Effect of PMMA/Silica Hybrid Particles on Interfacial Adhesion and Crystallization Properties of Poly(lactic acid)/Block Acrylic Elastomer Composites
Abstract
1. Introduction
2. Materials and Methods
2.1. Materials
2.2. Preparation of PMMA/Silica Hybrid Particles
2.3. Preparation of PLA Composites
2.4. Universal Testing Machine Analysis
2.5. Differential Scanning Calorimetry and Thermal Gravimetric Analysis
2.6. Field-Emission Scanning Electron Microscopy Analysis
2.7. Rheometry Analysis
3. Results
3.1. Mechanical Properties
3.2. Morphology
3.3. Rheology
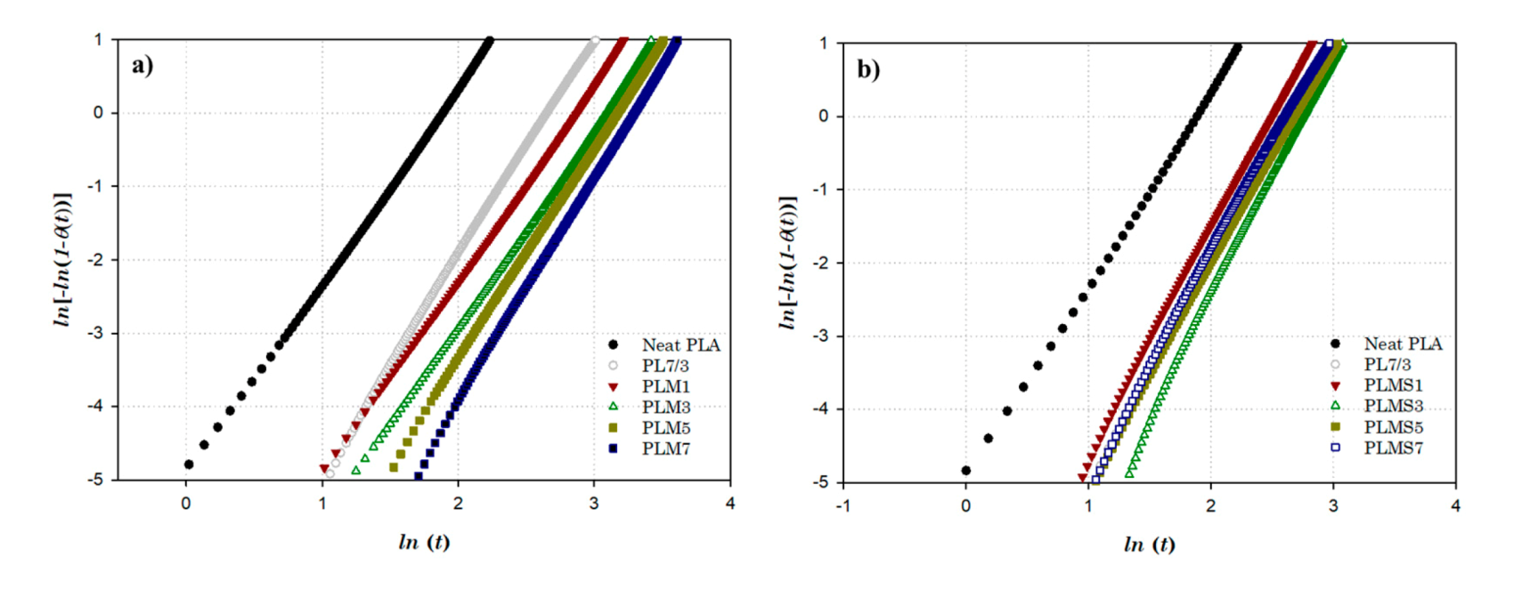
3.4. Thermal Properties
4. Conclusions
Supplementary Materials
Author Contributions
Funding
Conflicts of Interest
References
- Grijpma, D.W.; Pennings, A.J. (Co) polymers of l-lactide, 2. Mechanical properties. Macromol. Chem. Phys. 1994, 195, 1649–1663. [Google Scholar] [CrossRef]
- Perego, G.; Cella, G.D.; Bastioli, C. Effect of molecular weight and crystallinity on poly (lactic acid) mechanical properties. J. Appl. Polym. Sci. 1996, 59, 37–43. [Google Scholar] [CrossRef]
- Alaerts, L.; Augustinus, M.; Van Acker, K. Impact of bio-based plastics on current recycling of plastics. Sustainability 2018, 10, 1487. [Google Scholar] [CrossRef]
- Lee, S.-Y.; Chin, I.-J.; Jung, J.-S. Crystallization behavior of poly (L-lactide)-poly (ethylene glycol) multiblock copolymers. Eur. Polym. J. 1999, 35, 2147–2153. [Google Scholar] [CrossRef]
- Bechtold, K.; Hillmyer, M.A.; Tolman, W.B. Perfectly alternating copolymer of lactic acid and ethylene oxide as a plasticizing agent for polylactide. Macromolecules 2001, 34, 8641–8648. [Google Scholar] [CrossRef]
- Jacobsen, S.; Fritz, H.-G. Plasticizing polylactide—The effect of different plasticizers on the mechanical properties. Polymer Eng. Sci. 1999, 39, 1303–1310. [Google Scholar] [CrossRef]
- Martin, O.; Avérous, L. Poly (lactic acid): Plasticization and properties of biodegradable multiphase systems. Polymer 2001, 42, 6209–6219. [Google Scholar] [CrossRef]
- Ljungberg, N.; Wesslen, B. The effects of plasticizers on the dynamic mechanical and thermal properties of poly (lactic acid). J. Appl. Polym. Sci. 2002, 86, 1227–1234. [Google Scholar] [CrossRef]
- Li, H.; Huneault, M.A. Effect of nucleation and plasticization on the crystallization of poly (lactic acid). Polymer 2007, 48, 6855–6866. [Google Scholar] [CrossRef]
- Yang, L.; Chen, X.; Jing, X. Stabilization of poly (lactic acid) by polycarbodiimide. Polym. Degrad. Stab. 2008, 93, 1923–1929. [Google Scholar] [CrossRef]
