Poly (Dimethylsiloxane) Coating for Repellency of Polar and Non-Polar Liquids
Abstract
1. Introduction
2. Experimental
2.1. Materials
2.2. Preparation of PDMS Brush Coating
2.3. Contact Angle Measurements
2.4. Atomic Force Microscopy
3. Results and Discussion
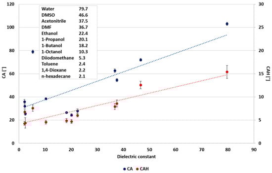
3.1. Wettability of Polar and Non-Polar Liquids
3.2. Sliding Effect of Non-Polar Liquids
3.3. Comprehensive Modeling of CAH
3.4. Surface Analysis
4. Conclusions
Author Contributions
Funding
Conflicts of Interest
References
- Wang, S.; Liu, K.; Yao, X.; Jiang, L. Bioinspired surfaces with superwettability: New insight on theory, design, and applications. Chem. Rev. 2015, 115, 8230–8293. [Google Scholar] [CrossRef] [PubMed]
- Wen, L.; Tian, Y.; Jiang, L. Bioinspired super-wettability from fundamental research to practical applications. Angew. Chem. Int. Ed. 2015, 54, 2–15. [Google Scholar] [CrossRef] [PubMed]
- Liu, K.; Tian, Y.; Jiang, L. Bio-inspired superoleophobic and smart materials: Design, fabrication, and application. Prog. Mater. Sci. 2013, 58, 503–564. [Google Scholar] [CrossRef]
- Wooh, S.; Vollmer, D. Silicone Brushes: Omniphobic Surfaces with Low Sliding Angles. Angew. Chem. Int. Ed. 2016, 55, 6822–6824. [Google Scholar] [CrossRef]
- Bracco, G.; Holst, B. (Eds.) Surface Science Techniques; Springer: Berlin, Germany, 2013; ISBN 978-3-642-34242-4. [Google Scholar]
- Feng, L.; Li, S.; Li, Y.; Li, H.; Zhang, L.; Zhai, J.; Song, Y.; Liu, B.; Jiang, L.; Zhu, D. Super-Hydrophobic Surfaces: From Natural to Artificial. Adv. Mater. 2002, 14, 1857–1860. [Google Scholar] [CrossRef]
- Korhonen, J.T.; Huhtamäki, T.; Ikkala, O.; Ras, R.H.A. Reliable measurement of the receding contact angle-supporting information. Langmuir 2013, 29, 3858–3863. [Google Scholar] [CrossRef] [PubMed]
- Urata, C.; Masheder, B.; Cheng, D.F.; Miranda, D.F.; Dunderdale, G.J.; Miyamae, T.; Hozumi, A. Why can organic liquids move easily on smooth alkyl-terminated surfaces? Langmuir 2014, 30, 4049–4055. [Google Scholar] [CrossRef]
- Boban, M.; Golovin, K.; Tobelmann, B.; Gupte, O.; Mabry, J.M.; Tuteja, A. Smooth, All-Solid, Low-Hysteresis, Omniphobic Surfaces with Enhanced Mechanical Durability. ACS Appl. Mater. Interfaces 2018, 10, 11406–11413. [Google Scholar] [CrossRef]
- Eral, H.B.; ’t Mannetje, D.J.C.M.; Oh, J.M. Contact angle hysteresis: A review of fundamentals and applications. Colloid Polym. Sci. 2013, 291, 247–260. [Google Scholar] [CrossRef]
- Darmanin, T.; Taffin de Givenchy, E.; Guittard, F. Chemical and Physical Pathways for the Preparation of Superoleophobic Surfaces and Related Wetting Theories. Chem. Rev. 2014, 114, 2694–2716. [Google Scholar]
- Jiang, T.; Guo, Z.; Liu, W. Biomimetic superoleophobic surfaces: Focusing on their fabrication and applications. Mater. Chem. A 2015, 3, 1811–1827. [Google Scholar] [CrossRef]
- Zhao, H.; Law, K.Y.; Sambhy, V. Fabrication, surface properties, and origin of superoleophobicity for a model textured surface. Langmuir 2011, 27, 5927–5935. [Google Scholar] [CrossRef] [PubMed]
- Kim, S.I.; Lim, J.I.; Lee, B.R.; Mun, C.H.; Jung, Y.; Kim, S.H. Preparation of lotus-leaf-like structured blood compatible poly(e-caprolactone)-block-poly(l-lactic acid) copolymer film surfaces. Colloids Surf. B Biointerfaces 2014, 114, 28–35. [Google Scholar] [CrossRef] [PubMed]
- Tuteja, A.; Choi, W.; Mabry, J.M.; McKinley, G.H.; Cohen, R.E. Robust Omniphobic Surfaces. Proc. Natl. Acad. Sci. USA 2008, 105, 18200–18205. [Google Scholar] [CrossRef]
- Sun, T.; Feng, L.; Gao, X.; Jiang, L. Bioinspired Surfaces with Special Wettability. Acc. Chem. Res. 2005, 38, 644–652. [Google Scholar] [CrossRef]
