Microstructural Evolution of Poly(ε-Caprolactone), Its Immiscible Blend, and In Situ Generated Nanocomposites
Abstract
1. Introduction
2. Materials and Methods
2.1. Materials
2.2. Sample Preparation
2.3. Mechanical and Thermal Properties
2.4. Scanning Electronic Microscopy (SEM)
2.5. Rheological Measurements
2.6. In Situ 2D SAXS
2.7. 2D WAXS
3. Results
3.1. Characterization of PCL, PCL/PHA Blend and Composite
3.2. In Situ SAXS Results
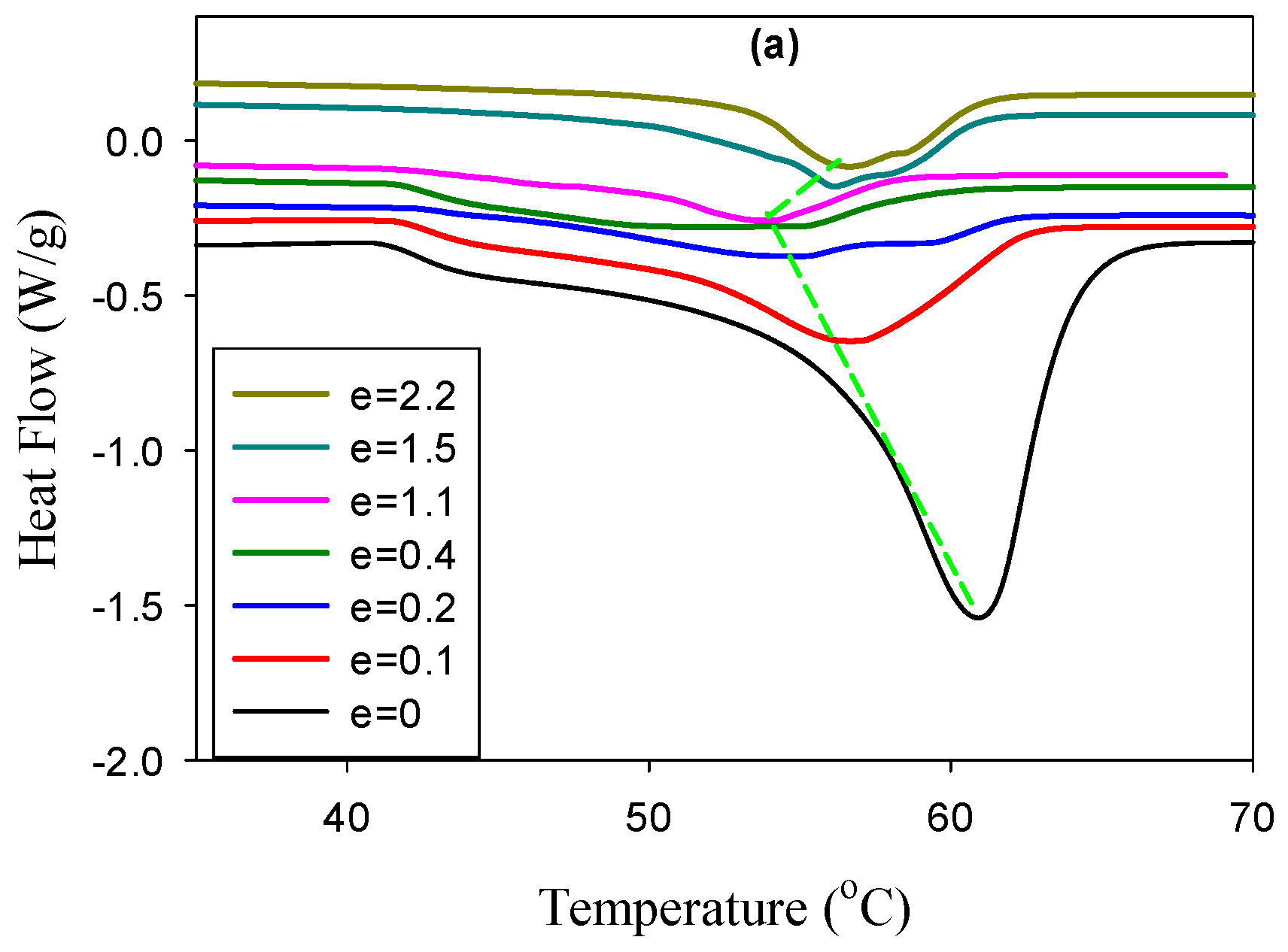
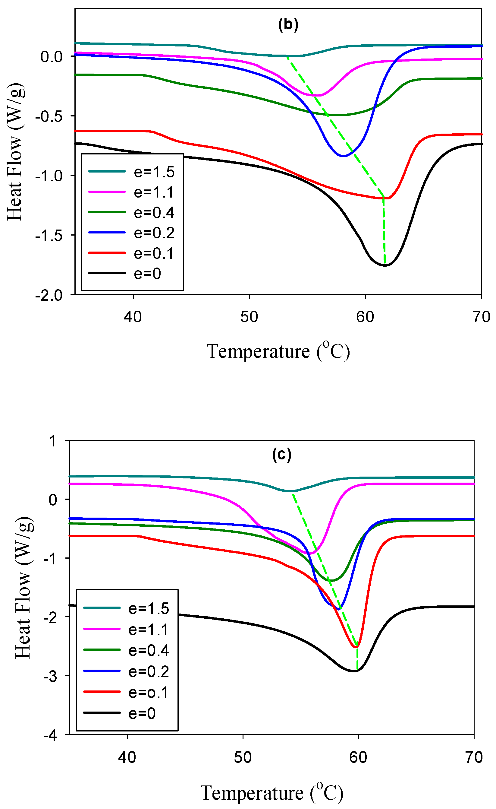
3.3. DSC Results
3.4. 2D WAXS Results
4. Conclusions
5. Patents
Supplementary Materials
Author Contributions
Funding
Conflicts of Interest
References
- Zhao, Y.; Keroack, D.; Prud’homme, R. Crystallization under strain and resultant orientation of poly(epsilon-caprolactone) in miscible blends. Macromolecules 1999, 32, 1218–1225. [Google Scholar] [CrossRef]
- Ponting, M.Y.; Lin, J.; Keum, J.K.; Hiltner, A.; Baer, E. Effect of substrate on the isothermal crystallization kinetics of confined poly(epsilon-caprolactone) nano layers. Macromolecules 2010, 43, 8619–8627. [Google Scholar] [CrossRef]
- Shin, E.J.; Jeong, W.; Brown, H.A.; Koo, B.J.; Hedrick, J.L.; Waymouth, R.M. Crystallization of Cyclic Polymers: Synthesis and Crystallization Behavior of High Molecular Weight Cyclic Poly(ε-caprolactone)s. Macromolecules 2011, 44, 2773–2779. [Google Scholar] [CrossRef]
- Moussaif, N.; Crespo, C.; Meier, J.G.; Jiménez, M. Synergistic reinforcement of nanoclay and mesoporous silicate fillers in polycaprolactone: The effect of nanoclay on the compatibility of the components. Polymer 2012, 53, 3741–3748. [Google Scholar] [CrossRef]
- Wang, B.; Li, Y.; Weng, G.; Jiang, Z.; Chen, P.; Wang, Z.; Gu, Q. Reduced graphene oxide enhances the crystallization and orientation of poly(ε-caprolactone). Compos. Sci. Technol. 2014, 96, 63–70. [Google Scholar] [CrossRef]
- Gumede, T.P.; Luyt, A.S.; Hassan, M.K.; Pérez-Camargo, R.A.; Tercjak, A.; Müller, A.J. Morphology, Nucleation, and Isothermal Crystallization Kinetics of Poly(ε-caprolactone) Mixed with a Polycarbonate/MWCNTs Masterbatch. Polymers 2017, 9, 709. [Google Scholar] [CrossRef] [PubMed]
- Chin, S.J.; Vempati, S.; Dawson, P.; Knite, M.; Linarts, A.; Ozols, K.; Mcnally, T. Electrical conduction and rheological behavior of composites of poly(ε-caprolactone) and MWCNTs. Polymer 2014, 58, 209–221. [Google Scholar] [CrossRef]
- Jiang, Z.Y.; Wang, Y.T.; Fu, L.L.; Whiteside, B.; Wyborn, J.; Norris, K.; Wu, Z.H.; Coates, P.; Men, Y.F. Tensile Deformation of Oriented Poly(epsilon-caprolactone) and Its Miscible Blends with Poly(vinyl methyl ether). Macromolecules 2013, 46, 6981–6990. [Google Scholar] [CrossRef]