- Gajria, A.M.; Dave, V.; Gross, R.A.; McCarthy, S.P. Miscibility and biodegradability of blends of poly (lactic acid) and poly (vinyl acetate). Polymer 1996, 37, 437–444. [Google Scholar] [CrossRef]
- Nijenhuis, A.; Colstee, E.; Grijpma, D.; Pennings, A. High molecular weight poly (L-lactide) and poly (ethylene oxide) blends: Thermal characterization and physical properties. Polymer 1996, 37, 5849–5857. [Google Scholar] [CrossRef]
- Tsuji, H.; Ikada, Y. Blends of aliphatic polyesters. I. Physical properties and morphologies of solution-cast blends from poly (DL-lactide) and poly (ε-caprolactone). J. Appl. Polym. Sci. 1996, 60, 2367–2375. [Google Scholar] [CrossRef]
- Sheth, M.; Kumar, R.A.; Davé, V.; Gross, R.A.; McCarthy, S.P. Biodegradable polymer blends of poly (lactic acid) and poly (ethylene glycol). J. Appl. Polym. Sci. 1997, 66, 1495–1505. [Google Scholar] [CrossRef]
- Yan, S.; Yin, J.; Yang, Y.; Dai, Z.; Ma, J.; Chen, X. Surface-grafted silica linked with L-lactic acid oligomer: A novel nanofiller to improve the performance of biodegradable poly (L-lactide). Polymer 2007, 48, 1688–1694. [Google Scholar] [CrossRef]
- Zhu, A.; Diao, H.; Rong, Q.; Cai, A. Preparation and properties of polylactide–silica nanocomposites. J. Appl. Polym. Sci. 2010, 116, 2866–2873. [Google Scholar] [CrossRef]
- Yu, F.; Huang, H.-X. Simultaneously toughening and reinforcing poly (lactic acid)/thermoplastic polyurethane blend via enhancing interfacial adhesion by hydrophobic silica nanoparticles. Polym. Test. 2015, 45, 107–113. [Google Scholar] [CrossRef]
- Vrsaljko, D.; Macut, D.; Kovačević, V. Potential role of nanofillers as compatibilizers in immiscible PLA/LDPE blends. J. Appl. Polym. Sci. 2015, 132, 41414. [Google Scholar] [CrossRef]
- Lv, H.; Song, S.; Sun, S.; Ren, L.; Zhang, H. Enhanced properties of poly (lactic acid) with silica nanoparticles. Polym. Adv. Technol. 2016, 27, 1156–1163. [Google Scholar] [CrossRef]
- Dil, E.J.; Favis, B.D. Localization of micro-and nano-silica particles in heterophase poly (lactic acid)/poly (butylene adipate-co-terephthalate) blends. Polymer 2015, 76, 295–306. [Google Scholar]
- Battegazzore, D.; Bocchini, S.; Frache, A. Crystallization kinetics of poly (lactic acid)-talc composites. Express Polym Lett 2011, 5, 849–858. [Google Scholar] [CrossRef]
- Petchwattana, N.; Covavisaruch, S.; Petthai, S. Influence of talc particle size and content on crystallization behavior, mechanical properties and morphology of poly (lactic acid). Polym. Bull. 2014, 71, 1947–1959. [Google Scholar] [CrossRef]
