Natural Rubber Composites Filled with Crop Residues as an Alternative to Vulcanizates with Common Fillers
Abstract
1. Introduction
- -
- low density, high strength and stiffness,
- -
- fibers come from renewable sources,
- -
- fiber production requires low energy expenditure, also assumes CO2 absorption and recycling of oxygen to the environment,
- -
- production is cheaper than synthetic fibers,
- -
- low health risk during fiber processing,
- -
- low emission of toxic vapors during the combustion of the depleted composite,
- -
- low risk of damage to the equipment during production,
- -
2. Materials and Methods
2.1. Materials
2.2. Methods
3. Results and Discussion
3.1. The Oil Absorption Number (DBPA)
3.2. Dynamic Mechanical Analysis (DMA)
3.3. The Degree of Dispersion of the Filler in The Elastomer Matrix
3.4. SEM Analysis
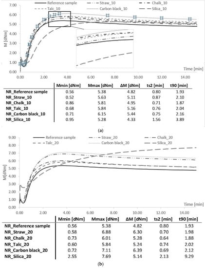
3.5. Rheometric Properties
3.6. The Crosslinking Density
3.7. Mechanical Properties
3.8. Hardness
3.9. Tear Strength
3.10. The Thermo-Oxidative Degradation of the Composites
3.11. Barrier Properties
4. Conclusions
Author Contributions
Funding
Conflicts of Interest
References
- Wypych, G. Handbook of Fillers, 4th ed.; ChemTec Publishing: Toronto, ON, Canada, 2016. [Google Scholar]
- Dannenberg, E.M. Filler Choices in the Rubber Industry. Rubber Chem. Technol. 1982, 55, 860–880. [Google Scholar] [CrossRef]
- Gonzales-Fernandes, M.; Andrade, C.G.B.; Esper, F.J.; Valenzuela-Diaz, F.R.; Wiebeck, H. Improvement of mechanical properties in natural rubber with organic fillers. Charact. Miner. Met. Mater. 2016, 623–627. [Google Scholar] [CrossRef]
- Fröhlich, J.; Niedermeier, W.; Luginsland, H.D. The effect of filler-filler and filler-elastomer interaction on rubber reinforcement. Compos. Part A Appl. Sci. Manuf. 2005, 36, 449–460. [Google Scholar] [CrossRef]
- Pickering, K.L.; Efendy, M.G.A.; Le, T.M. A review of recent developments in natural fibre composites and their mechanical performance. Compos. Part A Appl. Sci. Manuf. 2016, 83, 98–112. [Google Scholar] [CrossRef]
- Redhwi, H.H.; Siddiqui, M.N.; Andrady, A.L.; Syed, H. Durability of LDPE nanocomposites with clay, silica, and zinc oxide II. weatherability of the nanocomposites. Polym. Compos. 2013, 34, 1878–1883. [Google Scholar] [CrossRef]
- Gurunathan, T.; Mohanty, S.; Nayak, S.K. A review of the recent developments in biocomposites based on natural fibres and their application perspectives. Compos. Part A Appl. Sci. Manuf. 2015, 77, 1–25. [Google Scholar] [CrossRef]
- Khalil, H.P.S.A.; Bhat, A.H.; Yusra, A.F.I. Green composites from sustainable cellulose nanofibrils: A review. Carbohydr. Polym. 2012, 87, 963–979. [Google Scholar] [CrossRef]
- Alemdar, A.; Sain, M. Isolation and characterization of nanofibers from agricultural residues: Wheat straw and soy hulls. Bioresour. Technol. 2008, 99, 1664–1671. [Google Scholar] [CrossRef]
- Väisänen, T.; Das, O.; Tomppo, L. A review on new bio-based constituents for natural fiber-polymer composites. J. Clean. Prod. 2017, 49, 582–596. [Google Scholar] [CrossRef]
