Quaternized Chitosan-Based Anion Exchange Membrane Composited with Quaternized Poly(vinylbenzyl chloride)/Polysulfone Blend
Abstract
1. Introduction
2. Materials and Methods
2.1. Materials
2.2. Experimental
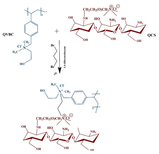
2.2.1. Quaternized Chitosan
2.2.2. Synthesis of Positively Quaternized Vinyl Benzyl Chloride (QVBC)
2.2.3. Membrane Preparation
3. Analysis/Characterization
3.1. Fourier Transform Infrared (FTIR) Characterization
3.2. Nuclear Magnetic Resonance (NMR) Spectra
3.3. Thermal Stability of the Membranes
3.4. SEM Characterization of the Membranes
3.5. Water Uptake (WU), Swelling Ratio (SR) of the Membrane
3.6. Ionic Exchange Capacity (IEC) of Membranes
3.7. Ionic Conductivity
4. Results and Discussion
4.1. Fourier Transform Infrared (FTIR) Characterization
4.2. Nuclear Magnetic Resonance (NMR) Spectra
4.3. Thermomechanical Stability of Membranes
4.4. SEM Characterization of Membranes
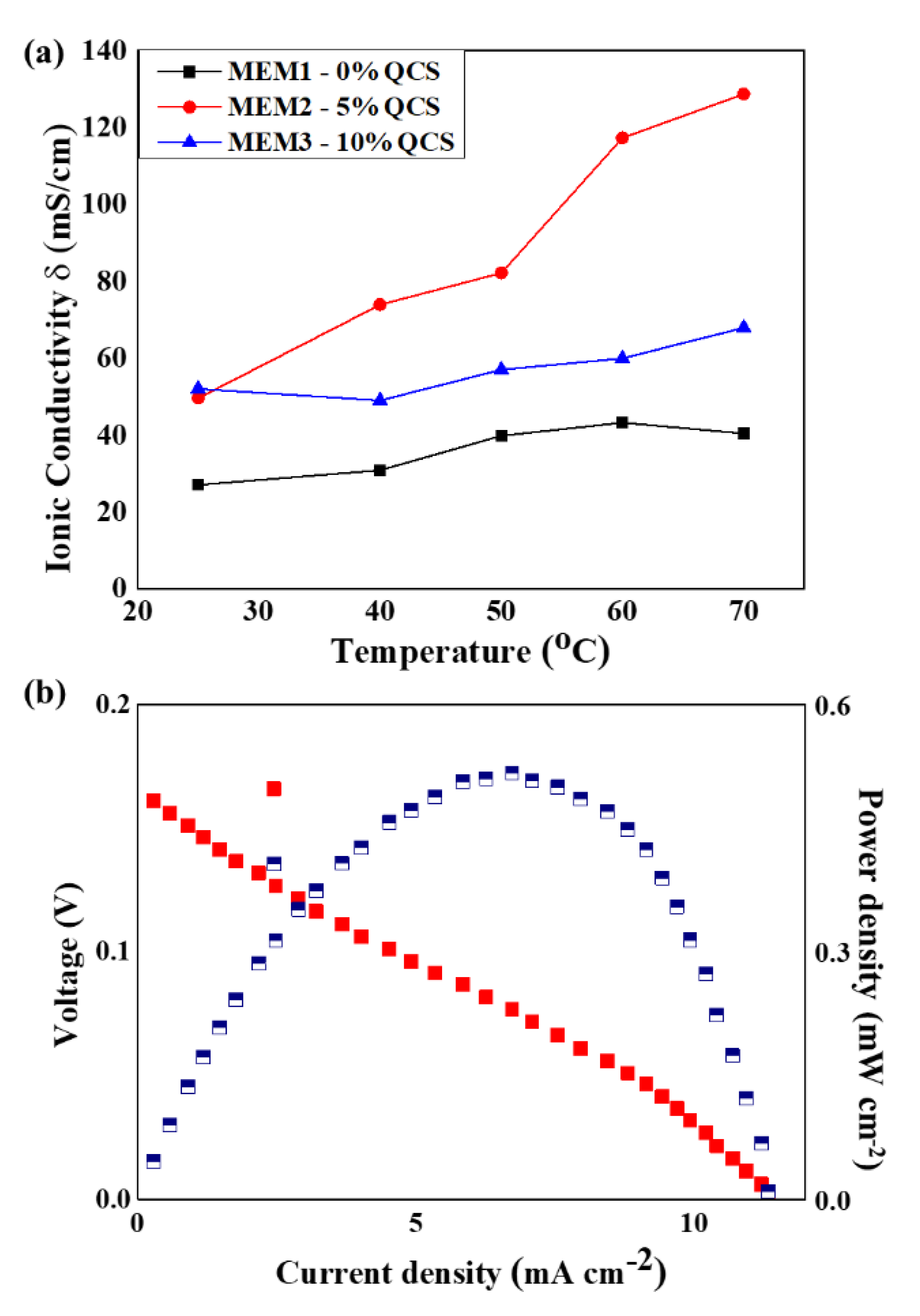
4.5. Properties of Composite Membrane
5. Conclusions
Author Contributions
Funding
Acknowledgments
Conflicts of Interest
References
- Vo, T.N.; Kim, H.; Hur, J.; Choi, W.; Kim, I.T. Surfactant-assisted ammonium vanadium oxide as a superior cathode for calcium-ion batteries. J. Mater. Chem. A 2018, 6, 22645–22654. [Google Scholar] [CrossRef]
- Son, J.; Vo, T.N.; Cho, S.; Preman, A.N.; Kim, I.T. Acrylic random copolymer and network binders for silicon anodes in lithium-ion batteries. J. Power Sources 2020, 458, 228054. [Google Scholar] [CrossRef]
- Vo, T.N.; Hur, J.; Kim, I.T. Enabling High Performance Calcium-Ion Batteries From Prussian Blue And Metal Organic Compound Materials. ACS Sustain. Chem. Eng. 2020, 8, 2596–2601. [Google Scholar] [CrossRef]
- Vo, T.N.; Kim, D.S.; Mun, Y.S.; Lee, H.J.; Ahn, S.; Kim, I.T. Fast charging sodium-ion batteries based on Te-P-C composites and insights to low-frequency limits of four common equivalent impedance circuits. J. Chem. Eng. 2020, 398, 125703. [Google Scholar] [CrossRef]
- Kim, I.Y.; Woo, S.P.; Ko, J.H.; Kang, S.H.; Yoon, Y.S.; Cheong, H.W.; Lim, J.H. Binder-free cathode for thermal batteries fabricated using FeS2 treated metal foam. Front. Chem. 2020, 7. [Google Scholar] [CrossRef]
- Lee, D.E.; Kim, S.Y.; Jang, H.W. Lead-free all-inorganic halide perovskite quantum dots: Review and outlook. J. Korean Ceram. Soc. 2020, 57, 455–479. [Google Scholar] [CrossRef]
- Seol, J.W.; Kim, Y.I.; Pham, T.L.; Lee, J.S. Syntheses and characterizations of complex perovskite oxynitrides (Ca, Sr, Ba)TaO2N. J. Korean Ceram. Soc. 2020, 57, 432–439. [Google Scholar] [CrossRef]