- Shi, X.; Zhang, G.; Phuong, T.V.; Lazzeri, A. Synergistic effects of nucleating agents and plasticizers on the crystallization behavior of poly (lactic acid). Molecules 2015, 20, 1579–1593. [Google Scholar] [CrossRef] [PubMed]
- Liu, S.; Wu, G.; Chen, X.; Zhang, X.; Yu, J.; Liu, M.; Zhang, Y.; Wang, P. Degradation behavior in vitro of carbon nanotubes (CNTs)/poly (lactic acid)(PLA) composite suture. Polymers 2019, 11, 1015. [Google Scholar] [CrossRef]
- Barrau, S.; Vanmansart, C.; Moreau, M.; Addad, A.; Stoclet, G.; Lefebvre, J.-M.; Séguéla, R. Crystallization behavior of carbon nanotube− polylactide nanocomposites. Macromolecules 2011, 44, 6496–6502. [Google Scholar] [CrossRef]
- Mittal, V. Polymer layered silicate nanocomposites: A review. Materials 2009, 2, 992–1057. [Google Scholar] [CrossRef]
- Nam, J.Y.; Sinha Ray, S.; Okamoto, M. Crystallization behavior and morphology of biodegradable polylactide/layered silicate nanocomposite. Macromolecules 2003, 36, 7126–7131. [Google Scholar] [CrossRef]
- Ray, S.S.; Okamoto, M. Polymer/layered silicate nanocomposites: A review from preparation to processing. Prog. Polym. Sci. 2003, 28, 1539–1641. [Google Scholar]
- Trifol, J.; Plackett, D.; Sillard, C.; Hassager, O.; Daugaard, A.E.; Bras, J.; Szabo, P. A comparison of partially acetylated nanocellulose, nanocrystalline cellulose, and nanoclay as fillers for high-performance polylactide nanocomposites. J. Appl. Polym. Sci. 2016, 133. [Google Scholar] [CrossRef]
- Cao, D.; Wu, L. Poly (L-lactic acid)/silicon dioxide nanocomposite prepared via the in situ melt polycondensation of L-lactic acid in the presence of acidic silica sol: Isothermal crystallization and melting behaviors. J. Appl. Polym. Sci. 2009, 111, 1045–1050. [Google Scholar]
- Chrissafis, K.; Pavlidou, E.; Paraskevopoulos, K.; Beslikas, T.; Nianias, N.; Bikiaris, D. Enhancing mechanical and thermal properties of PLLA ligaments with fumed silica nanoparticles and montmorillonite. J. Therm. Anal. Calorim. 2011, 105, 313–323. [Google Scholar] [CrossRef]
- Klonos, P.; Pissis, P. Effects of interfacial interactions and of crystallization on rigid amorphous fraction and molecular dynamics in polylactide/silica nanocomposites: A methodological approach. Polymer 2017, 112, 228–243. [Google Scholar] [CrossRef]
- Papageorgiou, G.; Achilias, D.; Nanaki, S.; Beslikas, T.; Bikiaris, D. PLA nanocomposites: Effect of filler type on non-isothermal crystallization. Thermochim. Acta 2010, 511, 129–139. [Google Scholar] [CrossRef]
- Sarikhani, K.; Nasseri, R.; Lotocki, V.; Thompson, R.; Park, C.; Chen, P. Effect of well-dispersed surface-modified silica nanoparticles on crystallization behavior of poly (lactic acid) under compressed carbon dioxide. Polymer 2016, 98, 100–109. [Google Scholar] [CrossRef]
