Entropy-Induced Separation of Binary Semiflexible Ring Polymer Mixtures in Spherical Confinement
Abstract
1. Introduction
2. Model and Method
3. Result and Discussion
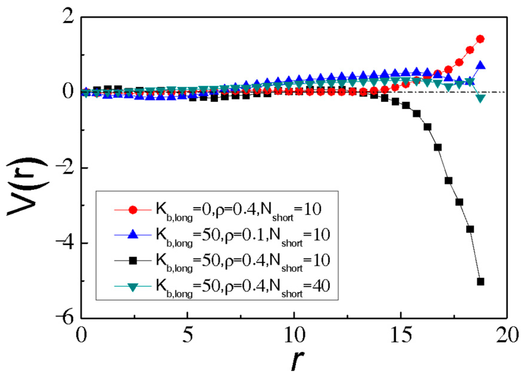
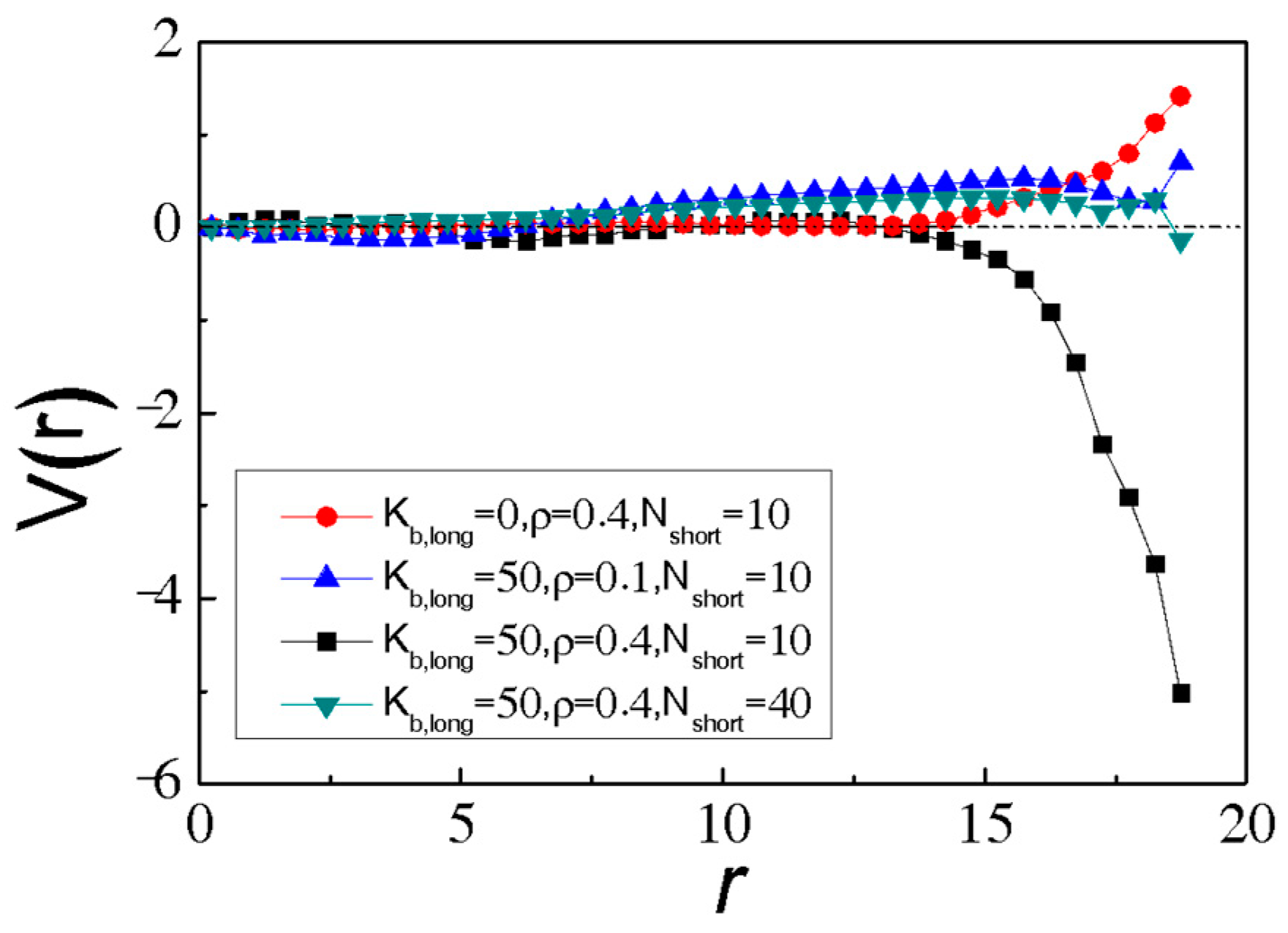
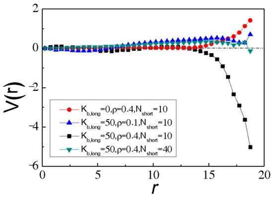
3.1. Segregated Structure in Binary SRPs Mixture
3.2. Comparison with Mixtures of Semiflexible Linear and Ring Polymers
4. Conclusions
Supplementary Materials
Author Contributions
Funding
Conflicts of Interest
References
- Ciferri, A. (Ed.) Liquid Crystallinity in Polymers: Principles and Fundamental properties; VCH Publishers: New York, NY, USA, 1983. [Google Scholar]
- Donald, A.M.; Windle, A.H.; Hanna, S. Liquid Crystalline Polymers; Cambridge University Press: Cambridge, UK, 2006. [Google Scholar]
- Mofrad, M.R.K.; Kamm, R.D. (Eds.) Cytoskeletal Mechanics; Cambridge University Press: Cambridge, UK, 2006. [Google Scholar]
- Alberts, B.; Johnson, A.; Lewis, J.; Raff, M.; Roberts, K.; Walter, P. Molecular Biology of the Cell; Garland Science: New York, NY, USA, 2007. [Google Scholar]
- Wen, Q.; Janmey, P.A. Polymer physics of the cytoskeleton. Curr. Opin. Solid State Mater. Sci. 2011, 15, 177–182. [Google Scholar] [CrossRef]
- Trabi, M.; Craik, D.J. Circular proteins-no end in sight. Trends Biochem. Sci. 2002, 27, 132–138. [Google Scholar] [CrossRef]
- Dobay, A.; Dubochet, J.; Millett, K.; Sottas, P.E.; Stasiak, A. Scaling behavior of random knots. Proc. Natl. Acad. Sci. USA 2003, 100, 5611–5615. [Google Scholar] [CrossRef] [PubMed]
- Sanchez, T.; Kulic, I.M.; Dogic, Z. Circularization, photomechanical switching, and a supercoiling transition of actin filaments. Phys. Rev. Lett. 2010, 104, 098103. [Google Scholar] [CrossRef] [PubMed]
- Suzuki, J.; Takano, A.; Matsushita, Y. Interactions between ring polymers in dilute solution studied by Monte Carlo simulation. J. Chem. Phys. 2015, 142, 044904. [Google Scholar] [CrossRef]
- Daichi, I. Semiflexible ring polymers in dilute solutions. React. Funct. Polym. 2018, 130, 111–117. [Google Scholar]
- Hiroki, A.; Daichi, I. Mean-Square Radius of Gyration and Scattering Function of Semiflexible Ring Polymers of the Trefoil Knot. Polymers 2016, 8, 271. [Google Scholar]
- Cloizeaux Des, J. Polymers in solutions: Principles and applications of a direct renormalization method. J. Phys. (Paris) 1981, 42, 635–652. [Google Scholar] [CrossRef]
- Grosberg, A.Y. Critical exponents for random knots. Phys. Rev. Lett. 2000, 85, 3858. [Google Scholar] [CrossRef]
