Adsorption Properties of β- and Hydroxypropyl-β-Cyclodextrins Cross-Linked with Epichlorohydrin in Aqueous Solution. A Sustainable Recycling Strategy in Textile Dyeing Process
Abstract
:1. Introduction
2. Materials and Methods
2.1. Chemicals
2.2. Preparation of the Polymers and Dye Solutions
2.3. Analyses and Data Evaluation
2.4. Adsorption Experiments
2.5. Polymer Characterization
2.6. Dye Degradation by a Pulsed Light Advanced Oxidation Process
2.7. Supplementary Information
3. Results and Discussion
3.1. Effect of Contact Time
3.2. Adsorption kinetics
3.3. Adsorption Equilibrium
3.4. Morphology
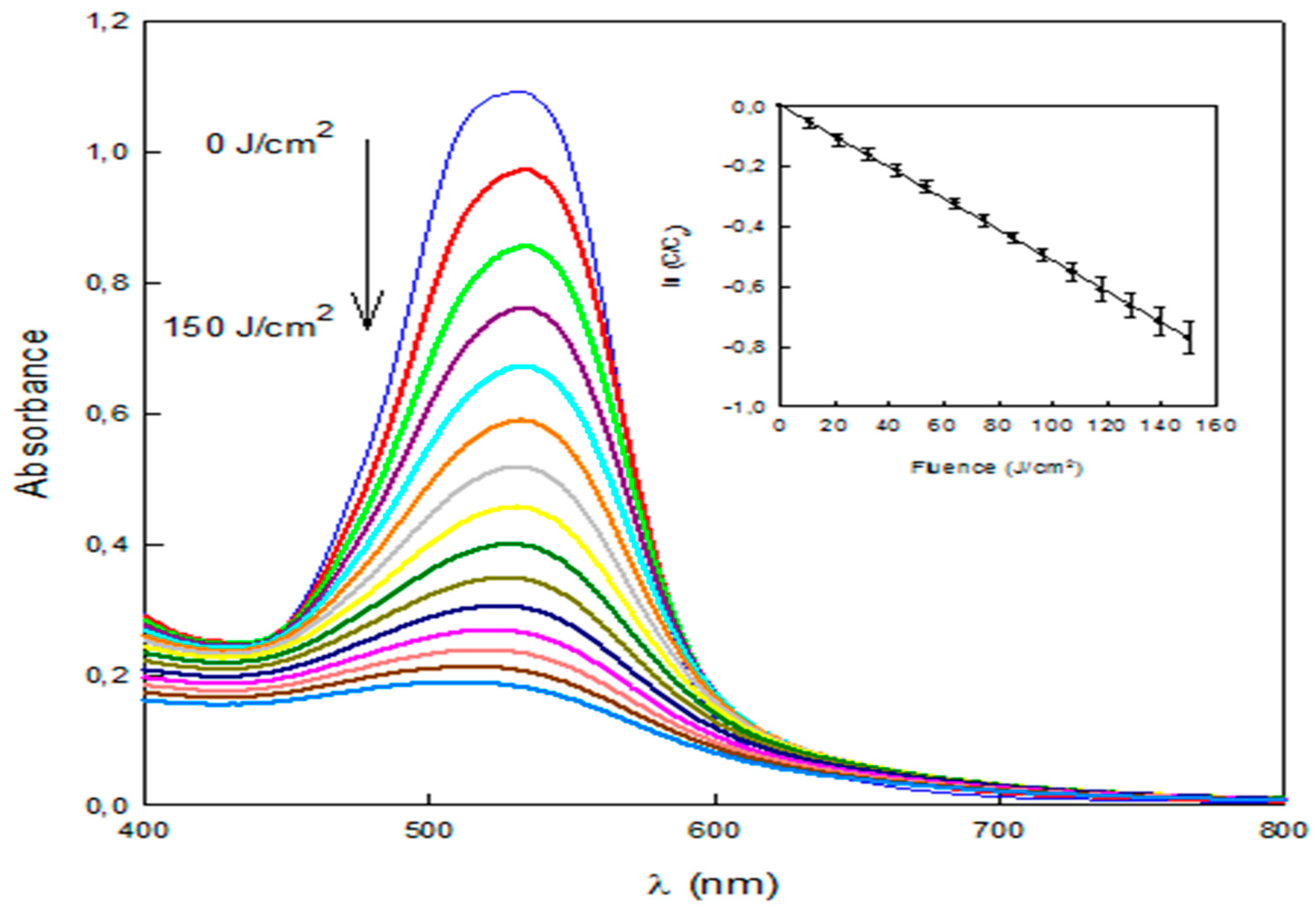
3.5. Dye Degradation by a Pulsed Light Advanced Oxidation Process
4. Conclusions
Author Contributions
Funding
Conflicts of Interest
References
- Kant, R. Textile dyeing industry an environmental hazard. Nat. Sci. 2012, 4, 22–26. [Google Scholar] [CrossRef]
- Maxwell, D.; McAndrew, L.; Ryan, J. State of the Apparel Sector Report—Water. A Report for the Global Leadership Award in Sustainable Apparel. August 2015. Available online: https://glasaaward.org/wp-content/uploads/2015/05/GLASA_2015_StateofApparelSector_SpecialReport_Water_150624.pdf (accessed on 21 December 2018).