- Kakati, N.; Maiti, J.; Lee, S.H.; Jee, S.H.; Viswanathan, B.; Yoon, Y.S. Anode catalysts for direct methanol fuel cells in acidic media: Do we have any alternative for Pt or Pt-Ru? Chem. Rev. 2014, 114, 12397–12429. [Google Scholar] [CrossRef]
- Basumatary, P.; Konwar, D.; Yoon, Y.S. Conductivity-tailored PtNi/MoS2 3D nanoflower catalyst via Sc doping as a hybrid anode for a variety of hydrocarbon fuels in proton exchange membrane fuel cells. Appl. Catal. B Environ. 2020, 267, 118724. [Google Scholar] [CrossRef]
- Kim, B.C.; Cheon, C.I. Electro-caloric effects in the BaTiO3-based solid solution ceramics. J. Korean Ceram. Soc. 2020, 57, 578–584. [Google Scholar] [CrossRef]
- Pham, T.N.T.; Yoon, Y.S. Development of nanosized Mn3O4-Co3O4 on multiwalled carbon nanotubes for cathode catalyst in urea fuel cell. Energies 2020, 13, 2322. [Google Scholar] [CrossRef]
- Lee, J.S.; Kim, W.; Jang, J. sulfur-embedded activated multichannel carbon nanofiber composites for long-life, high-rate lithium-sulfur batteries. Adv. Energy Mater. 2017, 7, 1601943. [Google Scholar] [CrossRef]
- Maiti, J.; Kakati, N.; Basumatary, P.; Woo, S.P.; Yoon, Y.S. Imidazolium functionalized poly(vinyl chloride-co-vinyl acetate)-based anion exchange membrane. Int. J. Hydrogen Energ. 2016, 41, 5776–5782. [Google Scholar] [CrossRef]
- Kim, T.Y.; Kim, Y.W.; Lee, H.S.; Kim, H. Blocking of the 1T-to-2H phase transformation of chemically exfoliated transition metal disulfides by using a“lattice lock”. Nano Energy 2019, 56, 65–73. [Google Scholar]
- Wang, G.G.; Weng, Y.M.; Chu, D.; Chen, R.R.; Xie, D. Developing a polysulfone-based alkaline anion exchange membrane for improved ionic conductivity. J. Membr. Sci. 2009, 332, 63–68. [Google Scholar] [CrossRef]
- Jeevanantham, S.; Hosimin, S.; Vengatesan, S.; Sozhan, G. Quaternized poly(styrene-co-vinylbenzyl chloride) anion exchange membranes: Role of different ammonium cations on structural, morphological, thermal and physio-chemical properties. New J. Chem. 2018, 42, 380–387. [Google Scholar]
- Gottesfeld, S.; Dekel, D.R.; Page, M.; Bae, C.; Yan, Y.S.; Zelenay, P.; Kim, Y.S. Anion exchange membrane fuel cells: Current status and remaining challenges. J. Power Sources 2018, 375, 170–184. [Google Scholar] [CrossRef]
- Li, Z.; He, X.Y.; Jiang, Z.Y.; Yin, Y.H.; Zhang, B.; He, G.W.; Tong, Z.W.; Wu, H.; Jiao, K. Enhancing Hydroxide Conductivity and Stability of Anion Exchange Membrane by Blending Quaternary Ammonium Functionalized Polymers. Electrochim. Acta 2017, 240, 486–494. [Google Scholar] [CrossRef]