- Hao, X.; Kaschta, J.; Pan, Y.; Liu, X.; Schubert, D.W. Intermolecular cooperativity and entanglement network in a miscible PLA/PMMA blend in the presence of nanosilica. Polymer 2016, 82, 57–65. [Google Scholar] [CrossRef]
- Hao, X.; Kaschta, J.; Liu, X.; Pan, Y.; Schubert, D.W. Entanglement network formed in miscible PLA/PMMA blends and its role in rheological and thermo-mechanical properties of the blends. Polymer 2015, 80, 38–45. [Google Scholar] [CrossRef]
- Canetti, M.; Cacciamani, A.; Bertini, F. Miscible blends of polylactide and poly (methyl methacrylate): Morphology, structure, and thermal behavior. J. Polym. Sci. Part B Polym. Phys. 2014, 52, 1168–1177. [Google Scholar] [CrossRef]
- Mani, S.; Malone, M.F.; Winter, H.H. Influence of phase separation on the linear viscoelastic behavior of a miscible polymer blend. J. Rheol. 1992, 36, 1625–1649. [Google Scholar] [CrossRef][Green Version]
- Kossuth, M.; Morse, D.; Bates, F. Viscoelastic behavior of cubic phases in block copolymer melts. J. Rheol. 1999, 43, 167–196. [Google Scholar] [CrossRef]
- Kim, G.H.; Hwang, S.W.; Kang, D.H.; Jung, B.N.; Lee, M.J.; Shim, J.K.; Seo, K.H. Controllable synthesis of silica nanoparticle size and packing efficiency onto PVP-functionalized PMMA via a sol–gel method. J. Polymer Sci. 2020, 58, 662–672. [Google Scholar] [CrossRef]
- Ravichandran, S.; Vengatesan, E.; Ramakrishnan, A. Stress-Strain Analysis and Deformation behaviour of fibre reinforced Styrene-Ethylene-Butylene-Styrene Polymer Hybrid Nanocomposites. Material Science Research India 2019, 16, 62–69. [Google Scholar] [CrossRef]
- Chen, Y.; Wang, W.; Yuan, D.; Xu, C.; Cao, L.; Liang, X. Bio-Based PLA/NR-PMMA/NR ternary thermoplastic vulcanizates with balanced stiffness and toughness:“Soft–Hard” core–shell continuous rubber phase, in situ compatibilization, and properties. ACS Sustain. Chem. Eng. 2018, 6, 6488–6496. [Google Scholar] [CrossRef]
- Meng, B.; Deng, J.; Liu, Q.; Wu, Z.; Yang, W. Transparent and ductile poly (lactic acid)/poly (butyl acrylate)(PBA) blends: Structure and properties. Eur. Polym. J. 2012, 48, 127–135. [Google Scholar] [CrossRef]
- Wang, H.; Memon, H.; Hassan, E.A.; Elagib, T.H.; Hassan, F.E.A.; Yu, M. Rheological and Dynamic Mechanical Properties of Abutilon Natural Straw and Polylactic Acid Biocomposites. Int. J. Polymer Sci. 2019, 2019. [Google Scholar] [CrossRef]
- Wang, F.; Zhou, S.; Yang, M.; Chen, Z.; Ran, S. Thermo-mechanical performance of polylactide composites reinforced with alkali-treated bamboo fibers. Polymers 2018, 10, 401. [Google Scholar] [CrossRef]