- WRAP. Valuing Our Clothes: The Cost of UK Fashion. 2017. Available online: http://www.wrap.org.uk/sites/files/wrap/valuing-our-clothes-the-cost-of-uk-fashion_WRAP.pdf (accessed on 21 December 2018).
- Copaciu, F.; Opris, O.; Coman, V.; Ristoiu, D.; Niinemets, Ü.; Copolovici, L. Diffuse water pollution by anthraquinone and azo dyes in environment importantly alters foliage volatiles, carotenoids and physiology in wheat (Triticumaestivum). Water Air Soil Pollut. 2013, 224, 1478–1484. [Google Scholar] [CrossRef]
- Kaya, A.; Yigit, E.; Akbulut, G.B. The effects of Reactive black 5 textile dye on peroxidase activity, lipid peroxidation and total chlorophyll concentration of Phaseolus vulgaris L. cv. “Gina”. Fresen. Environ. Bull. 2012, 21, 54–60. [Google Scholar]
- Brown, M.A.; de Vito, S.C. Predicting azo dye toxicity. Crit. Rev. Environ. Sci. Technol. 1993, 23, 249–324. [Google Scholar] [CrossRef]
- Gottlieb, A.; Shaw, C.; Smith, A.; Wheatley, A.; Forsythe, S. The toxicity of textile reactive azo dyes after hydrolysis and decolourization. J. Biotechnol. 2003, 101, 49–56. [Google Scholar] [CrossRef]
- Platzek, T.; Lang, C.; Grohmann, G.; Gi, U.S.; Baltes, W. Formation of a carcinogenic aromatic amine from an azo dye by human skin bacteria in vitro. Hum. Exp. Toxicol. 1999, 18, 552–559. [Google Scholar] [CrossRef] [PubMed]
- Rawat, D.; Mishra, V.; Sharma, R.S. Detoxification of azo dyes in the context of environmental processes. Chemosphere 2016, 155, 591–605. [Google Scholar] [CrossRef] [PubMed]
- Yagub, M.T.; Sen, T.K.; Afoze, S.; Ang, H.M. Dye and its removal from aqueous solution by adsorption: A review. Adv. Colloid Interface 2014, 209, 172–184. [Google Scholar] [CrossRef]
- Malachova, K.; Rybkova, Z.; Sezimova, H.; Cerven, J.; Novotny, C. Biodegradation and detoxification potential of rotating biological contactor (RBC) with Irpexlacteus for remediation of dye-containing wastewater. Water Res. 2013, 47, 7143–7148. [Google Scholar] [CrossRef]
- Forgacs, E.; Cserhati, T.; Oros, G. Removal of synthetic dyes from wastewaters: A review. Environ. Int. 2004, 30, 953–971. [Google Scholar] [CrossRef]
- Mu, Y.; Rabaey, K.; Rozendal, R.A.; Yuan, Z.; Keller, J. Decolorization of azo dyes in bioelectrochemical systems. Environ. Sci. Technol. 2009, 43, 5137–5143. [Google Scholar] [CrossRef] [PubMed]
- Ge, Q.; Wang, P.; Wan, C.; Chung, T.S. Polyelectrolyte-promoted forward osmosis-membrane distillation (FO-MD) hybrid process for dye wastewater treatment. Environ. Sci. Technol. 2012, 46, 6236–6243. [Google Scholar] [CrossRef] [PubMed]
- Salima, A.; Benaouda, B.; Noureddine, B.; Duclaux, L. Application of Ulva lactuca and Systoceirastricta algae-based activated carbons to hazardous cationic dyes removal from industrial effluents. Water Res. 2013, 47, 3375–3388. [Google Scholar] [CrossRef] [PubMed]