- Couture, G.; Alaaeddine, A.; Boschet, F.; Ameduri, B. Polymeric materials as anion-exchange membranes for alkaline fuel cells. Prog. Polym. Sci. 2011, 36, 1521–1557. [Google Scholar] [CrossRef]
- Kumar, S.R.; Juan, C.H.; Liao, G.M.; Lin, J.S.; Yang, C.C.; Ma, W.T.; You, J.H.; Lue, S.J. Fumed silica nanoparticles incorporated in quaternized poly(Vinyl Alcohol) nanocomposite membrane for enhanced power densities in direct alcohol alkaline fuel cells. Energies 2016, 9, 15. [Google Scholar] [CrossRef]
- Das, G.; Dongho, K.; Kim, C.Y.; Yoon, H.H. Graphene oxide crosslinked poly(phenylene oxide) nanocomposite as high-performance anion-conducting membrane. J. Ind. Eng. Chem. 2019, 72, 380–389. [Google Scholar] [CrossRef]
- Hao, J.K.; Jiang, Y.Y.; Gao, X.Q.; Lu, W.T.; Xiao, Y.; Shao, Z.G.; Yi, B.L. Functionalization of polybenzimidazole-crosslinked poly(vinylbenzyl chloride) with two cyclic quaternary ammonium cations for anion exchange membranes. J. Membr. Sci. 2018, 548, 1–10. [Google Scholar] [CrossRef]
- Wan, Y.; Peppley, B.; Creber, K.A.M.; Bui, V.T. Anion-exchange membranes composed of quaternized-chitosan derivatives for alkaline fuel cells. J. Power Sources 2010, 195, 3785–3793. [Google Scholar] [CrossRef]
- Lim, S.H.; Hudson, S.M. Synthesis and antimicrobial activity of a water-soluble chitosan derivative with a fiber-reactive group. Carbohydr. Res. 2004, 339, 313–319. [Google Scholar] [CrossRef]
- Ma, J.; Sahai, Y. Chitosan biopolymer for fuel cell applications. Carbohydr. Polym. 2013, 92, 955–975. [Google Scholar] [CrossRef]
- Wu, M.Y.; Long, Z.; Xiao, H.N.; Dong, C.H. Preparation of N, N, N-trimethyl chitosan via a novel approach using dimethyl carbonate. Carbohydr. Polym. 2017, 169, 83–91. [Google Scholar] [CrossRef]
- Lim, S.H.; Hudson, S.M. Application of a fiber-reactive chitosan derivative to cotton fabric as an antimicrobial textile finish. Carbohydr. Polym. 2004, 56, 227–234. [Google Scholar] [CrossRef]
- Yin, Y.H.; Dang, C.; Zheng, X.; Pu, J.W. Synthesis of 2-Hydroxypropyl trimethylammonium chloride chitosan and its application in bamboo fiber paper. Bioresources 2017, 12, 2899–2911. [Google Scholar] [CrossRef]
- Mi, Y.Q.; Tan, W.Q.; Zhang, J.J.; Wei, L.J.; Chen, Y.; Li, Q.; Dong, F.; Guo, Z.Y. Synthesis, characterization, and antifungal property of hydroxypropyltrimethyl ammonium chitosan halogenated acetates. Mar. Drugs 2018, 16, 315. [Google Scholar] [CrossRef]
- Cao, Y.C.; Wang, X.; Mamlouk, M.; Scott, K. Preparation of alkaline anion exchange polymer membrane from methylated melamine grafted poly(vinylbenzyl chloride) and its fuel cell performance. J. Mater. Chem. 2011, 21, 12910–12916. [Google Scholar] [CrossRef]
