Electrostatic-Interaction-Driven Assembly of Binary Hybrids towards Fire-Safe Epoxy Resin Nanocomposites
Abstract
1. Introduction
2. Materials and Methods
2.1. Raw Materials
2.2. Synthesis of MnO2 Nanosheets and ZHS Cubes
2.2.1. Preparation of MnO2@ZHS Binary Hybrid
2.2.2. Preparation of Pure EP and EP Nanocomposites
2.3. Characterization
3. Results and Discussion
3.1. Characterization of MnO2@ZHS Binary Hybrid
3.2. Interfacial Adhesion Beween MnO2@ZHS Binary Hybrid and EP Matrix
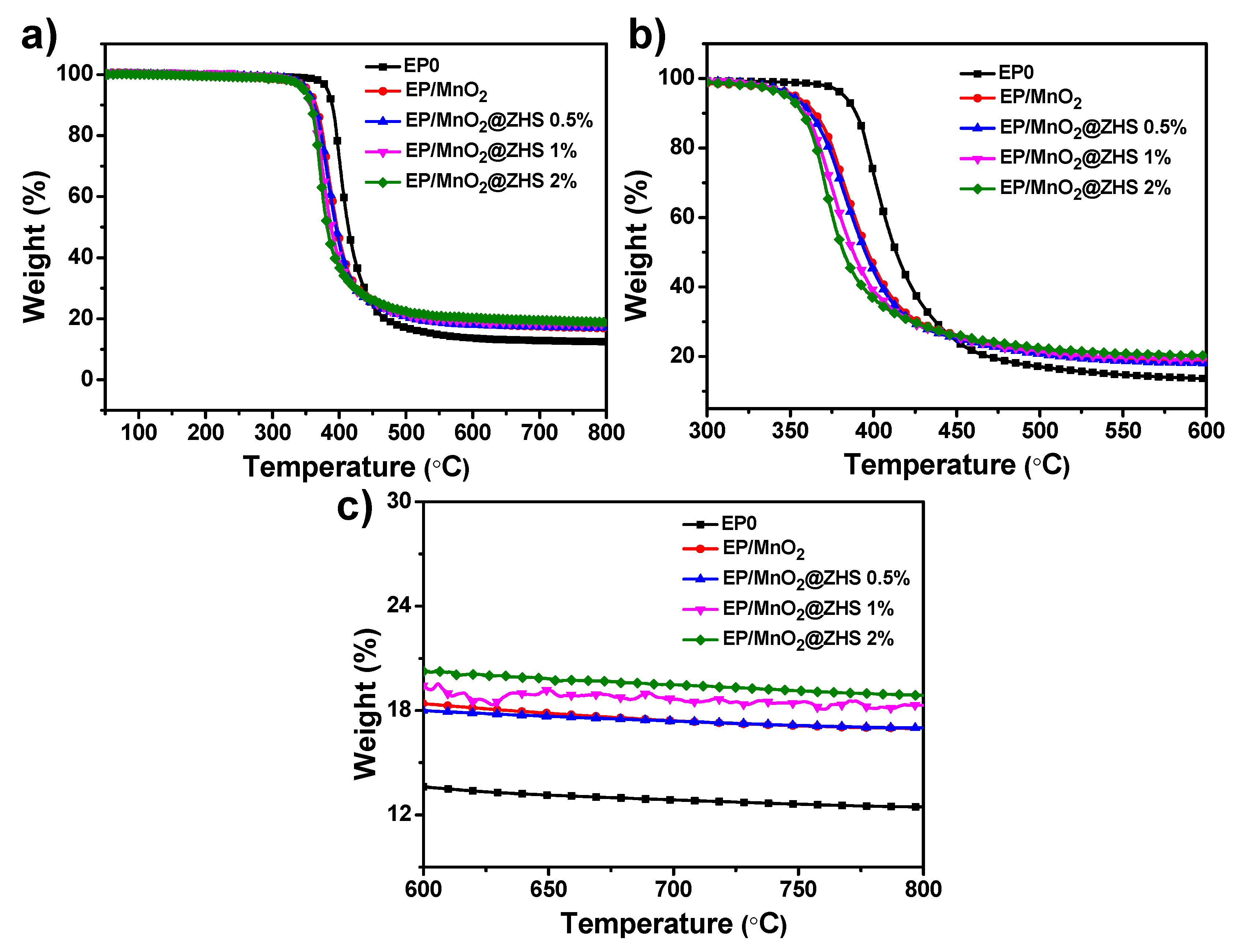
3.3. Thermal Stabilities of Pure EP and Its Nanocomposites Studied by TGA Test
3.4. Flame Retardancy Evaluated by Cone Calorimeter
3.5. Char Residues Analysis of EP and EP/MnO2@ZHS Nanocomposites
3.6. Gas-Phase Analysis of Pure EP and EP Nanocomposites
4. Conclusions
Author Contributions
Funding
Acknowledgments
Conflicts of Interest
References
- Wu, G.M.; Kong, Z.W.; Chen, J.; Huo, S.P.; Liu, G.F. Preparation and properties of waterborne polyurethane/epoxy resin composite coating from anionic terpene-based polyol dispersion. Prog. Org. Coat. 2014, 77, 315–321. [Google Scholar] [CrossRef]
- Hadi, P.; Xu, M.; Lin, C.S.; Hui, C.W.; McKay, G. Waste printed circuit board recycling techniques and product utilization. J. Hazard. Mater. 2015, 283, 234–243. [Google Scholar] [CrossRef] [PubMed]
- Zhang, H.; Wang, P.; Yang, J. Self-healing epoxy via epoxy–amine chemistry in dual hollow glass bubbles. Compos. Sci. Technol. 2014, 94, 23–29. [Google Scholar] [CrossRef]
- Guadagno, L.; Raimondo, M.; Vittoria, V.; Vertuccio, L.; Naddeo, C.; Russo, S.; De Vivo, B.; Lamberti, P.; Spinelli, G.; Tucci, V. Development of epoxy mixtures for application in aeronautics and aerospace. RSC Adv. 2014, 4, 15474–15488. [Google Scholar] [CrossRef]
- Vietri, U.; Guadagno, L.; Raimondo, M.; Vertuccio, L.; Lafdi, K. Nanofilled epoxy adhesive for structural aeronautic materials. Compos. Part B-Eng. 2014, 61, 73–83. [Google Scholar] [CrossRef]
- Shi, Y.Q.; Yu, B.; Zheng, Y.Y.; Guo, J.; Chen, B.H.; Pan, Z.M.; Hu, Y. A combination of POSS and polyphosphazene for reducing fire hazards of epoxy resin. Polym. Adv. Technol. 2018, 29, 1242–1254. [Google Scholar] [CrossRef]
- Watanabe, I.; Sakai, S.I. Environmental release and behavior of brominated flame retardants. Environ. Int. 2003, 29, 665–682. [Google Scholar] [CrossRef]