- Cai, C.; Zhang, H.; Zhong, X.; Hou, L. Electrochemical enhanced heterogeneous activation of peroxydisulfate by Fe-Co/SBA-15 catalyst for the degradation of Orange II in water. Water Res. 2014, 66, 473–485. [Google Scholar] [CrossRef] [PubMed]
- Navarro, P.; Gabaldón, J.A.; Gómez-López, V.M. Degradation of an azo dye by a fast and innovative pulsed light/H2O2 advanced oxidation process. Dyes Pigments 2017, 136, 887–892. [Google Scholar] [CrossRef]
- Balapure, K.; Bhatt, N.; Madamwar, D. Mineralization of reactive azo dyes present in simulated textile waste water using down flow microaerophilic fixed film bioreactor. Bioresour. Technol. 2015, 175, 1–7. [Google Scholar] [CrossRef] [PubMed]
- Alsbaiee, A.; Smith, B.J.; Xiao, L.; Ling, Y.; Helbling, D.E.; Dichtel, W.R. Rapid removal of organic micropollutants from water by a porous beta-cyclodextrin polymer. Nature 2016, 529, 190–194. [Google Scholar] [CrossRef]
- Zhou, L.; Gao, C.; Xu, W. Magnetic dendritic materials for highly efficient adsorption of dyes and drugs. ACS Appl. Mater. Interfaces 2010, 2, 1483–1491. [Google Scholar] [CrossRef]
- Allen, S.; Koumanova, B. Decolourization of water/wastewater using adsorption. J. Univers. Chem. Technol. Metallurgy 2005, 40, 175–192. [Google Scholar]
- Ali, H. Biodegradation of synthetic dyes-a review. Water Air Soil Pollut. 2010, 213, 251–273. [Google Scholar] [CrossRef]
- Miguel, G.S.; Lambert, S.D.; Graham, N.J. The regeneration of field-spent granular-activated carbons. Water Res. 2001, 35, 2740–2748. [Google Scholar] [CrossRef]
- Li, L.; Liu, F.; Jing, X.; Ling, P.; Li, A. Displacement mechanism of binary competitive adsorption for aqueous divalent metal ions onto a novel IDA-chelating resin: Isotherm and kinetic modelling. Water Res. 2011, 45, 1177–1188. [Google Scholar] [CrossRef] [PubMed]
- Rakic, V.; Damjanovic, L.; Rac, V.; Stosic, D.; Dondur, V.; Auroux, A. The adsorption of nicotine from aqueous solutions on different zeolite structures. Water Res. 2010, 44, 2047–2057. [Google Scholar] [CrossRef] [PubMed]
- Shi, Q.; Yan, L.; Chan, T.; Jing, C. Arsenic adsorption on lanthanum-impregnated activated alumina: Spectroscopic and DFT study. ACS Appl. Mater. Interfaces 2015, 7, 26735–26741. [Google Scholar] [CrossRef] [PubMed]
- Luo, J.; Gao, Y.; Tan, K.; Wei, W.; Liu, X. Preparation of a magnetic molecularly imprinted graphene composite highly adsorbent for 4-nitrophenol in aqueous medium. ACS Sustain. Chem. Eng. 2016, 4, 3316–3326. [Google Scholar] [CrossRef]
- Yang, J.Y.; Yue, B.Y.; Teng, J.; Xu, X.; Zhao, X.R.; Jiang, X.Y.; Yu, J.G.; Zhou, F.L. Aqueous metal ions adsorption by poly(ethylene glycol)-modified grapheme oxide: Surface area and surface chemistry effects. Desalin. Water Treat. 2019, 138, 147–158. [Google Scholar] [CrossRef]