- Xue, Z.; Liu, M.; Jiang, L. Recent developments in polymeric superoleophobic surfaces. J. Polym. Sci. Part B Polym. Phys. 2012, 50, 1209–1224. [Google Scholar] [CrossRef]
- Maani, N.; Rayz, V.S.; Nosonovsky, M. Biomimetic approaches for green tribology: From the lotus effect to blood flow control. Metrol. Prop 2015, 3, 034001. [Google Scholar] [CrossRef]
- Cheng, D.F.; Masheder, B.; Urata, C.; Hozumi, A. Smooth perfluorinated surfaces with different chemical and physical natures: Their unusual dynamic dewetting behavior toward polar and nonpolar liquids. Langmuir 2013, 29, 11322–11329. [Google Scholar] [CrossRef]
- Wu, X.; Liu, M.; Zhong, X.; Liu, G.; Wyman, I.; Wang, Z.; Wu, Y.; Yang, H.; Wang, J. Smooth Water-Based Antismudge Coatings for Various Substrates. Sustain. Chem. Eng. 2017, 5, 2605–2613. [Google Scholar] [CrossRef]
- Cheng, D.F.; Urata, C.; Masheder, B.; Hozumi, A. A physical approach to specifically improve the mobility of alkane liquid drops. J. Am. Chem. Soc. 2012, 134, 10191–10199. [Google Scholar] [CrossRef]
- Urata, C.; Masheder, B.; Cheng, D.F.; Hozumi, A. How to reduce resistance to movement of alkane liquid drops across tilted surfaces without relying on surface roughening and perfluorination. Langmuir 2012, 28, 17681–17689. [Google Scholar] [CrossRef] [PubMed]
- Urata, C.; Cheng, D.F.; Masheder, B.; Hozumi, A. Smooth, transparent and nonperfluorinated surfaces exhibiting unusual contact angle behavior toward organic liquids. RSC Adv. 2012, 2, 9805–9808. [Google Scholar] [CrossRef]
- Urata, C.; Masheder, B.; Cheng, D.F.; Hozumi, A. Unusual dynamic dewetting behavior of smooth perfluorinated hybrid films: Potential advantages over conventional textured and liquid-infused perfluorinated surfaces. Langmuir 2013, 29, 12472–12482. [Google Scholar] [CrossRef] [PubMed]
- Liu, P.; Zhang, H.; He, W.; Li, H.; Jiang, J.; Liu, M.; Sun, H.; He, M.; Cui, J.; Jiang, L.; et al. Development of “liquid-like” Copolymer Nanocoatings for Reactive Oil-Repellent Surface. ACS Nano 2017, 11, 2248–2256. [Google Scholar] [CrossRef]
- Khan, F.; Rabnawaz, M.; Li, Z.; Khan, A.; Naveed, M.; Tuhin, M.O.; Rahimb, F. Simple Design for Durable and Clear Self-Cleaning Coatings. ACS Appl. Polym. Mater. 2019, 1, 2659–2667. [Google Scholar] [CrossRef]
- Zhong, X.; Lv, L.; Hu, H.; Jiang, X.; Fu, H. Bio-based coatings with liquid repellency for various applications. Chem. Eng. J. 2020, 382, 123042. [Google Scholar] [CrossRef]
- Wang, L.; McCarthy, T.J. Covalently Attached Liquids: Instant Omniphobic Surfaces with Unprecedented Repellency. Angew. Chem. Int. Ed. 2016, 55, 244–248. [Google Scholar] [CrossRef]
- Cheng, D.F.; Urata, C.; Yagihashi, M.; Hozumi, A. A statically oleophilic but dynamically oleophobic smooth nonperfluorinated surface. Angew. Chem. Int. Ed. 2012, 51, 2956–2959. [Google Scholar] [CrossRef]
- Fadeev, A.Y.; Mccarthy, T.J. Trialkylsilane Monolayers Covalently Attached to Silicon Surfaces: Wettability Studies Indicating that Molecular Topography Contributes to Contact Angle Hysteresis. Langmuir 1999, 15, 3759–3766. [Google Scholar] [CrossRef]
- Huang, Y.; Ding, X.; Lu, C.; Bai, L.; Guan, H.; Tong, Y. A facile approach to fabricate dynamically omniphobic coating on diverse substrates for self-cleaning. Prog. Org. Coat. 2019, 132, 475–480. [Google Scholar] [CrossRef]
- Krumpfer, J.W.; McCarthy, T.J. Rediscovering silicones: “unreactive” silicones react with inorganic surfaces. Langmuir 2011, 27, 11514–11519. [Google Scholar] [CrossRef] [PubMed]
- Mark, J.E. Some interesting things about polysiloxanes. Acc. Chem. Res. 2004, 37, 946–953. [Google Scholar] [CrossRef] [PubMed]