- Li, W.; Prud’homme, R.E. Orientation and miscibility of poly(ε-caprolactone)/poly(styrene-co-acrylonitrile) mixtures. Polymer 1993, 35, 3260–3267. [Google Scholar] [CrossRef]
- Jiang, Z.; Fu, L.; Sun, Y.; Li, X.; Men, Y. Deformation-Induced Phase Separation in Blends of Poly(ε-caprolactone) with Poly(vinyl methyl ether). Macromolecules 2011, 44, 7062–7065. [Google Scholar] [CrossRef]
- Bouakaz, B.S.; Habi, A.; Grohens, Y.; Pillin, I. Organomontmorillonite/graphene-PLA/PCL nanofilled blends: New strategy to enhance the functional properties of PLA/PCL blend. Appl. Clay Sci. 2017, 139, 81–91. [Google Scholar] [CrossRef]
- Deng, S.; Ma, J.; Guo, Y.; Chen, F.; Fu, Q. One-step modification and nanofibrillation of microfibrillated cellulose for simultaneously reinforcing and toughening of poly(ε-caprolactone). Compos. Sci. Technol. 2018, 157, 168–177. [Google Scholar] [CrossRef]
- Han, L.; Wang, B.; Dai, Y.; Zhang, Y.; Xu, H.; Sui, X.; Zhang, L.; Zhong, Y.; Mao, Z. Dually self-reinforced Poly(ε-caprolactone) composites based on unidirectionally arranged fibers. Compos. Sci. Technol. 2018, 165, 331–338. [Google Scholar] [CrossRef]
- Jing, X.; Kuang, T.; Wang, X.-C.; Peng, X.-F.; Turng, L.-S. Shish-Kebab-Structured Poly(ε-Caprolactone) Nanofibers Hierarchically Decorated with Chitosan–Poly(ε-Caprolactone) Copolymers for Bone Tissue Engineering. ACS Appl. Mater. Interfaces 2015, 7, 6955–6965. [Google Scholar] [CrossRef]
- Kelnar, I.; Fortelný, I.; Kaprálková, L.; Kratochvíl, J.; Angelov, B.; Nevoralová, M. Effect of layered silicates on fibril formation and properties of PCL/PLA microfibrillar composites. J. Appl. Polym. Sci. 2015, 133, 43061. [Google Scholar] [CrossRef]
- Kelnar, I. Effect of halloysite on structure and properties of melt-drawn PCL/PLA microfibrillar composites. Express Polym. Lett. 2016, 10, 381–393. [Google Scholar] [CrossRef]
- Kakroodi, A.R.; Kazemi, Y.; Rodrigue, D.; Park, C.B. Facile production of biodegradable PCL/PLA in situ nanofibrillar composites with unprecedented compatibility between the blend components. Chem. Eng. J. 2018, 351, 976–984. [Google Scholar] [CrossRef]
- Men, Y.; Strobl, G. Critical Strains in Poly(ε-caprolactone) and Blends with Poly(vinyl methyl ether) and Poly(styrene-co-acrylonitrile). Macromolecules 2003, 36, 1889–1898. [Google Scholar] [CrossRef]