- Czégény, Z.; Jakab, E.; Blazsó, M.; Bhaskar, T.; Sakata, Y. Thermal decomposition of polymer mixtures of PVC, PET and ABS containing brominated flame retardant: Formation of chlorinated and brominated organic compounds. J. Anal. Appl. Pyrol. 2012, 96, 69–77. [Google Scholar] [CrossRef]
- Altarawneh, M.; Saeed, A.; Al-Harahsheh, M.; Dlugogorski, B.Z. Thermal decomposition of brominated flame retardants (BFRs): Products and mechanisms. Prog. Energ. Combust. 2019, 70, 212–259. [Google Scholar] [CrossRef]
- Altarawneh, M.; Dlugogorski, B.Z. Formation of polybrominated dibenzofurans from polybrominated biphenyls. Chemosphere 2015, 119, 1048–1053. [Google Scholar] [CrossRef]
- Blaiszik, B.; Sottos, N.; White, S. Nanocapsules for self-healing materials. Compos. Sci. Technol. 2008, 68, 978–986. [Google Scholar] [CrossRef]
- Noisser, T.; Reichenauer, G.; Husing, N. In Situ Modification of the silica backbone leading to highly porous monolithic hybrid organic–inorganic materials via ambient pressure drying. ACS Appl. Mater. Interfaces 2014, 6, 1025–1029. [Google Scholar] [CrossRef] [PubMed]
- Pourhashem, S.; Vaezi, M.R.; Rashidi, A. Investigating the effect of SiO2-graphene oxide hybrid as inorganic nanofiller on corrosion protection properties of epoxy coatings. Surf. Coat. Technol. 2017, 311, 282–294. [Google Scholar] [CrossRef]
- Yuan, B.; Hu, Y.; Chen, X.; Shi, Y.; Niu, Y.; Zhang, Y.; He, S.; Dai, H. Dual modification of graphene by polymeric flame retardant and Ni(OH)2 nanosheets for improving flame retardancy of polypropylene. Compos. Part A-Appl. Sci. Manuf. 2017, 100, 106–117. [Google Scholar] [CrossRef]
- Shi, Y.; Yu, B.; Duan, L.; Gui, Z.; Wang, B.; Hu, Y.; Yuen, R.K.K. Graphitic carbon nitride/phosphorus-rich aluminum phosphinates hybrids as smoke suppressants and flame retardants for polystyrene. J. Hazard. Mater. 2017, 332, 87–96. [Google Scholar] [CrossRef] [PubMed]
- Shi, Y.Q.; Yu, B.; Zheng, Y.Y.; Yang, J.; Duan, Z.P.; Hu, Y. Design of reduced graphene oxide decorated with DOPO-phosphanomidate for enhanced fire safety of epoxy resin. J. Colloid Interf. Sci. 2018, 521, 160–171. [Google Scholar] [CrossRef] [PubMed]
- Hapuarachchi, T.D.; Peijs, T. Multiwalled carbon nanotubes and sepiolite nanoclays as flame retardants for polylactide and its natural fibre reinforced composites. Compos. Part A-Appl. Sci. Manuf. 2010, 41, 954–963. [Google Scholar] [CrossRef]