- Xu, X.; Zhou, J.; Teng, J.; Liu, Q.; Jiang, X.Y.; Jiao, F.P.; Yu, J.G.; Chen, X.Q. Novel high-gluten flour physically cross-linked graphene oxide composites: Hydrothermal fabrication and adsorption properties for rare earth ions. Ecotoxicol. Environ. Saf. 2018, 166, 1–10. [Google Scholar] [CrossRef] [PubMed]
- Crini, G. Recent developments in polysaccharide-based materials used as adsorbents in waste water treatment. Prog. Polym. Sci. 2005, 30, 38–70. [Google Scholar] [CrossRef]
- Morin-Crini, N.; Crini, G. Environmental applications of water-insoluble β-cyclodextrin–epichlorohydrin polymers. Prog. Polym. Sci. 2013, 38, 344–368. [Google Scholar] [CrossRef]
- Morin-Crini, N.; Winterton, P.; Fourmentin, S.; Wilson, L.D.; Fenyvesi, E.; Crini, G. Water-insoluble-cyclodextrin–epichlorohydrin polymers for removal of pollutants from aqueous solutions by sorption processes using batch studies: A review of inclusion mechanisms. Prog. Polym. Sci. 2018, 78, 1–23. [Google Scholar] [CrossRef]
- Stranges, S.; Alagia, M.; Decleva, P.; Stener, M.; Fronzoni, G.; Toffoli, D.; Speranza, M.; Catone, D.; Turchini, S.; Prosperi, T.; et al. The valence electronic structure and conformational flexibility of epichlorohydrin. Phys. Chem. Chem. Phys. 2011, 13, 12517–12528. [Google Scholar] [CrossRef] [PubMed]
- Gidwani, B.; Vyas, A. Synthesis, characterization and application of epichlorohydrin-beta cyclodextrin polymer. Colloids Surf. B Biointerfaces 2014, 114, 130–137. [Google Scholar] [CrossRef] [PubMed]
- Pratt, D.Y.; Wilson, L.D.; Kozinski, J.A.; Mohart, A.M. Preparation and sorption studies of β-cyclodextrin/epichlorohydrin copolymers. J. Appl. Polym. Sci. 2010, 116, 2982–2989. [Google Scholar] [CrossRef]
- Pellicer, J.A.; Rodríguez-López, M.I.; Fortea, M.I.; Lucas-Abellán, C.; Mercader-Ros, M.T.; Serrano-Martínez, A.; Núñez-Delicado, E.; Gabaldón, J.A.; Cosma, P.; Fini, P.; et al. Removing of Direct Red 83: 1 using α-and HP-α-CDs polymerized with epichlorohydrin: Kinetic and equilibrium studies. Dyes Pigment. 2018, 149, 736–746. [Google Scholar] [CrossRef]
- Renard, E.; Deratani, G.; Volet, B.; Sebille, B. Preparation and characterization of water soluble high molecular weight β-cyclodextrin-epichlorohydrin polymers. Eur. Polym. J. 1997, 33, 49–57. [Google Scholar] [CrossRef]
- Lagergren, S. Zurtheorie der sogenannten adsorption gelösterstoffe. Kungliga Svenska Vetenskapsakademiens. Handlingar 1898, 24, 1–39. [Google Scholar]
- Ho, Y.S. Review of second-order models for adsorption systems. J. Hazard. Mater. 2006, 136, 681–689. [Google Scholar] [CrossRef] [PubMed]
- Chien, S.H.; Clayton, W.R. Application of Elovich equation to the kinetics of phosphate release and sorption in soil. Soil Sci. Soc. Am. J. 1980, 44, 265–268. [Google Scholar] [CrossRef]