- Vengatesan, S.; Santhi, S.; Sozhan, G.; Ravichandran, S.; Davidson, D.J.; Vasudevan, S. Novel cross-linked anion exchange membrane based on hexaminium functionalized poly(vinylbenzyl chloride). RSC Adv. 2015, 5, 27365–27371. [Google Scholar] [CrossRef]
- Wang, J.L.; Che, Q.T.; He, R.H. Positively Charged Polystyrene Blended Quaternized Chitosan for Anion Exchange Membranes. J. Electrochem. Soc. 2013, 160, F168–F174. [Google Scholar] [CrossRef]
- Xiong, Y.; Liu, Q.L.; Zhang, Q.G.; Zhu, A.M. Synthesis and characterization of cross-linked quaternized poly(vinyl alcohol)/chitosan composite anion exchange membranes for fuel cells. J. Power Sources 2008, 183, 447–453. [Google Scholar] [CrossRef]
- Poynton, S.D.; Slade, R.C.T.; Omasta, T.J.; Mustain, W.E.; Escudero-Cid, R.; Ocon, P.; Varcoe, J.R. Preparation of radiation-grafted powders for use as anion exchange ionomers in alkaline polymer electrolyte fuel cells. J. Mater. Chem. A 2014, 2, 5124–5130. [Google Scholar] [CrossRef]
- Song, R.; Zhong, Z.H.; Lin, L.X. Evaluation of chitosan quaternary ammonium salt-modified resin denture base material. Int. J. Biol. Macromol. 2016, 85, 102–110. [Google Scholar] [CrossRef]
- Zhang, S.; Liu, X.D.; Jin, X.D.; Li, H.F.; Sun, J.; Gu, X.Y. The novel application of chitosan: Effects of cross-linked chitosan on the fire performance of thermoplastic polyurethane. Carbohydr. Polym. 2018, 189, 313–321. [Google Scholar] [CrossRef] [PubMed]
- Li, Q.; Tan, W.Q.; Zhang, C.L.; Gu, G.D.; Guo, Z.Y. Synthesis of water soluble chitosan derivatives with halogeno-1,2,3-triazole and their antifungal activity. Int. J. Biol. Macromol. 2016, 91, 623–629. [Google Scholar] [CrossRef]
- Zhou, J.; Guo, J.S.; Chu, D.; Chen, R.R. Impacts of anion-exchange-membranes with various ionic exchange capacities on the performance of H2/O2 fuel cells. J. Power Sources 2012, 219, 272–279. [Google Scholar] [CrossRef]
- Vengatesan, S.; Santhi, S.; Jeevanantham, S.; Sozhan, G. Quaternized poly(styrene-co-vinylbenzyl chloride) anion exchange membranes for alkaline water electrolysers. J. Power Sources 2015, 284, 361–368. [Google Scholar] [CrossRef]
- Tang, R.; Zhang, Y.; Zhang, Y.; Yu, Z. Synthesis and characterization of chitosan based dye containing quaternary ammonium group. Carbohydr. Polym. 2016, 139, 191–196. [Google Scholar] [CrossRef]
- Yuan, Y.; Shen, C.; Chen, J.; Ren, X. Synthesis and characterization of cross-linked quaternized chitosan/poly(diallyldimethylammonium chloride) blend anion-exchange membranes. Ionics 2018, 24, 1173–1180. [Google Scholar] [CrossRef]
