A New Strategy for the Synthesis of Hydroxyl Terminated Polystyrene-b-Polybutadiene-b-Polystyrene Triblock Copolymer with High Cis-1, 4 Content
Abstract
:1. Introduction
2. Materials and Methods
2.1. Materials
2.2. General Methods
2.3. The Measuring Method of the Hydroxyl Value
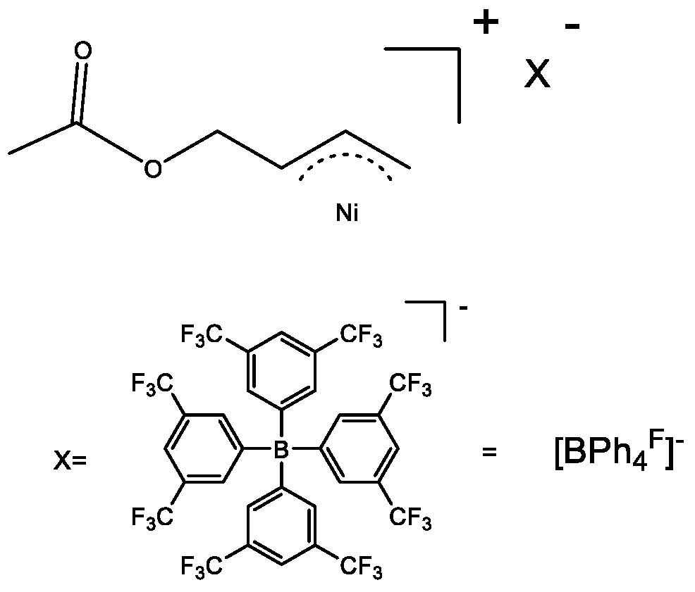
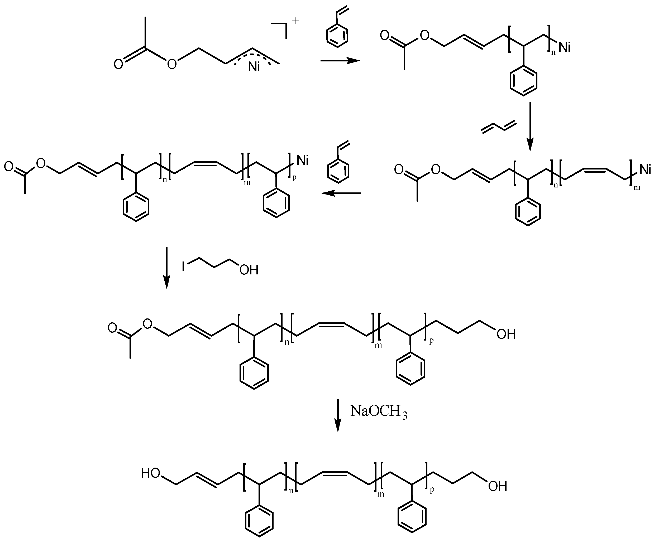
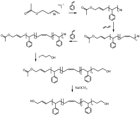
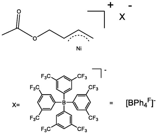
2.4. Synthesis of [η3-Ni(CH2CHCHCH2OOCH3)][BPhF4]
2.5. Synthesis of HO-SBS-OH with High cis-1,4 Content
2.6. The Calculation Method of the Microstructure Content of Copolymer
- I = the integral area of 1H-NMR of the copolymer at the corresponding chemical shift,
- B% = the content of 1,4 structure in copolymer.
- D = Absorbance of the corresponding band in the FTIR spectrum,
- Kc = Absorption coefficient of cis-1, 4 unit (720–740 cm−1),
- Kv = Absorption coefficient of 1, 2 unit (911 cm−1),
- Kt = Absorption coefficient of trans-1, 4 unit (967 cm−1),
- Cc%, Cv%, Ct% = the content of cis-1, 4 unit, 1, 2 unit, and trans-1,4 unit, respectively.