- Wu, J.H.; Kuo, M.; Chen, C.W. Physical properties and crystallization behavior of poly (lactide)/poly (methyl methacrylate)/silica composites. J. Appl. Polym. Sci. 2015, 132. [Google Scholar] [CrossRef]
- Starý, Z. Thermodynamics and morphology and compatibilization of polymer blends. In Characterization of Polymer Blends; Wiley-VCH Verlag GmbH & Co.: Weinheim, Germany, 2014. [Google Scholar]
- Dashtizadeh, A.; Abdouss, M.; Mahdavi, H.; Khorassani, M. Acrylic coatings exhibiting improved hardness, solvent resistance and glossiness by using silica nano-composites. Appl. Surf. Sci. 2011, 257, 2118–2125. [Google Scholar] [CrossRef]
- Cho, K.S. Viscoelasticity of polymers. Viscoelasticity of Polymers: Theory and Numerical Algorithms, Springer Series in Materials Science; Springer Science+Business Media: Dordrecht, The Netherlands, 2016; Volume 241, ISBN 978-94-017-7562-5. [Google Scholar]
- Palade, L.-I.; Lehermeier, H.J.; Dorgan, J.R. Melt rheology of high L-content poly (lactic acid). Macromolecules 2001, 34, 1384–1390. [Google Scholar] [CrossRef]
- Ajji, A.; Choplin, L.; Prud’Homme, R. Rheology and phase separation in polystyrene/poly (vinyl methyl ether) blends. J. Polym. Sci. Part B Polym. Phys. 1988, 26, 2279–2289. [Google Scholar] [CrossRef]
- Mani, S.; Malone, M.; Winter, H.H.; Halary, J.; Monnerie, L. Effects of shear on miscible polymer blends: In situ fluorescence studies. Macromolecules 1991, 24, 5451–5458. [Google Scholar] [CrossRef]
- Jeon, H.; Nakatani, A.; Han, C.C.; Colby, R.H. Melt rheology of lower critical solution temperature polybutadiene/polyisoprene blends. Macromolecules 2000, 33, 9732–9739. [Google Scholar] [CrossRef]
- Colby, R.H. Breakdown of time-temperature superposition in miscible polymer blends. Polymer 1989, 30, 1275–1278. [Google Scholar] [CrossRef]
- Bates, F.S. Block copolymers near the microphase separation transition. 2. Linear dynamic mechanical properties. Macromolecules 1984, 17, 2607–2613. [Google Scholar] [CrossRef]
- Park, H.E.; Dealy, J.M.; Marchand, G.R.; Wang, J.; Li, S.; Register, R.A. Rheology and structure of molten, olefin multiblock copolymers. Macromolecules 2010, 43, 6789–6799. [Google Scholar] [CrossRef]
- He, P.; Shen, W.; Yu, W.; Zhou, C. Mesophase separation and rheology of olefin multiblock copolymers. Macromolecules 2014, 47, 807–820. [Google Scholar] [CrossRef]
- Ilyin, S.O.; Malkin, A.Y.; Kulichikhin, V.G.; Denisova, Y.I.; Krentsel, L.B.; Shandryuk, G.A.; Litmanovich, A.D.; Litmanovich, E.A.; Bondarenko, G.N.; Kudryavtsev, Y.V. Effect of chain structure on the rheological properties of vinyl acetate–vinyl alcohol copolymers in solution and bulk. Macromolecules 2014, 47, 4790–4804. [Google Scholar] [CrossRef]