- Al-Oqla, F.M.; Sapuan, S.M. Natural fiber reinforced polymer composites in industrial applications: Feasibility of date palm fibers for sustainable automotive industry. J. Clean. Prod. 2014, 66, 347–354. [Google Scholar] [CrossRef]
- Ku, H.; Wang, H.; Pattarachaiyakoop, N.; Trada, M. A review on the tensile properties of natural fiber reinforced polymer composites. Compos. Part B Eng. 2011, 42, 856–873. [Google Scholar] [CrossRef]
- Bogoeva-Gaceva, G.; Avella, M.; Malinconico, M.; Buzarovska, A.; Grozdanov, A.; Gentile, G.; Errico, M.E. Natural fiber eco-composites. Polym. Compos. 2007, 28, 98–107. [Google Scholar] [CrossRef]
- Sanjay, M.R.; Arpitha, G.R.; Naik, L.L.; Gopalakrishna, K.; Yogesha, B. Applications of Natural Fibers and Its Composites: An Overview. Nat. Resour. 2016, 108–114. [Google Scholar] [CrossRef]
- Chandrasekar, M.; Ishak, M.R.; Sapuan, S.M.; Leman, Z.; Jawaid, M. A review on the characterisation of natural fibres and their composites after alkali treatment and water absorption. Plast. Rubber Compos. 2017, 46, 119–136. [Google Scholar] [CrossRef]
- Faruk, O.; Bledzki, A.K.; Fink, H.P.; Sain, M. Biocomposites reinforced with natural fibers: 2000–2010. Prog. Polym. Sci. 2012, 37, 1552–1596. [Google Scholar] [CrossRef]
- Ramnath, B.V.; Manickavasagam, V.M.; Elanchezhian, C.; Krishna, C.V.; Karthik, S.; Saravanan, K. Determination of mechanical properties of intra-layer abaca-jute-glass fiber reinforced composite. Mater. Des. 2014, 60, 643–652. [Google Scholar] [CrossRef]
- Gupta, M.K.; Srivastava, R.K. Mechanical Properties of Hybrid Fibers-Reinforced Polymer Composite: A Review. Polym.-Plast. Technol. Eng. 2016, 55, 626–642. [Google Scholar] [CrossRef]
- Deng, Y.; Paraskevas, D.; Tian, Y.; van Acker, K.; Dewulf, W.; Duflou, J.R. Life cycle assessment of flax-fibre reinforced epoxidized linseed oil composite with a flame retardant for electronic applications. J. Clean. Prod. 2016, 33, 427–438. [Google Scholar] [CrossRef]
- Panthapulakkal, S.; Zereshkian, A.; Sain, M. Preparation and characterization of wheat straw fibers for reinforcing application in injection molded thermoplastic composites. Bioresour. Technol. 2006, 97, 265–272. [Google Scholar] [CrossRef]
- Masłowski, M.; Miedzianowska, J.; Strąkowska, A.; Strzelec, K.; Szynkowska, M.I. The use of rye, oat and triticale straw as fillers of natural rubber composites. Polym. Bull. 2018, 75. [Google Scholar] [CrossRef]
- Masłowski, M.; Miedzianowska, J.; Strzelec, K. Natural rubber biocomposites containing corn, barley and wheat straw. Polym. Test. 2017, 63. [Google Scholar] [CrossRef]
- Masłowski, M.; Miedzianowska, J.; Strzelec, K. Silanized cereal straw as a novel, functional filler of natural rubber biocomposites. Cellulose 2018, 26, 1025–1040. [Google Scholar] [CrossRef]
- Flory, P.J.; Rehner, J. Statistical Mechanics of Cross-Linked Polymer Networks I. Rubberlike Elasticity. J. Chem. Phys. 1943, 11, 512–520. [Google Scholar] [CrossRef]
- Masek, A.; Zaborski, M.; Kosmalska, A.; Chrzescijanska, E. Eco-friendly elastomeric composites containing Sencha and Gun Powder green tea extracts. C. R. Chim. 2012, 15, 331–335. [Google Scholar] [CrossRef]