3. Results and Discussion
Synthesis of [η3-Ni(CH2CHCHCH2OOCH3)][BPhF4]
4. Conclusions
Supplementary Materials
Author Contributions
Funding
Acknowledgments
Conflicts of Interest
References
- Matmour, R.; More, A.S.; Wadgaonkar, P.P.; Gnanou, Y. High Performance Poly(styrene-b-diene-b-styrene) Triblock Copolymers from a Hydrocarbon-Soluble and Additive-Free Dicarbanionic Initiator. J. Am. Chem. Soc. 2006, 128, 8158–8159. [Google Scholar] [CrossRef] [PubMed]
- Chang, C.C.; Miller, A.F.H.S.J.W.; Hsu, W.L. Modelling Studies of the Controlled Anionic Copolymerization of Butadiene and Styrene. Polym. Int. 1994, 33, 151–159. [Google Scholar] [CrossRef]
- Zhang, L.; Suzuki, T.; Luo, Y.; Nishiura, M.; Hou, Z. Cationic Alkyl Rare-Earth Metal Complexes Bearing an Ancillary Bis(phosphinophenyl)amido Ligand: ACatalytic System for Living cis-1,4-Polymerization and Copolymerization of Isoprene and Butadiene. Angew. Chem. Int. Ed. 2007, 119, 1941–1945. [Google Scholar] [CrossRef]
- Oehme, A.; Gebauer, U.; Gehrke, K.L.; Echner, M.D. Copolymerization of 1,3-butadiene and styrene with a neodymium catalys. Macromol. Rapid. Comm. 1995, 16, 563–569. [Google Scholar] [CrossRef]
- Liu, J.; Min, X.; Zhu, X.Z.; Wang, Z.C.; Wang, T.; Fan, X.D. A New Synthesis Strategy on Styrene-Butadiene Di-Block Copolymer Containing High cis-1,4 Unit Via Transfer of Anionic to Coordination Polymerization. Polymers 2019, 11, 195. [Google Scholar] [CrossRef]
- Vasilenko, I.V.; Yeong, H.Y.; Delgado, M.; Ouardad, S.; Peruch, F.; Voit, B.; Ganachaud, F.; Kostjuk, S. A Catalyst Platform for Unique Cationic (Co)Polymerization in Aqueous Emulsion. Angew. Chem. Int. Ed. 2015, 54, 12728–12732. [Google Scholar] [CrossRef] [PubMed]
- Lin, F.; Wang, M.Y.; Pan, Y.P.; Tang, T.; Cui, D.M.; Liu, B. Sequence and Regularity Controlled Coordination Copolymerization of Butadiene and Styrene: Strategy and Mechanism. Macromolecules 2017, 50, 849–856. [Google Scholar] [CrossRef]
- Lee, I.; Bates, F.S. Synthesis, Structure, and Properties of Alternating and Random Poly(styrene-b-butadiene) Multiblock Copolymers. Macromolecules 2013, 46, 4529–4539. [Google Scholar] [CrossRef]
- Jian, Z.B.; Tang, S.; Cui, D.M. Highly Regio- and Stereoselective Terpolymerization of Styrene, Isoprene and Butadiene with Lutetium-Based Coordination Catalyst. Macromolecules 2011, 44, 7675–7681. [Google Scholar] [CrossRef]
- Caprio, M.; Serra, M.C.; Bowen, D.E.; Grassi, A. Structural Characterization of Novel Styrene−Butadiene Block Copolymers Containing Syndiotactic Styrene Homosequences. Macromolecules 2002, 35, 9315–9322. [Google Scholar] [CrossRef]
- Bielawski, C.W.; Morita, T.; Grubbs, R.H. Synthesis of ABA Triblock Copolymers via a Tandem Ring-Opening Metathesis Polymerization: Atom Transfer Radical Polymerization Approach. Macromolecules 2000, 33, 678–680. [Google Scholar] [CrossRef]
- Wei, R.Z.; Luo, Y.W.; Wang, Z.; Xu, F.Z.; Wei, S.H. Styrene–Butadiene–Styrene Triblock Copolymer Latex via Reversible Addition–Fragmentation Chain Transfer Miniemulsion Polymerization. Ind. Eng. Chem. Res. 2012, 51, 15530–15535. [Google Scholar] [CrossRef]