- Weber, W.J.; Morris, J.C. Advances in water pollution research: Removal of biologically resistant pollutant from waste water by adsorption. In Proceedings of the International Conference on Water Pollution Symposium, London, UK, 3–7 September 1962; Pergamon: Oxford, UK, 1962; Volume 2, pp. 231–266. [Google Scholar]
- Si, H.; Wang, T.; Xu, Z. Biosorption of methylene blue from aqueous solutions on β-cyclodextrin grafting wood flour copolymer: Kinetic and equilibrium studies. Wood Sci. Technol. 2013, 47, 1177–1196. [Google Scholar] [CrossRef]
- Hameed, B.H.; Mahmoud, D.K.; Ahmad, A.L. Sorption equilibrium and kinetics of basic dye from aqueous solution using banana stalk waste. J. Hazard. Mater. 2008, 158, 499–506. [Google Scholar] [CrossRef]
- Dawood, S.; Sen, T.K. Removal of anionic dye Congo Red from aqueous solution by raw pine and acid-treated pine cone powder as adsorbent: Equilibrium, thermodynamic, kinetics, mechanism and process design. Water Res. 2012, 46, 1933–1946. [Google Scholar] [CrossRef] [PubMed]
- Teng, H.; Hsieh, C. Activation energy for oxygen chemisorption on carbon at low temperatures. Ind. Eng. Chem. Res. 1999, 38, 292–297. [Google Scholar] [CrossRef]
- Aroua, M.K.; Leong, S.P.P.; Teo, L.Y.; Yin, C.Y.; Daud, W.M.A.W. Real-time determination of kinetics of adsorption of lead (II) onto palm shell-based activated carbon using ion selective electrode. Bioresour. Technol. 2008, 99, 5786–5792. [Google Scholar] [CrossRef] [PubMed]
- Ozcan, A.S.; Erdem, B.; Ozcan, A. Adsorption of Acid blue 193 from aqueous solutions onto BTMA-bentonite. Colloid Surf. A 2005, 266, 73–81. [Google Scholar] [CrossRef]
- Salleh, M.A.M.; Mahmoud, D.K.; Karim, W.A.; Idris, A. Cationic and anionic dye adsorption by agricultural solid wastes: A comprehensive review. Desalination 2011, 280, 1–13. [Google Scholar] [CrossRef]
- Freundlich, H.Z. Over the adsorption in solution. J. Phys. Chem. A 1906, 57, 385–470. [Google Scholar]
- Langmuir, I. The adsorption of gases on plane surfaces of glass, mica and platinum. J. Am. Chem. Soc. 1918, 40, 1361–1403. [Google Scholar] [CrossRef]
- Crini, G.; Peindy, H.N. Adsorption of C.I. Basic Blue 9 on cyclodextrin-based material containing carboxylic groups. Dyes Pigment. 2006, 70, 204–211. [Google Scholar] [CrossRef]
- Liu, X.; Zhang, L. Removal of phosphate anions using the modified chitosan beads: Adsorption kinetic, isotherm and mechanism studies. Powder Technol. 2015, 277, 112–119. [Google Scholar] [CrossRef]
- Vahedi, S.; Tavakoli, O.; Khoobi, M.; Ansari, A.; Faramarzi, M.A. Application of novel magnetic β-cyclodextrin-anhydride polymer nano-adsorbent in cationic dye removal from aqueous solution. J. Taiwan Inst. Chem. E 2017, 80, 452–463. [Google Scholar] [CrossRef]
