 | 47.96 | |||
| Total | 2761.27 | 19 |
| MDF Specimen | Density (kg/m3) | TS * | WA * | Mc |
|---|---|---|---|---|
| S0Fe0 | 702.76 | 33.73 | 74.82 | 10.14 |
| S1.0Fe1.0 | 725.56 | 26.72 | 69.71 | 9.41 |
| S1.5Fe1.5 | 733.64 | 22.56 | 58.85 | 8.84 |
| S2.5Fe2.5 | 746.64 | 17.14 | 48.97 | 8.42 |
| Standard | 720 ± 20 | ≤12 | <45 | 8–9 |
Publisher’s Note: MDPI stays neutral with regard to jurisdictional claims in published maps and institutional affiliations. |
© 2020 by the authors. Licensee MDPI, Basel, Switzerland. This article is an open access article distributed under the terms and conditions of the Creative Commons Attribution (CC BY) license (http://creativecommons.org/licenses/by/4.0/).
Share and Cite
Gul, W.; Alrobei, H.; Shah, S.R.A.; Khan, A. Effect of Iron Oxide Nanoparticles on the Physical Properties of Medium Density Fiberboard. Polymers 2020, 12, 2911. https://doi.org/10.3390/polym12122911
Gul W, Alrobei H, Shah SRA, Khan A. Effect of Iron Oxide Nanoparticles on the Physical Properties of Medium Density Fiberboard. Polymers. 2020; 12(12):2911. https://doi.org/10.3390/polym12122911
Chicago/Turabian StyleGul, Waheed, Hussein Alrobei, Syed Riaz Akbar Shah, and Afzal Khan. 2020. "Effect of Iron Oxide Nanoparticles on the Physical Properties of Medium Density Fiberboard" Polymers 12, no. 12: 2911. https://doi.org/10.3390/polym12122911
APA StyleGul, W., Alrobei, H., Shah, S. R. A., & Khan, A. (2020). Effect of Iron Oxide Nanoparticles on the Physical Properties of Medium Density Fiberboard. Polymers, 12(12), 2911. https://doi.org/10.3390/polym12122911