- Lanzi, M.; Paganin, L.; Trombini, F.P.C. Effects of polar additives on the anionic polymerization of 1,3-butadiene and styrene. J. Polym. Res. 2015, 22, 208. [Google Scholar] [CrossRef]
- Jian, Z.B.; Tang, S.; Cui, D.M. A Lutetium Allyl Complex That Bears a Pyridyl-Functionalized Cyclopentadienyl Ligand: Dual Catalysis on Highly Syndiospecific and cis-1,4-Selective (Co)Polymerizations of Styrene and Butadiene. Chem. Eur. J. 2010, 16, 14007–14015. [Google Scholar] [CrossRef]
- Zhang, W.; Zhang, G.; Du, L.; Zhang, C.; Li, L.; Zhu, J.; Pei, J.; Wu, J. Synthesis of hydroxyl-terminated polybutadiene bearing pendant carboxyl groups by combination of anionic polymerization and blue light photocatalytic thiol-ene reaction and its pH-triggered self-assemble behavior. React. Funct. Polym. 2018, 127, 161–167. [Google Scholar] [CrossRef]
- Dai, Q.; Zhang, X.; Hu, Y.; He, J.; Shi, C.; Li, Y.; Bai, C. Regulation of the cis-1,4- and trans-1,4-Polybutadiene Multiblock Copolymers via Chain Shuttling Polymerization Using a Ternary Neodymium Organic Sulfonate Catalyst. Macromolecules 2017, 50, 7887–7894. [Google Scholar] [CrossRef]
- Wang, J.; Wu, Y.X.; Xu, X.; Zhu, H.; Wu, G.Y. An activated neodymium-based catalyst for styrene polymerization. Polym. Int. 2005, 54, 1320–1325. [Google Scholar] [CrossRef]
- Schellenberg, J. Recent transition metal catalysts for syndiotactic polystyrene. Prog. Polym. Sci. 2009, 34, 688–718. [Google Scholar] [CrossRef]
- Jiang, L.M.; Shen, Z.Q.; Yang, Y.H.; Zhang, Y.F. Synthesis of ultra-high molecular weight polystyrene with rare earth–magnesium alkyl catalyst system: General features of bulk polymerization. Polym. Int. 2001, 50, 63–66. [Google Scholar] [CrossRef]
- Zhang, Q.S.; Li, W.S.; Shen, Z.Q. Copolymerization of butadiene and styrene with neodymium naphthenate based catalyst. Eur. Polym. J. 2002, 38, 869–873. [Google Scholar] [CrossRef]
- Zhu, H.; Wu, Y.X.; Zhao, J.W.; Guo, Q.L.; Huang, Q.G.; Wu, G.Y. Styrene–butadiene block copolymer with highcis-1,4 microstructure. J. Appl. Polym. Sci. 2007, 106, 103–109. [Google Scholar] [CrossRef]
- Zambelli, A.; Proto, A.; Longo, P.; Oliva, P. Binary copolymerizations of styrene and conjugated diolefins in the presence of cyclopentadienyltitanium trichloride-methylaluminoxane. Macromol. Chem. Phys. 1994, 195, 2623–2631. [Google Scholar] [CrossRef]
- Ban, H.T.; Kase, T.; Kawabe, M.; Miyazawa, A.; Ishihara, T.; Hagihara, H.; Tsunogae, Y.; Murata, M.; Shiono, T. A New Approach to Styrenic Thermoplastic Elastomers: Synthesis and Characterization of Crystalline Styrene-Butadiene-Styrene Triblock Copolymers. Macromolecules 2006, 39, 171–176. [Google Scholar] [CrossRef]
- Li, P.; Zhang, K.Y.; Nishiura, M.; Hou, Z.M. Chain-Shuttling Polymerization at Two Different Scandium Sites: Regio- and Stereospecific “One-Pot” Block Copolymerization of Styrene, Isoprene, and Butadiene. Angew. Chem. Int. Ed. 2011, 50, 12012–12015. [Google Scholar]
- Young, J.C.; Kwag, G.; Lee, H. High catalytic activity and stereoregularity of BF3 etherate as cocatalyst of Nd-based catalyst in the polymerization of 1,3-butadiene. Polym. J. 2000, 32, 456–459. [Google Scholar]