- Payne, A.R.; Whittaker, R.E. Low Strain Dynamic Properties of Filled Rubbers. Rubber Chem. Technol. 2011, 44, 440–478. [Google Scholar] [CrossRef]
- Zanchet, A.; de Sousa, F.D.B.; Crespo, J.S.; Scuracchio, C.H. Activator from sugar cane as a green alternative to conventional vulcanization additives. J. Clean. Prod. 2018, 74, 437–446. [Google Scholar] [CrossRef]
- Honorato, L.; Dias, M.L.; Azuma, C.; Nunes, R.C.R. Rheological properties and curing features of natural rubber compositions filled with fluoromica ME 100. Polímeros 2016, 26, 249–253. [Google Scholar] [CrossRef]
- Montes, H.; Chaussée, T.; Papon, A.; Lequeux, F.; Guy, L. Particles in model filled rubber: Dispersion and mechanical properties. Eur. Phys. J. E 2010, 31, 263–268. [Google Scholar] [CrossRef]
- Datta, J.; Głowińska, E.G. Wpływ celulozy na właoeciwooeci mechaniczne i termomechaniczne wulkanizatów wytworzonych z mieszanek kauczuku naturalnego z jej udziałem. Polimery 2011, 56, 823–827. [Google Scholar] [CrossRef]
- Kalaprasad, G.; Joseph, K.; Thomas, S. Influence of short glass fiber addition on the mechanical properties of sisal reinforced low density polyethylene composites. J. Compos. Mater. 1997, 31, 509–527. [Google Scholar] [CrossRef]
- Gregorová, A.; Košíková, B.; Moravčík, R. Stabilization effect of lignin in natural rubber. Polym. Degrad. Stab. 2006, 91, 229–233. [Google Scholar] [CrossRef]
- Wolf, C.; Angellier-Coussy, H.; Gontard, N.; Doghieri, F.; Guillard, V. How the shape of fillers affects the barrier properties of polymer/non-porous particles nanocomposites: A review. J. Membr. Sci. 2018, 56, 393–418. [Google Scholar] [CrossRef]
- Ismail, A.F.; Rahim, N.H.; Mustafa, A.; Matsuura, T.; Ng, B.C.; Abdullah, S.; Hashemifard, S.A. Gas separation performance of polyethersulfone/multi-walled carbon nanotubes mixed matrix membranes. Sep. Purif. Technol. 2011, 80, 20–31. [Google Scholar] [CrossRef]
- Fendler, A.; Villanueva, M.P.; Gimenez, E.; Lagarón, J.M. Characterization of the barrier properties of composites of HDPE and purified cellulose fibers. Cellulose 2007, 14, 427–438. [Google Scholar] [CrossRef]










| Filler | DBPA [mL/100 g] |
|---|---|
| Straw | 139.6 |
| Chalk | 70.4 |
| Talc | 61.6 |
| Silica | 434.9 |
| Carbon Black | 72.6 |
| Filler | Content of Filler [phr] | νe·10−5 [mol/dm3] |
|---|---|---|
| Reference sample | 0 | 1.35 ± 0.04 |
| Straw | 10 | 1.84 ± 0.08 |
| 20 | 2.39 ± 0.04 | |
| 30 | 2.76 ± 0.05 | |
| Chalk | 10 | 1.97 ± 0.01 |
| 20 | 1.85 ± 0.03 | |
| 30 | 1.91 ± 0.03 | |
| Talc | 10 | 1.97 ± 0.02 |
| 20 | 1.96 ± 0.02 | |
| 30 | 1.94 ± 0.03 | |
| Carbon black | 10 | 2.17 ± 0.01 |
| 20 | 2.44 ± 0.04 | |
| 30 | 2.64 ± 0.03 | |
| Silica | 10 | 1.32 ± 0.01 |
| 20 | 1.22 ± 0.03 | |
| 30 | 1.12 ± 0.02 |
| Filler | Content of Filler [phr] | SE100 [MPa] | SE200 [MPa] | Eb [%] |
|---|---|---|---|---|
| Reference sample | 0 | 0.69 ± 0.03 | 1.04 ± 0.01 | 691 ± 11 |
| Straw | 10 | 0.97 ± 0.01 | 1.43 ± 0.06 | 567 ± 18 |
| 20 | 1.45 ± 0.05 | 3.16 ± 0.05 | 376 ± 15 | |
| 30 | 1.79 ± 0.06 | 4.58 ± 0.02 | 254 ± 11 | |
| Chalk | 10 | 0.76 ± 0.02 | 1.14 ± 0.03 | 593 ± 21 |
| 20 | 0.81 ± 0.03 | 1.24 ± 0.04 | 593 ± 22 | |