- Wang, W.; Pan, H.; Shi, Y.; Pan, Y.; Yang, W.; Liew, K.M.; Song, L.; Hu, Y. Fabrication of LDH nanosheets on β-FeOOH rods and applications for improving the fire safety of epoxy resin. Compos. Part A-Appl. Sci. Manuf. 2016, 80, 259–269. [Google Scholar] [CrossRef]
- Chen, X.; Jiang, Y.; Jiao, C. Smoke suppression properties of ferrite yellow on flame retardant thermoplastic polyurethane based on ammonium polyphosphate. J. Hazard. Mater. 2014, 266, 114–121. [Google Scholar] [CrossRef] [PubMed]
- Wang, W.; Pan, H.; Shi, Y.; Yu, B.; Pan, Y.; Liew, K.M.; Song, L.; Hu, Y. Sandwichlike coating consisting of alternating montmorillonite and β-FeOOH for reducing the fire hazard of flexible polyurethane foam. ACS Sustain. Chem. Eng. 2015, 3, 3214–3223. [Google Scholar] [CrossRef]
- Pan, H.; Wang, W.; Pan, Y.; Song, L.; Hu, Y.; Liew, K.M. Formation of layer-by-layer assembled titanate nanotubes filled coating on flexible polyurethane foam with improved flame retardant and smoke suppression properties. ACS Appl. Mater. Interfaces 2014, 7, 101–111. [Google Scholar] [CrossRef] [PubMed]
- Yu, B.; Shi, Y.; Yuan, B.; Qiu, S.; Xing, W.; Hu, W.; Song, L.; Lo, S.; Hu, Y. Enhanced thermal and flame retardant properties of flame-retardant-wrapped graphene/epoxy resin nanocomposites. J. Mater. Chem. A 2015, 3, 8034–8044. [Google Scholar] [CrossRef]
- Wang, W.; Kan, Y.; Pan, H.; Pan, Y.; Li, B.; Liew, K.M.; Hu, Y. Phosphorylated cellulose applied for the exfoliation of LDH: An advanced reinforcement for polyvinyl alcohol. Compos. Part A-Appl. Sci. Manuf. 2017, 94, 170–177. [Google Scholar] [CrossRef]
- Zhou, K.; Gao, R.; Qian, X. Self-assembly of exfoliated molybdenum disulfide (MoS2) nanosheets and layered double hydroxide (LDH): Towards reducing fire hazards of epoxy. J. Hazard. Mater. 2017, 338, 343–355. [Google Scholar] [CrossRef] [PubMed]
- Wang, W.; Kan, Y.; Liu, J.; Liew, K.M.; Liu, L.; Hu, Y. Self-assembly of zinc hydroxystannate on amorphous hydrous TiO2 solid sphere for enhancing fire safety of epoxy resin. J. Hazard. Mater. 2017, 340, 263–271. [Google Scholar] [CrossRef] [PubMed]
- Wang, W.; Kan, Y.; Pan, Y.; Yuan, Y.; Liew, K.M.; Hu, Y. Urchinlike shells of TiO2 hollow spheres for improving the fire safety of epoxy resin. Ind. Eng. Chem. Res. 2017, 56, 1341–1348. [Google Scholar] [CrossRef]
- Gu, H.; Guo, J.; He, Q.; Tadakamalla, S.; Zhang, X.; Yan, X.; Huang, Y.; Colorado, H.A.; Wei, S.; Guo, Z. Flame-retardant epoxy resin nanocomposites reinforced with polyaniline-stabilized silica nanoparticles. Ind. Eng. Chem. Res. 2013, 52, 7718–7728. [Google Scholar] [CrossRef]