- Luan, F.; Wei, L.; Zhang, J.; Tan, W.; Chen, Y.; Dong, F.; Li, Q.; Guo, Z. Preparation and characterization of quaternized chitosan derivatives and assessment of their antioxidant activity. Molecules 2018, 23, 516. [Google Scholar] [CrossRef] [PubMed]
- Dang, H.S.; Weiber, E.A.; Jannasch, P. Poly(phenylene oxide) functionalized with quaternary ammonium groups via flexible alkyl spacers for high-performance anion exchange membranes. J. Mater. Chem. A 2015, 3, 5280–5284. [Google Scholar] [CrossRef]
- Das, G.; Kim, C.Y.; Kang, D.H.; Kim, B.H.; Yoon, H.H. Quaternized polysulfone cross-linked N,N-Dimethyl chitosan-based anion-conducting membranes. Polymers 2019, 11, 512. [Google Scholar] [CrossRef] [PubMed]
- He, Y.; Tong, C.; Geng, L.; Liu, L.; Lü, C. Enhanced performance of the sulfonated polyimide proton exchange membranes by graphene oxide: Size effect of graphene oxide. J. Membr. Sci. 2014, 458, 36–46. [Google Scholar] [CrossRef]
- Lee, H.-S.; Roy, A.; Lane, O.; Lee, M.; McGrath, J.E. Synthesis and characterization of multiblock copolymers based on hydrophilic disulfonated poly(arylene ether sulfone) and hydrophobic partially fluorinated poly(arylene ether ketone) for fuel cell applications. J. Polym. Sci. Part A Polym. Chem. 2010, 48, 214–222. [Google Scholar] [CrossRef]
- Das, G.; Park, B.J.; Yoon, H.H. A bionanocomposite based on 1,4-diazabicyclo-[2.2.2]-octane cellulose nanofiber cross-linked-quaternary polysulfone as an anion conducting membrane. J. Mater. Chem. A 2016, 4, 1554–15564. [Google Scholar] [CrossRef]
- Yang, J.M.; Wang, S.A. Preparation of graphene-based poly(vinyl alcohol)/chitosan nanocomposites membrane for alkaline solid electrolytes membrane. J. Membr. Sci. 2015, 477, 49–57. [Google Scholar] [CrossRef]
- Jiang, X.; Xiang, N.; Zhang, H.; Sun, Y.; Lin, Z.; Hou, L. Preparation and characterization of poly(vinyl alcohol)/sodium alginate hydrogel with high toughness and electric conductivity. Carbohydr. Polym. 2018, 186, 377–383. [Google Scholar] [CrossRef]
- Gao, X.; Yu, H.; Xie, F.; Hao, J.; Shao, Z. High performance cross-linked anion exchange membrane based on aryl-ether free polymer backbones for anion exchange membrane fuel cell application. Sustain. Energy Fuels 2020, 4, 4057–4066. [Google Scholar] [CrossRef]
- Zawodzinski, T.A.; Springer, T.E.; Davey, J.; Jestel, R.; Lopez, C.; Valerio, J.; Gottesfeld, S. A comparative study of water uptake by and transport through ionomeric fuel cell membranes. J. Electrochem. Soc. 1993, 140, 1981–1985. [Google Scholar] [CrossRef]