- Othman, N.; Acosta-Ramírez, A.; Mehrkhodavandi, P.; Dorgan, J.R.; Hatzikiriakos, S.G. Solution and melt viscoelastic properties of controlled microstructure poly (lactide). J. Rheol. 2011, 55, 987–1005. [Google Scholar] [CrossRef]
- Eyring, H. Viscosity, plasticity, and diffusion as examples of absolute reaction rates. J. Chem. Phys. 1936, 4, 283–291. [Google Scholar] [CrossRef]
- Fesko, D.; Tschoegl, N. Time-temperature superposition in thermorheologically complex materials. J. Polymer Sci. Part C Polymer Symp. 1971, 51–69. [Google Scholar] [CrossRef]
- Agrawal, C.M.; Huang, D.; Schmitz, J.; Athanasiou, K. Elevated temperature degradation of a 50: 50 copolymer of PLA-PGA. Tissue Eng. 1997, 3, 345–352. [Google Scholar] [CrossRef]
- Holland, B.; Hay, J. The effect of polymerisation conditions on the kinetics and mechanisms of thermal degradation of PMMA. Polym. Degrad. Stab. 2002, 77, 435–439. [Google Scholar] [CrossRef]
- Zhang, J.; Xie, X. Influence of addition of silica particles on reaction-induced phase separation and properties of epoxy/PEI blends. Composites Part B Eng. 2011, 42, 2163–2169. [Google Scholar] [CrossRef]
- Kim, J.Y.; Kim, S.H.; Kang, S.W.; Chang, J.-H.; Ahn, S.H. Crystallization and melting behavior of silica nanoparticles and poly (ethylene 2, 6-naphthalate) hybrid nanocomposites. Macromol. Res. 2006, 14, 146–154. [Google Scholar] [CrossRef]
- Kwei, T. The effect of hydrogen bonding on the glass transition temperatures of polymer mixtures. J. Polymer Sci. Polymer Lett. Ed. 1984, 22, 307–313. [Google Scholar] [CrossRef]
- Painter, P.C.; Graf, J.F.; Coleman, M.M. Effect of hydrogen bonding on the enthalpy of mixing and the composition dependence of the glass transition temperature in polymer blends. Macromolecules 1991, 24, 5630–5638. [Google Scholar] [CrossRef]
- Pan, P.; Liang, Z.; Zhu, B.; Dong, T.; Inoue, Y. Blending effects on polymorphic crystallization of poly (l-lactide). Macromolecules 2009, 42, 3374–3380. [Google Scholar] [CrossRef]
- Zhuravlev, E.; Wurm, A.; Pötschke, P.; Androsch, R.; Schmelzer, J.W.; Schick, C. Kinetics of nucleation and crystallization of poly (ε-caprolactone)–multiwalled carbon nanotube composites. Eur. Polym. J. 2014, 52, 1–11. [Google Scholar] [CrossRef]
- Avrami, M. Kinetics of phase change. II transformation-time relations for random distribution of nuclei. J. Chem. Phys. 1940, 8, 212–224. [Google Scholar] [CrossRef]