- Kamal, T.; Shin, T.J.; Park, S.-Y. Uniaxial Tensile Deformation of Poly(ε-caprolactone) Studied with SAXS and WAXS Techniques Using Synchrotron Radiation. Macromolecules 2012, 45, 8752–8759. [Google Scholar] [CrossRef]
- Jiang, Z.; Liao, T.; Chen, R.; Men, Y. Formation and growth of cavities in tensile deformation of Poly(ε-caprolactone) and its miscible blends. Polymer 2019, 185, 121984. [Google Scholar] [CrossRef]
- Xie, L.; Xu, H.; Niu, B.; Ji, X.; Chen, J.; Li, Z.-M.; Hsiao, B.S.; Zhong, G.-J. Unprecedented Access to Strong and Ductile Poly(lactic acid) by Introducing In Situ Nanofibrillar Poly(butylene succinate) for Green Packaging. Biomacromolecules 2014, 15, 4054–4064. [Google Scholar] [CrossRef]
- Vozniak, I.; Hosseinnezhad, R.; Morawiec, J.; Galeski, A. Nanofibrillar Green Composites of Polylactide/Polyhydroxyalkanoate Produced in Situ Due to Shear Induced Crystallization. Polymers 2019, 11, 1811. [Google Scholar] [CrossRef]
- Hosseinnezhad, R.; Vozniak, I.; Morawiec, J.; Galeski, A.; Dutkiewicz, S. In situ generation of sustainable PLA-based nanocomposites by shear induced crystallization of nanofibrillar inclusions. RSC Adv. 2019, 9, 30370–30380. [Google Scholar] [CrossRef]
- Hosseinnezhad, R.; Vozniak, I.; Morawiec, J.; Galeski, A. Nanofibrillar green composites of polylactide/polyamide produced in situ due to shear induced crystallization. Compos. Commun. 2020, 22, 100512. [Google Scholar] [CrossRef]
- Voznyak, Y.; Morawiec, J.; Galeski, A. Ductility of polylactide composites reinforced with poly(butylene succinate) nanofibers. Compos. Part A Appl. Sci. Manuf. 2016, 90, 218–224. [Google Scholar] [CrossRef]
- Kakroodi, A.R.; Kazemi, Y.; Nofar, M.; Park, C.B. Tailoring poly(lactic acid) for packaging applications via the production of fully bio-based in situ microfibrillar composite films. Chem. Eng. J. 2017, 308, 772–782. [Google Scholar] [CrossRef]
- Chen, J.; Wang, Y.; Yin, Z.; Tam, K.C.; Wu, D. Morphology and mechanical properties of poly(β-hydroxybutyrate)/poly(ε-caprolactone) blends controlled with cellulosic particles. Carbohydr. Polym. 2017, 174, 217–225. [Google Scholar] [CrossRef]
- Bartczak, Z.; Vozniak, A. WAXS/SAXS study of plastic deformation instabilities and lamellae fragmentation in polyethylene. Polymer 2019, 177, 160–177. [Google Scholar] [CrossRef]
- Bartczak, Z.; Grala, M.; Vozniak, A. Deformation Mechanisms of Isotactic Poly-1-Butene and Its Copolymers Deformed by Plane-Strain Compression and Tension. Crystals 2019, 9, 194. [Google Scholar] [CrossRef]
- Peterlin, A. Molecular model of drawing polyethylene and polypropylene. J. Mater. Sci. 1971, 6, 490–508. [Google Scholar] [CrossRef]