- Moore, N.T.; Grosberg, A.Y. Limits of analogy between self-avoidance and topology-driven swelling of polymer loops. Phys. Rev. E 2005, 72, 061803. [Google Scholar] [CrossRef]
- Mansfield, M.L.; Douglas, J.F. Properties of knotted ring polymers: I. Equilibrium dimensions J. Chem. Phys. 2010, 133, 044903. [Google Scholar] [PubMed]
- Vettorel, T.; Grosberg, A.Y.; Kremer, K. Statistics of polymer rings in the melt: A numerical simulation study. Phys. Biol. 2009, 6, 025013. [Google Scholar] [CrossRef] [PubMed]
- Halverson, J.D.; Lee, W.B.; Grest, G.S.; Grosberg, A.Y.; Kremer, K. Molecular dynamics simulation study of nonconcatenated ring polymers in a melt. I. Statics. J. Chem. Phys. 2011, 134, 204904. [Google Scholar] [CrossRef] [PubMed]
- Reigh, S.Y.; Yoon, D.Y. Concentration dependence of ring polymer conformations from Monte Carlo simulations. ACS Macro Lett. 2013, 2, 296–300. [Google Scholar] [CrossRef]
- Chubak, L.; Locatelli, E.; Likos, C.N. An anisotropic effective model for the simulation of semiflexible ring polymers. Mol. Phys. 2018, 136, 2911–2926. [Google Scholar] [CrossRef]
- Shin, J.; Cherstvy, A.G.; Metzler, R. Mixing and segregation of ring polymers: Spatial confinement and molecular crowding effects. New J. Phys. 2014, 16, 053047. [Google Scholar] [CrossRef]
- Doi, Y.; Matsubara, K.; Ohta, Y.; Nakano, T.; Kawaguchi, D.; Takahashi, Y.; Takano, A.; Matsushita, Y. Melt rheology of ring polystyrenes with ultrahigh purity. Macromolecules 2015, 48, 3140–3147. [Google Scholar] [CrossRef]
- Yan, Z.C.; Costanzo, S.; Jeong, Y.; Chang, T.; Vlassopoulos, D. Linear and nonlinear shear rheology of a marginally entangled ring polymer. Macromolecules 2016, 49, 1444–1453. [Google Scholar] [CrossRef]
- Kapnistos, M.; Lang, M.; Vlassopoulos, D.; Pyckhout-Hintzen, W.; Richter, D.; Cho, D.; Chang, T.; Rubinstein, M. Unexpected power-law stress relaxation of entangled ring polymers. Nat. Mater. 2008, 7, 997–1002. [Google Scholar] [CrossRef]
- Halverson, J.D.; Lee, W.B.; Grest, G.S.; Grosberg, A.Y.; Kremer, K. Molecular dynamics simulation study of nonconcatenated ring polymers in a melt. II. Dynamics. J. Chem. Phys. 2011, 134, 204905. [Google Scholar] [CrossRef]
- Alim, K.; Frey, E. Shapes of semiflexible polymer rings. Phys. Rev. Lett. 2007, 99, 198102. [Google Scholar] [CrossRef] [PubMed]
- Morrison, G.; Thirumalai, D. Semiflexible chains in confined spaces. Phys. Rev. E 2009, 79, 011924. [Google Scholar] [CrossRef] [PubMed]
- Ostermeir, K.; Alim, K.; Frey, E. Buckling of stiff polymer rings in weak spherical confinement. Phys. Rev. E 2010, 81, 061802. [Google Scholar] [CrossRef] [PubMed]