- Ran, S.; Guo, Z.; Han, L.; Fang, Z. Effect of a lewis acid catalyst on the performance of HDPE/BFR/GNPs composites. Ind. Eng. Chem. Res. 2014, 53, 4711–4717. [Google Scholar] [CrossRef]
- Li, L.P.; Zheng, T.; Xu, L.N.; Li, Z.; Sun, L.D.; Nie, Z.X.; Bai, Y.; Liu, H.W. SnO2–ZnSn(OH)6: A novel binary affinity probe for global phosphopeptide detection. Chem. Commun. 2013, 49, 1762–1764. [Google Scholar] [CrossRef]
- Carosio, F.; Alongi, J.; Malucelli, G. Layer by layer ammonium polyphosphate-based coatings for flame retardancy of polyester–cotton blends. Carbohydr. Polym. 2012, 88, 1460–1469. [Google Scholar] [CrossRef]
- Carosio, F.; Di Blasio, A.; Cuttica, F.; Alongi, J.; Frache, A.; Malucelli, G. Flame retardancy of polyester fabrics treated by spray-assisted layer-by-layer silica architectures. Ind. Eng. Chem. Res. 2013, 52, 9544–9550. [Google Scholar] [CrossRef]
- Wang, W.; Pan, Y.; Pan, H.; Yang, W.; Liew, K.M.; Song, L.; Hu, Y. Synthesis and characterization of MnO2 nanosheets based multilayer coating and applications as a flame retardant for flexible polyurethane foam. Compos. Sci. Technol. 2016, 123, 212–221. [Google Scholar] [CrossRef]
- Wang, W.; Kan, Y.; Yu, B.; Pan, Y.; Liew, K.M.; Song, L.; Hu, Y. Synthesis of MnO2 nanoparticles with different morphologies and application for improving the fire safety of epoxy. Compos. Part A-Appl. Sci. Manuf. 2017, 95, 173–182. [Google Scholar] [CrossRef]
- Sinha, A.K.; Pradhan, M.; Pal, T. Morphological evolution of two-dimensional MnO2 nanosheets and their shape transformation to one-dimensional ultralong MnO2 nanowires for robust catalytic activity. J. Phys. Chem. C 2013, 117, 23976–23986. [Google Scholar] [CrossRef]
- Wrobel, G.; Piech, M.; Dardona, S.; Ding, Y.; Gao, P.X. Seedless synthesis and thermal decomposition of single crystalline zinc hydroxystannate cubes. Cryst. Growth Des. 2009, 9, 4456–4460. [Google Scholar] [CrossRef]
- Ma, Z.; Shao, G.; Fan, Y.; Wang, G.; Song, J.; Shen, D. Construction of hierarchical α-MnO2 nanowires@ ultrathin δ-MnO2 nanosheets core–shell nanostructure with excellent cycling stability for high-power asymmetric supercapacitor electrodes. ACS Appl. Mater. Interfaces 2016, 8, 9050–9058. [Google Scholar] [CrossRef] [PubMed]