- Longenberger, T.B.; Ryan, K.M.; Bender, W.Y.; Krumpfer, A.-K.; Krumpfer, J.W. The Art of Silicones: Bringing Siloxane Chemistry to the Undergraduate Curriculum. J. Chem. Educ. 2017, 94, 1682–1690. [Google Scholar] [CrossRef]
- Smallwood, I.M. Handbook of Organic Solvent Properties; Wiley: London, UK; Halsted Press: New York, NY, USA, 1996. [Google Scholar]
- Hansen, C.M. Hansen Solubility Parameters A User’s Handbook; CRC Press: Boca Raton, FL, USA, 2013; Volume 53, ISBN 9788578110796. [Google Scholar]
- Korosi, G.; Kovats, E.S. Density and surface tension of 83 organic liquids. J. Chem. Eng. Data 1981, 26, 323–332. [Google Scholar] [CrossRef]
- Lide, D.R. CRC Handbook of Chemistry and Physics, 84th ed.; CRC Press: Boca Raton, FL, USA, 2003; Volume 53, ISBN 0849304849. [Google Scholar]
- Mittal, K.L. Silanes and Other Coupling Agents; LEIDEN: Boston, MA, USA, 2007. [Google Scholar]
- Mark, J.E. Polymer Data Handbook, 2nd ed.; Oxford University Press: New York, NY, USA, 1999; ISBN 9780195107890. [Google Scholar]
- Papazian, H.A. Correlation of Surface Tension between Various Liquids. J. Am. Chem. Soc. 1971, 93, 5634–5636. [Google Scholar] [CrossRef]
- Koenhen, D.M. The determination of solubility parameters of solvents and polymers by means of correlations with other physical quantities. J. Appl. Polym. Sci. 1975, 19, 1163–1179. [Google Scholar] [CrossRef]
- Jia, L.; Shi, B. A new equation between surface tensions and solubility parameters without molar volume parameters simultaneously fitting polymers and solvents. J. Macromol. Sci. Part B Phys. 2011, 50, 1042–1046. [Google Scholar] [CrossRef]










| Probe Liquid | Dielectric Constant | Surface Tension (mN/m) | Solubility Parameter (calcm−3)0.5 | Viscosity (mPaS) |
|---|---|---|---|---|
| Water a | 79.7 | 72.8 | 23.4 | 0.89 |
| Acetonitrile a | 37.5 | 29.1 | 11.9 | 0.38 |
| DMF a | 36.7 | 35.0 | 12.1 | 0.82 |
| Ethanol a | 22.4 | 22.3 | 12.7 | 1.08 |
| Diiodomethane | 5.3 d | 50.8 c | 9.3 e | 2.76 |
| Toluene a | 2.4 | 28.5 | 8.9 | 0.59 |
| 1,4-Dioxane a | 2.2 | 33.3 c | 10.0 | 1.30 |
| n-hexadecane | 2.1 d | 27.5 c | 8.0 b | 3.08 d |
| 1-Propanol a | 20.1 | 23.7 | 11.9 | 1.72 |
| 1-Butanol a | 18.2 | 24.6 | 11.4 | 3.0 |
| 1-Octanol a | 10.3 d | 27.5 | 10.4 | 7.5 |
| DMSO a | 46.6 | 43.7 | 13.0 | 2.0 |
| PDMS f | 2.5 | 20.8 | 7.5 | − |
| Ra (nm) | |
|---|---|
| Dry | |
| Water | |
| n-hexadecane |
Publisher’s Note: MDPI stays neutral with regard to jurisdictional claims in published maps and institutional affiliations. |
© 2020 by the authors. Licensee MDPI, Basel, Switzerland. This article is an open access article distributed under the terms and conditions of the Creative Commons Attribution (CC BY) license (http://creativecommons.org/licenses/by/4.0/).
Share and Cite
Monder, H.; Bielenki, L.; Dodiuk, H.; Dotan, A.; Kenig, S. Poly (Dimethylsiloxane) Coating for Repellency of Polar and Non-Polar Liquids. Polymers 2020, 12, 2423. https://doi.org/10.3390/polym12102423
Monder H, Bielenki L, Dodiuk H, Dotan A, Kenig S. Poly (Dimethylsiloxane) Coating for Repellency of Polar and Non-Polar Liquids. Polymers. 2020; 12(10):2423. https://doi.org/10.3390/polym12102423
Chicago/Turabian StyleMonder, Hila, Leo Bielenki, Hanna Dodiuk, Anna Dotan, and Samuel Kenig. 2020. "Poly (Dimethylsiloxane) Coating for Repellency of Polar and Non-Polar Liquids" Polymers 12, no. 10: 2423. https://doi.org/10.3390/polym12102423
APA StyleMonder, H., Bielenki, L., Dodiuk, H., Dotan, A., & Kenig, S. (2020). Poly (Dimethylsiloxane) Coating for Repellency of Polar and Non-Polar Liquids. Polymers, 12(10), 2423. https://doi.org/10.3390/polym12102423