- Avrami, M. Granulation, phase change, and microstructure kinetics of phase change. III. J. Chem. Phys. 1941, 9, 177–184. [Google Scholar] [CrossRef]
- Avrami, M. Kinetics of phase change. I. General theory. J. Chem. Phys. 1939, 7, 1103–1112. [Google Scholar] [CrossRef]
- Jeziorny, A. Parameters characterizing the kinetics of the non-isothermal crystallization of poly (ethylene terephthalate) determined by DSC. Polymer 1978, 19, 1142–1144. [Google Scholar] [CrossRef]
- Wang, L.; Jing, X.; Cheng, H.; Hu, X.; Yang, L.; Huang, Y. Rheology and crystallization of long-chain branched poly (L-lactide) s with controlled branch length. Ind. Eng. Chem. Res. 2012, 51, 10731–10741. [Google Scholar] [CrossRef]
- Wu, C.-P.; Wang, C.-C.; Chen, C.-Y. Influence of asymmetric ratio of polystyrene-block-poly (methyl methacrylate) block copolymer on the crystallization rate of PLA. Eur. Polym. J. 2015, 66, 160–169. [Google Scholar] [CrossRef]












| Description | MMA (g) | MA (g) | CTA (g) | KPS (g) | PVP (g) | CH3OH (g) | H2O (g) |
| PMMA | 20.00 | 0.40 | 0.04 | 0.01 | 2.00 | 118.37 | 59.18 |
| Description | PMMA(g) | NH4OH(mL) | TEOS(mL) | CH3OH | H2O | ||
| PMMA/silica | 4.00 | 5.80 | 4.00 | 72.00 | 4.00 |
| Description | PLA (wt.%) | LA2330 (wt.%) | PMMA (phr) | PMMA/Silica (phr) | Mixing Process |
|---|---|---|---|---|---|
| Neat PLA | 100.00 | - | - | 180 °C 50 rpm 10 min | |
| PL9/1 | 90.00 | 10.00 | - | - | |
| PL8/2 | 80.00 | 20.00 | - | - | |
| PL7/3 | 70.00 | 30.00 | - | - | |
| PLM 1, 3, 5, 7 | 70.00 | 30.00 | 0.85, 2.55, 4.25, 5.95 | ||
| PLMS 1, 3, 5, 7 | 70.00 | 30.00 | 1.00, 3.00, 5.00, 7.00 |
| Sample | Tg1,2 (°C) | Tcc (°C) | ΔHcc (J/g) | Tm (°C) | ΔHm (J/g) | Xcc (%) |
|---|---|---|---|---|---|---|
| Neat PLA | 59.6 | 126.2 | 39.6 | 166.1 | 41.0 | 44.1 |
| PL7/3 | −47.5, 60.3 | 137.9 | 9.0 | 167.0 | 9.5 | 10.2 |
| PLM1 | −46.5, 60.3 | 138.7 | 3.1 | 167.0 | 3.2 | 3.5 |
| PLM3 | −46.1, 60.7 | 139.7 | 2.6 | 167.4 | 2.6 | 2.8 |
| PLM5 | −47.8, 61.1 | 141.7 | 1.8 | 167.6 | 1.8 | 2.0 |
| PLM7 | −47.6, 61.4 | 142.5 | 1.7 | 167.4 | 1.7 | 1.9 |
| PLMS1 | −47.4, 60.6 | 138.3 | 13.2 | 167.2 | 13.3 | 14.3 |
| PLMS3 | −46.2, 61.4 | 140.6 | 11.3 | 168.3 | 11.5 | 12.3 |
| PLMS5 | −46.8, 61.6 | 138.2 | 16.7 | 167.1 | 16.8 | 18.1 |
| PLMS7 | −47.7, 61.8 | 136.3 | 21.8 | 167.1 | 21.9 | 23.5 |
| Sample | na | ln(k)a | Rsqr | t0.5 (min) | Δt0.5 a (min) |
|---|---|---|---|---|---|
| Neat PLA | 2.64 | −4.96 | 0.99 | 5.73 | |
| PL7/3 | 2.97 | −7.88 | 0.99 | 12.54 | |
| PLM1 | 2.64 | −7.58 | 0.99 | 15.39 | |
| PLM3 | 2.71 | −8.36 | 0.99 | 19.04 | |
| PLM5 | 2.87 | −9.11 | 0.99 | 20.91 | |
| PLM7 | 3.03 | −9.98 | 0.99 | 23.78 | |