| Water Uptake (%), RT | Ion Exchange Capacity (mmol/g) | Ion Exchange Capacity (mmol/cm3) | Through-Plane Swelling Ratio (%) at RT | In-Plane Swelling Ratio (%) at RT | Ionic Conductivity (mS/cm) at RT | |
|---|---|---|---|---|---|---|
| QVBC/PSF 1–0% QCS | 39.4 | 0.9 | 0.96 | 20.5 | 6.38 | 27.04 |
| QVBC/PSF 2–5% QCS | 61.7 | 1.98 | 1.56 | 28.1 | 10.4 | 49.6 |
| QVBC/PSF–10% QCS | 66.7 | 2.24 | 1.75 | 38.5 | 8.1 | 52 |
| Membrane | Modification | Water Uptake (%), RT | Ion Exchange Capacity (mmol/g) | Ionic Conductivity (S/cm) | References |
|---|---|---|---|---|---|
| QVBC/PSF/10%QCS | Crosslinking and quaternization | 61.7 | 1.7 | 0.13 (70 °C) | This study |
| PPO-QA | Straightforward bromoalkylation and quaternization steps | 65 | 1.8 | 0.085 (80 °C) | [43] |
| QPSfDMC | Crosslinking and quaternization | 124 | 2.34 | 0.094 (70 °C) | [44] |
| QPSf/QC | Quaternized cellulose and crosslinking | 80.47 | 2.71 | 0.128 (80 °C) | [47] |
| PVA/Chitosan/Graphene (PCsG0.1) | Sulfonated graphene | x | x | 0.093 (80 °C) | [48] |
| QPVA/Chitosannanoparticles (10%) (CQPVA-CL) | Chitosan nanoparticles | 89.5 | x | 0.032 (70 °C) | [49] |
Publisher’s Note: MDPI stays neutral with regard to jurisdictional claims in published maps and institutional affiliations. |
© 2020 by the authors. Licensee MDPI, Basel, Switzerland. This article is an open access article distributed under the terms and conditions of the Creative Commons Attribution (CC BY) license (http://creativecommons.org/licenses/by/4.0/).
Share and Cite
Nhung, L.T.T.; Kim, I.Y.; Yoon, Y.S. Quaternized Chitosan-Based Anion Exchange Membrane Composited with Quaternized Poly(vinylbenzyl chloride)/Polysulfone Blend. Polymers 2020, 12, 2714. https://doi.org/10.3390/polym12112714
Nhung LTT, Kim IY, Yoon YS. Quaternized Chitosan-Based Anion Exchange Membrane Composited with Quaternized Poly(vinylbenzyl chloride)/Polysulfone Blend. Polymers. 2020; 12(11):2714. https://doi.org/10.3390/polym12112714
Chicago/Turabian StyleNhung, Le Thi Tuyet, In Yea Kim, and Young Soo Yoon. 2020. "Quaternized Chitosan-Based Anion Exchange Membrane Composited with Quaternized Poly(vinylbenzyl chloride)/Polysulfone Blend" Polymers 12, no. 11: 2714. https://doi.org/10.3390/polym12112714
APA StyleNhung, L. T. T., Kim, I. Y., & Yoon, Y. S. (2020). Quaternized Chitosan-Based Anion Exchange Membrane Composited with Quaternized Poly(vinylbenzyl chloride)/Polysulfone Blend. Polymers, 12(11), 2714. https://doi.org/10.3390/polym12112714