- Micheletti, C.; Marenduzzo, D.; Orlandini, E. Polymers with spatial or topological constraints: Theoretical and computational results. Phys. Rep. 2011, 504, 1–73. [Google Scholar] [CrossRef]
- Cifra, P.; Bleha, T. Free energy of polymers confined in open and closed cavities. Macromol. Theory Simul. 2012, 21, 15–23. [Google Scholar] [CrossRef]
- Gao, J.; Tang, P.; Yang, Y.; Chen, J.Z.F. Free energy of a long semiflexible polymer confined in a spherical cavity. Soft Matter 2014, 10, 4674–4685. [Google Scholar] [CrossRef]
- Milchev, A.; Egorov, S.A.; Nikoubashman, A.; Binder, K. Conformations and orientational ordering of semiflexible polymers in spherical confinement. J. Chem. Phys. 2017, 146, 194907. [Google Scholar] [CrossRef]
- Nikoubashman, A.; Vega, D.A.; Binder, K.; Milchev, A. Semiflexible polymers in spherical confinement: Bipolar orientational order versus tennis ball states. Phys. Rev. Lett. 2017, 118, 217803. [Google Scholar] [CrossRef]
- Milchev, A.; Egorov, S.A.; Vega, D.A.; Binder, K.; Nikoubashman, A. Densely packed semiflexible macromolecules in a rigid spherical capsule. Macromolecules 2018, 51, 2002–2016. [Google Scholar] [CrossRef]
- Parisi, D.; Truzzolillo, D.; Deepak, V.D. Transition from Confined to Bulk Dynamics in Symmetric Star-Linear Polymer Mixtures. Macromolecules 2019, 52, 5872–5883. [Google Scholar] [CrossRef]
- Li, S.J.; Ding, M.M.; Shi, T.F. Spatial distribution of entanglements and dynamics in polymer films confined by smooth walls. Polymer 2019, 172, 365–371. [Google Scholar] [CrossRef]
- Song, J.; Kahraman, R.; Collinson, D.W. Temperature effects on the nanoindentation characterization of stiffness gradients in confined polymers. Soft Matter 2019, 15, 359–370. [Google Scholar] [CrossRef] [PubMed]
- Raffaele, P.; Alessio, D.; Mose, C. Influence of wall heterogeneity on nanoscopically confined polymers. Phys. Chem. Chem. Phys. 2019, 21, 772–779. [Google Scholar]
- Zuo, B.; Zhou, H.; Davis, M.J.B. Effect of Local Chain Conformation in Adsorbed Nanolayers on Confined Polymer MolecularMobility. Phys. Rev. Lett. 2019, 122, 217801. [Google Scholar] [CrossRef] [PubMed]
- Jun, S.; Mulder, B. Entropy-driven spatial organization of highly confined polymers: Lessons for the bacterial chromosome. Proc. Natl. Acad. Sci. USA 2006, 103, 12388–12393. [Google Scholar] [CrossRef]
- Silva, M.S.; Alvarado, J.; Nguyen, J.; Georgoulia, N.; Mulder, B.; Koenderink, G. Self-organized patterns of actin filaments in cell-sized confinement. Soft Matter 2011, 7, 10631–10641. [Google Scholar] [CrossRef]