- Fu, X.; Huang, D.; Qin, Y.; Li, L.; Jiang, X.; Chen, S. Effects of preparation method on the microstructure and photocatalytic performance of ZnSn(OH)6. Appl. Catal. B-Environ. 2014, 148, 532–542. [Google Scholar] [CrossRef]
- Luo, P.; Zhang, H.; Liu, L.; Fang, L.; Wang, Y. Sandwich-like nanostructure of amorphous ZnSnO3 encapsulated in carbon nanosheets for enhanced lithium storage. Electrochim. Acta 2016, 219, 734–741. [Google Scholar] [CrossRef]
- Singu, B.S.; Hong, S.E.; Yoon, K.R. Ultra-thin and ultra-long α-MnO2 nanowires for pseudocapacitor material. J. Solid State Electr. 2017, 21, 3215–3220. [Google Scholar] [CrossRef]
- Li, D.; Li, W.; Deng, Y.; Wu, X.; Han, N.; Chen, Y. Effective Ti doping of δ-MnO2 via anion route for highly active catalytic combustion of benzene. J. Phys. Chem. C 2016, 120, 10275–10282. [Google Scholar] [CrossRef]
- Wang, W.; Pan, H.; Yu, B.; Pan, Y.; Song, L.; Liew, K.M.; Hu, Y. Fabrication of carbon black coated flexible polyurethane foam for significantly improved fire safety. RSC Adv. 2015, 5, 55870–55878. [Google Scholar] [CrossRef]
- Miran, H.A.; Altarawneh, M.; Jiang, Z.T.; Oskierski, H.; Almatarneh, M.; Dlugogorski, B.Z. Decomposition of selected chlorinated volatile organic compounds by ceria (CeO2). Catal. Sci. Technol. 2017, 7, 3902–3919. [Google Scholar] [CrossRef]
















© 2019 by the authors. Licensee MDPI, Basel, Switzerland. This article is an open access article distributed under the terms and conditions of the Creative Commons Attribution (CC BY) license (http://creativecommons.org/licenses/by/4.0/).
Share and Cite
Liu, L.; Wang, W.; Shi, Y.; Fu, L.; Xu, L.; Yu, B. Electrostatic-Interaction-Driven Assembly of Binary Hybrids towards Fire-Safe Epoxy Resin Nanocomposites. Polymers 2019, 11, 229. https://doi.org/10.3390/polym11020229
Liu L, Wang W, Shi Y, Fu L, Xu L, Yu B. Electrostatic-Interaction-Driven Assembly of Binary Hybrids towards Fire-Safe Epoxy Resin Nanocomposites. Polymers. 2019; 11(2):229. https://doi.org/10.3390/polym11020229
Chicago/Turabian StyleLiu, Lu, Wei Wang, Yongqian Shi, Libi Fu, Lulu Xu, and Bin Yu. 2019. "Electrostatic-Interaction-Driven Assembly of Binary Hybrids towards Fire-Safe Epoxy Resin Nanocomposites" Polymers 11, no. 2: 229. https://doi.org/10.3390/polym11020229
APA StyleLiu, L., Wang, W., Shi, Y., Fu, L., Xu, L., & Yu, B. (2019). Electrostatic-Interaction-Driven Assembly of Binary Hybrids towards Fire-Safe Epoxy Resin Nanocomposites. Polymers, 11(2), 229. https://doi.org/10.3390/polym11020229