- Zhao, D.; Zhao, L.; Zhu, C.S.; Huang, W.Q.; Hu, J.L. Water-insoluble β-cyclodextrin polymer crosslinked by citric acid: Synthesis and adsorption properties toward phenol and methylene blue. J. Incl. Phenom. Macrocycl. 2009, 63, 195–201. [Google Scholar] [CrossRef]
- Crini, G.; Peindy, H.N.; Gimbert, F.; Robert, C. Removal of C.I. Basic Green 4 (Malachite Green) from aqueous solutions by adsorption using cyclodextrin-based adsorbent: Kinetic and equilibrium studies. Sep. Purif. Technol. 2007, 53, 97–110. [Google Scholar] [CrossRef]
- Ozmen, E.Y.; Yilmaz, M. Use of β-cyclodextrin and starch based polymers for sorption of Congo red from aqueous solutions. J. Hazard. Mater. 2007, 148, 303–310. [Google Scholar] [CrossRef] [PubMed]
- Jabli, M.; Hamdaoui, M.; Jabli, A.; Ghandour, Y.; Ben Hassine, B. A comparative study on the performance of dye removal, from aqueous suspension, using (2-hydroxypropyl)-β-cyclodextrin-CS, PVP-PVA-CS, PVA-CS, PVP-CS and plain CS microspheres. J. Text Inst. 2014, 105, 661–675. [Google Scholar] [CrossRef]
- De Carvalho, L.B.; Carvalho, T.G.; Magriotis, Z.M.; de Castro Ramalho, T.; de Matos Alves Pinto, L. Cyclodextrin/silica hybrid adsorbent for removal of methylene blue in aqueous media. J. Incl. Phenom. Macrocycl. 2014, 78, 77–87. [Google Scholar] [CrossRef]
- Badruddoza, A.Z.M.; Hazel, G.S.S.; Hidajat, K.; Uddin, M.S. Synthesis of carboxymethyl-β-cyclodextrin conjugated magnetic nano-adsorbent for removal of methylene blue. Colloid Surf. A 2010, 367, 85–95. [Google Scholar] [CrossRef]
- Wilson, L.D.; Mohamed, M.H.; McMartin, D.W. Role of inclusion binding contributions for β-cyclodextrin polymers cross-linked with divinyl sulfone. Molecules 2016, 21, 93. [Google Scholar] [CrossRef]









| Direct Red 83:1 Concentrations (mg/L) | |||||||||
|---|---|---|---|---|---|---|---|---|---|
| qe (mg/g) | Polymer | 25 | 50 | 75 | 100 | 150 | 200 | 250 | 300 |
| β- | 1.1 | 2.3 | 3.5 | 4.6 | 6.7 | 9.0 | 11.4 | 13.4 | |
| HP-β- | 0.9 | 1.9 | 2.8 | 3.7 | 5.1 | 6.9 | 8.1 | 9.3 | |
| PFOM | β-CDs-EPI | HP-β-CDs-EPI | ||||||
| Co (mg/L) | qeexp | qecal | k1 (min−1) | R2 | qeexp | qecal | k1 (min−1) | R2 |
| 25 | 1.115 | 0.676 | 0.061 | 0.904 | 0.961 | 0.719 | 0.060 | 0.970 |
| 50 | 2.263 | 1.465 | 0.061 | 0.934 | 1.871 | 1.367 | 0.051 | 0.950 |
| 75 | 3.442 | 2.167 | 0.066 | 0.930 | 2.793 | 2.259 | 0.057 | 0.969 |
| 100 | 4.621 | 2.924 | 0.070 | 0.943 | 3.668 | 2.944 | 0.065 | 0.967 |
| 150 | 6.723 | 4.897 | 0.057 | 0.948 | 5.136 | 4.570 | 0.056 | 0.985 |
| 200 | 8.964 | 7.211 | 0.055 | 0.968 | 6.934 | 6.309 | 0.078 | 0.990 |
| 250 | 11.413 | 7.852 | 0.064 | 0.944 | 8.110 | 7.834 | 0.070 | 0.991 |
| 300 | 13.415 | 11.324 | 0.055 | 0.978 | 9.338 | 8.336 | 0.061 | 0.977 |
| PSOM | β-CDs-EPI | HP-β-CDs-EPI | ||||||
| Co (mg/L) | qeexp | qecal | K2 (min−1) | R2 | qeexp | qecal | K2 (min−1) | R2 |