- Qi, W.; Yan, X.; Fei, J.; Wang, A.; Cui, Y.; Li, J. Triggered release of insulin from glucose-sensitive enzyme multilayer shells. Biomaterials 2009, 30, 2799–2806. [Google Scholar] [CrossRef]
- Wang, Y.; Wang, L.; Li, B.; Cheng, Y.; Zhou, D.; Chen, X.; Jing, X.; Huang, Y. Compact vesicles self-assembled from binary graft copolymers with high hydrophilic fraction for potential drug/protein delivery. ACS Macro Lett. 2017, 6, 1186–1190. [Google Scholar] [CrossRef]
- Lang, M. Ring conformations in bidisperse blends of ring polymers. Macromolecules 2013, 46, 1158–1166. [Google Scholar] [CrossRef]
- Grest, G.S.; Kremer, K. Molecular-dynamics simulation for polymers in the presence of a heat bath. Phys. Rev. A 1986, 33, 3628–3631. [Google Scholar] [CrossRef]
- Cifra, P. Channel confinement of flexible and semiflexible macromolecules. J. Chem. Phys. 2009, 131, 224903. [Google Scholar] [CrossRef] [PubMed]
- Bernabei, M.; Bacova, P.; Moreno, A.J. Fluids of semiflexible ring polymers: Effective potentials and clustering. Soft Matter 2013, 9, 1287–1300. [Google Scholar] [CrossRef]
- Zhou, X.L.; Li, K.; Guo, F.C.; Zhang, L.X. Ordered aggregation structures of semiflexible ring polymers in ring-linear blends. Polymer 2019, 175, 129–136. [Google Scholar] [CrossRef]
- Narros, A.; Moreno, A.J.; Likos, C.N. Influence of topology on effective potentials: Coarse-graining ring polymers. Soft Matter 2010, 6, 2435–2441. [Google Scholar] [CrossRef]
- Poier, P.; Bacova, P.; Moreno, A.J.; Likos, C.N.; Blaak, R. Anisotropic effective interactions and stack formation in mixtures of semiflexible ring polymers. Soft Matter 2016, 12, 4805–4820. [Google Scholar] [CrossRef]
- Kremer, K.; Grest, G.S. Dynamics of entangled linear polymer melts: A molecular dynamics simulation. J. Chem. Phys. 1990, 92, 5057–5086. [Google Scholar] [CrossRef]
- Michieletto, D. On the tree-like structure of rings in dense solutions. Soft Matter 2016, 12, 9485–9500. [Google Scholar] [CrossRef]
- Rapaport, D.C. The Art of Molecular Dynamics Simulation, 2nd ed.; Cambridge University Press: Cambridge, UK, 2004. [Google Scholar]
- Marmol, J.J.B.; Machancoses, O.A.; Patti, A. Modeling the effect of polymer chain stiffness on the behaviour of polymer nanocomposites. J. Phys. Chem. B 2017, 121, 6245–6256. [Google Scholar] [CrossRef]
- Wang, J.; Ferguson, A.L. A study of the morphology, dynamics, and folding pathways of ring polymers with supramolecular topological constraints using molecular simulation and nonlinear manifold learning. Macromolecules 2018, 51, 598–616. [Google Scholar] [CrossRef]