- Taube, R.; Windisch, H.; Maiwald, S. The catalysis of the stereospecific butadiene polymerization by Allyl Nickel and Allyl Lanthanide complexes—A mechanistic comparison. Macromol. Symp. 1995, 89, 393–409. [Google Scholar] [CrossRef]
- International Organization for Standardization. Styrene-Butadiene Rubber (SBR)—Determination of the Microstructure of Solution-Polymerized SBR; ISO: Geneva, Switzerland, 2005. [Google Scholar]
- Binder, J.L. Analysis of polybutaeienes and butadiene-styrene copolymers by infrared spectroscopy. Anal. Chem. 1954, 26, 1877–1882. [Google Scholar] [CrossRef]
- Min, X.; Fan, X. η3-π-Allyl Acetoxyl Ni Complex, an Efficient Initiator for Synthesis of Hydroxyl-Terminated Polybutadiene with High cis-1,4 Unit Content. Macromol. Chem. Phys. 2018, 219, 1800479. [Google Scholar] [CrossRef]
- Chen, J.; Lu, Z.; Pan, G. Synthesis of hydroxyl-terminated polybutadiene possessing high content of 1,4-units via anionic polymerization. Chin. J. Polym. Sci. 2010, 28, 715–720. [Google Scholar] [CrossRef]









| Initiator: St: B: St (Molar Ratio) | Expected PS Content | Measured PS Content | Expected Mn/g·mol−1 | Measured Mn/g·mol−1 | Mw/Mn | Cis-1, 4 % | Hydroxyl Value |
|---|---|---|---|---|---|---|---|
| 0.02:1:2:1 | 50% | 45.3% | 15800 | 16281 | 1.12 | 90.4 | 2.01 |
| 0.02:1:1:1 | 66.7% | 65.7% | 13100 | 12337 | 1.19 | 91.1 | 1.97 |
| 0.02:1:4:1 | 33.3% | 30.2% | 21200 | 21896 | 1.05 | 90.6 | 1.98 |
| 0.02:1:8:1 | 20% | 20.8% | 32000 | 31685 | 1.13 | 91.0 | 1.99 |
| Initiator: St: B: St (Molar Ratio) | Mn/g·mol−1 PS | Mw/Mn PS | Mn/g·mol−1 PSB | Mw/Mn PSB | Mn/g·mol−1 PSBS | Mw/Mn PSBS |
|---|---|---|---|---|---|---|
| 0.02:1:2:1 | 5176 | 1.08 | 10468 | 1.11 | 15800 | 1.12 |
| 0.02:1:1:1 | 5187 | 1.09 | 8013 | 1.13 | 13100 | 1.19 |
| 0.02:1:4:1 | 5173 | 1.03 | 15996 | 1.04 | 21200 | 1.05 |
| 0.02:1:8:1 | 5218 | 1.10 | 26903 | 1.12 | 32000 | 1.13 |
© 2019 by the authors. Licensee MDPI, Basel, Switzerland. This article is an open access article distributed under the terms and conditions of the Creative Commons Attribution (CC BY) license (http://creativecommons.org/licenses/by/4.0/).
Share and Cite
Min, X.; Fan, X. A New Strategy for the Synthesis of Hydroxyl Terminated Polystyrene-b-Polybutadiene-b-Polystyrene Triblock Copolymer with High Cis-1, 4 Content. Polymers 2019, 11, 598. https://doi.org/10.3390/polym11040598
Min X, Fan X. A New Strategy for the Synthesis of Hydroxyl Terminated Polystyrene-b-Polybutadiene-b-Polystyrene Triblock Copolymer with High Cis-1, 4 Content. Polymers. 2019; 11(4):598. https://doi.org/10.3390/polym11040598
Chicago/Turabian StyleMin, Xin, and Xiaodong Fan. 2019. "A New Strategy for the Synthesis of Hydroxyl Terminated Polystyrene-b-Polybutadiene-b-Polystyrene Triblock Copolymer with High Cis-1, 4 Content" Polymers 11, no. 4: 598. https://doi.org/10.3390/polym11040598
APA StyleMin, X., & Fan, X. (2019). A New Strategy for the Synthesis of Hydroxyl Terminated Polystyrene-b-Polybutadiene-b-Polystyrene Triblock Copolymer with High Cis-1, 4 Content. Polymers, 11(4), 598. https://doi.org/10.3390/polym11040598