| 25 | 1.115 | 1.153 | 0.232 | 0.999 | 0.961 | 1.0 | 0.2 | 0.999 |
| 50 | 2.263 | 2.336 | 0.104 | 0.999 | 1.871 | 1.988 | 0.074 | 0.999 |
| 75 | 3.442 | 3.546 | 0.0821 | 0.999 | 2.793 | 2.994 | 0.045 | 0.999 |
| 100 | 4.621 | 4.761 | 0.0681 | 0.999 | 3.668 | 3.906 | 0.044 | 0.998 |
| 150 | 6.723 | 7.092 | 0.0243 | 0.999 | 5.136 | 5.617 | 0.0193 | 0.996 |
| 200 | 8.964 | 9.615 | 0.0133 | 0.999 | 6.934 | 7.518 | 0.0176 | 0.993 |
| 250 | 11.413 | 11.834 | 0.0197 | 0.999 | 8.110 | 8.771 | 0.0149 | 0.993 |
| 300 | 13.415 | 14.471 | 0.00821 | 0.998 | 9.338 | 9.803 | 0.0154 | 0.993 |
| EMTM | β-CDs-EPI | HP-β-CDs-EPI | ||||||
| Co (mg/L) | α | β | R2 | α | β | R2 | ||
| 25 | 1.831 | 8.771 | 0.868 | 1.472 | 7.751 | 0.904 | ||
| 50 | 3.254 | 4.166 | 0.885 | 1.845 | 3.571 | 0.934 | ||
| 75 | 6.841 | 2.932 | 0.853 | 1.948 | 2.083 | 0.880 | ||
| 100 | 15.119 | 2.325 | 0.855 | 2.992 | 1.692 | 0.817 | ||
| 150 | 11.834 | 1.052 | 0.881 | 1.698 | 0.956 | 0.871 | ||
| 200 | 8.076 | 0.649 | 0.894 | 2.669 | 0.725 | 0.772 | ||
| 250 | 22.08 | 0.740 | 0.844 | 1.472 | 7.751 | 0.904 | ||
| 300 | 11.02 | 0.404 | 0.888 | 1.845 | 3.571 | 0.934 | ||
| IDM | β-CDs-EPI | HP-β-CDs-EPI | ||||||
| Co (mg/L) | qeexp | qecal | Ki (mg/g min1/2) | R2 | qeexp | qecal | Ki (mg/g min1/2) | R2 |
| 25 | 1.115 | 0.807 | 0.0329 | 0.730 | 0.961 | 0.613 | 0.037 | 0.770 |
| 50 | 2.263 | 1.600 | 0.0693 | 0.751 | 1.871 | 1.094 | 0.082 | 0.816 |
| 75 | 3.442 | 2.529 | 0.0974 | 0.708 | 2.793 | 1.513 | 0.138 | 0.740 |
| 100 | 4.621 | 3.481 | 0.122 | 0.708 | 3.668 | 2.160 | 0.166 | 0.661 |
| 150 | 6.723 | 4.139 | 0.273 | 0.745 | 5.136 | 2.379 | 0.298 | 0.726 |
| 200 | 8.964 | 4.779 | 0.444 | 0.760 | 6.934 | 3.506 | 0.382 | 0.606 |
| 250 | 11.413 | 7.796 | 0.384 | 0.698 | 8.110 | 4.111 | 0.440 | 0.615 |
| 300 | 13.415 | 6.735 | 0.711 | 0.750 | 9.338 | 4.879 | 0.471 | 0.633 |
| Isotherm | Parameter | β-CDs-EPI | HP-β-CDs-EPI |
|---|---|---|---|
| Freundlich | KF | 0.511 | 0.272 |
| nF | 1.028 | 1.305 | |
| R2 | 0.971 | 0.991 | |
| Langmuir | qmax | 107.5 | 18.2 |
| KL | 0.506 | 0.170 | |
| aL | 0.0047 | 0.0094 | |
| ΔG | 1.68 | 4.39 | |
| R2 | 0.705 | 0.976 | |
| Temkin | RL | 0.894–0.414 | 0.810–0.262 |
| aT | 0.359 | 0.167 | |
| bT | 0.50 | 0.85 | |
| R2 | 0.929 | 0.945 |
| Dye | Polymer | qmax (mg/g) | Reference |
|---|---|---|---|
| Methylene Blue | β-CDs-AH | 333 | [53] |
| Rhodamine B | β-CDs-AH | 250 | [53] |
| Direct Red 83:1 | β-CDs-EPI | 107.5 | This work |
| Methylene Blue | β-CDs-CA | 105 | [54] |
| Malachite Green | β-CDs-EPI-CMC | 91.9 | [55] |
| Basic Blue 9 | β-CDs-EPI-CMC | 56.5 | [51] |
| Congo Red | β-CDs-HMDI | 36.2 | [56] |
| Direct Red 83:1 | α-CDs-EPI | 31.5 | [36] |
| Direct Red 83:1 | HP-α-CDs-EPI | 23.4 | [36] |
| Direct Red 83:1 | HP-β-CDs-EPI | 18.2 | This work |
| Brilliant Yellow | HP-β-CDs-CS | 8.8 | [57] |