| 30 | 0.84 ± 0.04 | 1.32 ± 0.04 | 587 ± 18 | |
| Talc | 10 | 0.80 ± 0.05 | 1.21 ± 0.04 | 594 ± 25 |
| 20 | 0.87 ± 0.03 | 1.34 ± 0.06 | 592 ± 16 | |
| 30 | 0.96 ± 0.07 | 1.45 ± 0.03 | 597 ± 22 | |
| Carbon black | 10 | 0.83 ± 0.01 | 1.30 ± 0.05 | 560 ± 17 |
| 20 | 1.03 ± 0.03 | 3.75 ± 0.01 | 390 ± 14 | |
| 30 | 1.21 ± 0.05 | 3.25 ± 0.02 | 300 ± 14 | |
| Silica | 10 | 0.77 ± 0.04 | 2.09 ± 0.03 | 586 ± 19 |
| 20 | 0.81 ± 0.03 | 4.08 ± 0.03 | 412 ± 10 | |
| 30 | 1.19 ± 0.04 | 5.65 ± 0.05 | 384 ± 11 |
| Filler | Content of Filler [phr] | Before Aging | After Aging | K | ||
|---|---|---|---|---|---|---|
| TS [MPa] | Eb [%] | TS [MPa] | Eb [%] | [-] | ||
| Reference sample | 0 | 13.5 | 691 | 12.5 | 503.00 | 0.68 |
| Straw | 10 | 15.7 | 567 | 15.9 | 518 | 0.92 |
| 20 | 16.3 | 376 | 15.2 | 358 | 0.89 | |
| 30 | 14.1 | 254 | 13.4 | 234 | 0.88 | |
| Chalk | 10 | 15.6 | 593 | 14.7 | 446 | 0.71 |
| 20 | 17.4 | 593 | 16.0 | 455 | 0.71 | |
| 30 | 19.2 | 587 | 14.0 | 459 | 0.57 | |
| Talc | 10 | 13.8 | 594 | 12.9 | 436 | 0.69 |
| 20 | 14.5 | 592 | 14.0 | 347 | 0.56 | |
| 30 | 15.7 | 597 | 15.0 | 369 | 0.59 | |
| Carbon black | 10 | 18.0 | 560 | 16.4 | 391 | 0.64 |
| 20 | 20.7 | 390 | 16.3 | 231 | 0.47 | |
| 30 | 21.8 | 300 | 14.6 | 215 | 0.48 | |
| Silica | 10 | 13.4 | 586 | 12.8 | 419 | 0.69 |
| 20 | 6.2 | 412 | 8.2 | 400 | 1.28 | |
| 30 | 7.9 | 384 | 9.7 | 312 | 0.99 | |
| Filler | Content of Filler [phr] | P·10−11 | GTR 10−9 |
|---|---|---|---|
| [mol/(m∙s∙Pa)] | [mol/(m2∙s∙Pa)] | ||
| Reference sample | 0 | 1.53 | 13.58 |
| Straw | 10 | 1.16 | 11.44 |
| 20 | 0.22 | 2.12 | |
| 30 | 0.17 | 1.42 | |
| Chalk | 10 | 1.05 | 11.68 |
| 20 | 1.01 | 10.89 | |
| 30 | 0.93 | 10.05 | |
| Talc | 10 | 0.80 | 8.97 |
| 20 | 1.06 | 10.22 | |
| 30 | 1.02 | 12.04 | |
| Carbon black | 10 | 0.85 | 10.89 |
| 20 | 0.82 | 10.15 | |
| 30 | 0.33 | 3.29 | |
| Silica | 10 | 1.11 | 12.93 |
| 20 | 1.43 | 13.73 | |
| 30 | 1.00 | 12.04 |
© 2019 by the authors. Licensee MDPI, Basel, Switzerland. This article is an open access article distributed under the terms and conditions of the Creative Commons Attribution (CC BY) license (http://creativecommons.org/licenses/by/4.0/).
Share and Cite
Masłowski, M.; Miedzianowska, J.; Strzelec, K. Natural Rubber Composites Filled with Crop Residues as an Alternative to Vulcanizates with Common Fillers. Polymers 2019, 11, 972. https://doi.org/10.3390/polym11060972
Masłowski M, Miedzianowska J, Strzelec K. Natural Rubber Composites Filled with Crop Residues as an Alternative to Vulcanizates with Common Fillers. Polymers. 2019; 11(6):972. https://doi.org/10.3390/polym11060972
Chicago/Turabian StyleMasłowski, Marcin, Justyna Miedzianowska, and Krzysztof Strzelec. 2019. "Natural Rubber Composites Filled with Crop Residues as an Alternative to Vulcanizates with Common Fillers" Polymers 11, no. 6: 972. https://doi.org/10.3390/polym11060972
APA StyleMasłowski, M., Miedzianowska, J., & Strzelec, K. (2019). Natural Rubber Composites Filled with Crop Residues as an Alternative to Vulcanizates with Common Fillers. Polymers, 11(6), 972. https://doi.org/10.3390/polym11060972