- Bartczak, Z. Effect of Chain Entanglements on Plastic Deformation Behavior of Linear Polyethylene. Macromolecules 2005, 38, 7702–7713. [Google Scholar] [CrossRef]
- Li, R.; Yang, G.-X.; Qin, Y.-N.; Liu, L.; Jiang, Z. Molecular Mobility in the Amorphous Phase Determines the Critical Strain of Fibrillation in the Tensile Stretching of Polyethylene. Chin. J. Polym. Sci. 2019, 38, 740–747. [Google Scholar] [CrossRef]
- Hiss, R.; Hobeika, S.; Lynn, C.; Strobl, G. Network Stretching, Slip Processes, and Fragmentation of Crystallites during Uniaxial Drawing of Polyethylene and Related Copolymers. A Comparative Study. Macromolecules 1999, 32, 4390–4403. [Google Scholar] [CrossRef]











| Material | Young Modulus | Yield Stress | Stress at Break | Strain at Break | Toughness | |||||
|---|---|---|---|---|---|---|---|---|---|---|
| (MPa) | Ratio | (MPa) | Ratio | (MPa) | Ratio | (%) | Ratio | (kJ/m3) | Ratio | |
| Neat | 33010 | 1.0 | 12.00.4 | 1.0 | 24.00.4 | 1.0 | 33410 | 1.0 | 40.40.8 | 1.0 |
| Blend | 30615 | 0.9 | 11.40.5 | 0.9 | 20.50.4 | 0.8 | 35710 | 1.1 | 42.41.2 | 1.0 |
| Nanocomposite | 69020 | 2.1 | 13.80.4 | 1.1 | 43.70.5 | 1.8 | 50815 | 1.5 | 80.53.7 | 2.0 |
Publisher’s Note: MDPI stays neutral with regard to jurisdictional claims in published maps and institutional affiliations. |
© 2020 by the authors. Licensee MDPI, Basel, Switzerland. This article is an open access article distributed under the terms and conditions of the Creative Commons Attribution (CC BY) license (http://creativecommons.org/licenses/by/4.0/).
Share and Cite
Vozniak, I.; Hosseinnezhad, R.; Morawiec, J.; Galeski, A. Microstructural Evolution of Poly(ε-Caprolactone), Its Immiscible Blend, and In Situ Generated Nanocomposites. Polymers 2020, 12, 2587. https://doi.org/10.3390/polym12112587
Vozniak I, Hosseinnezhad R, Morawiec J, Galeski A. Microstructural Evolution of Poly(ε-Caprolactone), Its Immiscible Blend, and In Situ Generated Nanocomposites. Polymers. 2020; 12(11):2587. https://doi.org/10.3390/polym12112587
Chicago/Turabian StyleVozniak, Iurii, Ramin Hosseinnezhad, Jerzy Morawiec, and Andrzej Galeski. 2020. "Microstructural Evolution of Poly(ε-Caprolactone), Its Immiscible Blend, and In Situ Generated Nanocomposites" Polymers 12, no. 11: 2587. https://doi.org/10.3390/polym12112587
APA StyleVozniak, I., Hosseinnezhad, R., Morawiec, J., & Galeski, A. (2020). Microstructural Evolution of Poly(ε-Caprolactone), Its Immiscible Blend, and In Situ Generated Nanocomposites. Polymers, 12(11), 2587. https://doi.org/10.3390/polym12112587