| PLMS1 | 3.06 | −7.65 | 0.99 | 10.84 | 4.55 |
| PLMS3 | 3.25 | −8.97 | 0.99 | 14.14 | 4.90 |
| PLMS5 | 2.98 | −7.99 | 0.99 | 12.91 | 8.00 |
| PLMS7 | 3.05 | −7.95 | 0.99 | 12.03 | 11.75 |
| Sample | Rate (°C/min) | kc | n | t0.5 | Xcc (%) |
|---|---|---|---|---|---|
| Neat PLA | 5/10/15 | 0.29/0.55/0.70 | 2.02/2.01/2.17 | 5.68/3.60/2.69 | 42.22/44.13/27.54 |
| PL7/3 | 5/10/15 | 0.34/0.65/0.92 | 1.18/1.22/1.14 | 6.40/3.23/1.27 | 28.17/1022/2.17 |
| PLM1 | 5/10/15 | 0.28/0.75/0.98 | 1.28/1.31/1.23 | 7.93/2.72/0.88 | 18.63/3.46/1.11 |
| PLM3 | 5/10/15 | 0.26/0.76/1.03 | 1.27/1.26/1.25 | 8.05/2.68/0.54 | 12.02/2.75/- |
| PLM5 | 5/10/15 | 0.32/0.77/1.11 | 1.15/1.27/1.23 | 6.80/2.61/0.22 | 8.67/1.98/- |
| PLM7 | 5/10/15 | 0.42/0.84/- | 1.00/1.15/- | 9.21/1.76/- | 7.69/1.85/- |
| PLMS1 | 5/10/15 | 0.43/0.65/0.88 | 0.97/1.18/1.21 | 4.64/3.11/1.47 | 29.98/14.25/4.51 |
| PLMS3 | 5/10/15 | 0.29/0.72/0.95 | 1.20/1.22/1.16 | 6.27/2.44/1.01 | 29.32/12.33/2.88 |
| PLMS5 | 5/10/15 | 0.34/0.76/0.94 | 1.16/1.15/1.18 | 4.91/2.10/1.02 | 28.80/18.09/4.05 |
| PLMS7 | 5/10/15 | 0.37/0.65/0.94 | 1.13/1.25/1.09 | 4.46/2.55/1.01 | 29.18/23.54/4.59 |
© 2020 by the authors. Licensee MDPI, Basel, Switzerland. This article is an open access article distributed under the terms and conditions of the Creative Commons Attribution (CC BY) license (http://creativecommons.org/licenses/by/4.0/).
Share and Cite
Kim, G.H.; Hwang, S.W.; Jung, B.N.; Kang, D.; Shim, J.K.; Seo, K.H. Effect of PMMA/Silica Hybrid Particles on Interfacial Adhesion and Crystallization Properties of Poly(lactic acid)/Block Acrylic Elastomer Composites. Polymers 2020, 12, 2231. https://doi.org/10.3390/polym12102231
Kim GH, Hwang SW, Jung BN, Kang D, Shim JK, Seo KH. Effect of PMMA/Silica Hybrid Particles on Interfacial Adhesion and Crystallization Properties of Poly(lactic acid)/Block Acrylic Elastomer Composites. Polymers. 2020; 12(10):2231. https://doi.org/10.3390/polym12102231
Chicago/Turabian StyleKim, Gi Hong, Sung Wook Hwang, Bich Nam Jung, DongHo Kang, Jin Kie Shim, and Kwan Ho Seo. 2020. "Effect of PMMA/Silica Hybrid Particles on Interfacial Adhesion and Crystallization Properties of Poly(lactic acid)/Block Acrylic Elastomer Composites" Polymers 12, no. 10: 2231. https://doi.org/10.3390/polym12102231
APA StyleKim, G. H., Hwang, S. W., Jung, B. N., Kang, D., Shim, J. K., & Seo, K. H. (2020). Effect of PMMA/Silica Hybrid Particles on Interfacial Adhesion and Crystallization Properties of Poly(lactic acid)/Block Acrylic Elastomer Composites. Polymers, 12(10), 2231. https://doi.org/10.3390/polym12102231