| Methylene Blue | β-CDs-SI | 187.6 | [58] |
| Methylene Blue | CM-β-CD-MNP(C) | 140.8 | [59] |
| Methylene Blue | CM-β-CD-MNP(P) | 277.8 | [59] |
| Compound | v band (cm−1) | IR Vibration |
|---|---|---|
| β-CD | 3290.61 | O–H stretching vibrations |
| HP-β CD | 3340.72 | |
| β-CD | 2924.92 | C–H stretching vibrations |
| HP-β CD | 2925.82 | |
| β-CD | 1642.90 | O–H bending vibrations |
| HP-β CD | 1645.88 | |
| β-CD | 1151.72 | C–O vibration |
| HP-β CD | 1147.82 | |
| β-CD | 1019.34 | C–O–C stretching vibrations |
| HP-β CD | 1014.01 | |
| β-CD | 857.01 | α-type glycosidic bond |
| HP-β CD | 850.69 | |
| β-CD | - | –CH3 anti-symmetric vibration |
| HP-β CD | 2968.90 | |
| β-CD | 1365.34 | –CH3 bending vibration |
| HP-β CD | 1369.89 |
© 2019 by the authors. Licensee MDPI, Basel, Switzerland. This article is an open access article distributed under the terms and conditions of the Creative Commons Attribution (CC BY) license (http://creativecommons.org/licenses/by/4.0/).
Share and Cite
Pellicer, J.A.; Rodríguez-López, M.I.; Fortea, M.I.; Lucas-Abellán, C.; Mercader-Ros, M.T.; López-Miranda, S.; Gómez-López, V.M.; Semeraro, P.; Cosma, P.; Fini, P.; et al. Adsorption Properties of β- and Hydroxypropyl-β-Cyclodextrins Cross-Linked with Epichlorohydrin in Aqueous Solution. A Sustainable Recycling Strategy in Textile Dyeing Process. Polymers 2019, 11, 252. https://doi.org/10.3390/polym11020252
Pellicer JA, Rodríguez-López MI, Fortea MI, Lucas-Abellán C, Mercader-Ros MT, López-Miranda S, Gómez-López VM, Semeraro P, Cosma P, Fini P, et al. Adsorption Properties of β- and Hydroxypropyl-β-Cyclodextrins Cross-Linked with Epichlorohydrin in Aqueous Solution. A Sustainable Recycling Strategy in Textile Dyeing Process. Polymers. 2019; 11(2):252. https://doi.org/10.3390/polym11020252
Chicago/Turabian StylePellicer, José A., María I. Rodríguez-López, María I. Fortea, Carmen Lucas-Abellán, María T. Mercader-Ros, Santiago López-Miranda, Vicente M. Gómez-López, Paola Semeraro, Pinalysa Cosma, Paola Fini, and et al. 2019. "Adsorption Properties of β- and Hydroxypropyl-β-Cyclodextrins Cross-Linked with Epichlorohydrin in Aqueous Solution. A Sustainable Recycling Strategy in Textile Dyeing Process" Polymers 11, no. 2: 252. https://doi.org/10.3390/polym11020252
APA StylePellicer, J. A., Rodríguez-López, M. I., Fortea, M. I., Lucas-Abellán, C., Mercader-Ros, M. T., López-Miranda, S., Gómez-López, V. M., Semeraro, P., Cosma, P., Fini, P., Franco, E., Ferrándiz, M., Pérez, E., Ferrándiz, M., Núñez-Delicado, E., & Gabaldón, J. A. (2019). Adsorption Properties of β- and Hydroxypropyl-β-Cyclodextrins Cross-Linked with Epichlorohydrin in Aqueous Solution. A Sustainable Recycling Strategy in Textile Dyeing Process. Polymers, 11(2), 252. https://doi.org/10.3390/polym11020252