- Plimpton, S. Fast parallel algorithms for short-range molecular dynamics. J. Comput. Phys. 1995, 117, 1–19. [Google Scholar] [CrossRef]
- Dinsmore, A.D.; Yodh, A.G. Phase diagrams nearly-hard-sphere binary colloids. Phys. Rev. E 1995, 52, 4045–4057. [Google Scholar] [CrossRef] [PubMed]
- Dinsmore, A.D.; Wong, D.T.; Nelson, P.; Yodh, A.G. Hard spheres in vesicles: Curvature-induced forces and particle-induced curvature. Phys. Rev. Lett. 1998, 80, 409–412. [Google Scholar] [CrossRef]
- Asakura, S.; Oosawa, F. Surface tension of high-polymer solution. J. Chem. Phys. 1954, 22, 1255. [Google Scholar] [CrossRef]
- Dinsmore, A.D.; Yodh, A.G.; Pine, D.J. Entropic control of particle motion using passive surface microstructures. Nature 1996, 383, 239–242. [Google Scholar] [CrossRef]
- Poier, P.; Egorov, S.A.; Likos, C.N.; Blaak, R. Concentration-induced planar-to-homeotropic anchoring transition of stiff ring polymers on hard walls. Soft Matter 2016, 12, 7983–7994. [Google Scholar] [CrossRef]
- Slimani, M.Z.; Bacova, P.; Bernabei, M.; Narros, A.; Likos, C.N.; Moreno, A.J. Cluster glasses of semiflexible ring polymers. ACS Macro Lett. 2014, 3, 611–616. [Google Scholar] [CrossRef]
- Narros, A.; Likos, C.N.; Moreno, A.J.; Capone, B. Multi-blob coarse graining for ring polymer solutions. Soft Matter 2014, 10, 9601–9614. [Google Scholar] [CrossRef]
- Roy, S.; Luzhbin, D.A.; Chen, Y.L. Investigation of nematic to smectic phase transition and dynamical properties of strongly confined semiflexible polymers using Langevin dynamics. Soft Matter 2018, 14, 7382–7389. [Google Scholar] [CrossRef]
- Zhang, D.; Zhang, L.X. Binding to semiflexible polymers: A novel method to control the structures of small numbers of building blocks. Soft Matter 2014, 10, 7661–7668. [Google Scholar] [CrossRef]
- Bedrov, D.; Smith, G.D.; Smith, J.S. Matrix-induced nanoparticle interactions in a polymer melt: A molecular dynamics simulation study. J. Chem. Phys. 2003, 119, 10438–10447. [Google Scholar] [CrossRef]
- Avendano, C.; Jackson, G.; Muller, E.A.; Escobedo, F.A. Assembly of porous smectic structures formed from interlocking high-symmetry planar nanorings. Proc. Natl. Acad. Sci. USA 2016, 113, 9699–9703. [Google Scholar] [CrossRef] [PubMed]
- Sarabadani, J.; Milchev, A.; Vilgis, T.A. Structure and dynamics of polymer melt confined between two solid surfaces: A molecular dynamics study. J. Chem. Phys. 2014, 141, 044907. [Google Scholar] [CrossRef] [PubMed]
- Lee, E.; Jung, Y. Segregated structures of ring polymer melts near the surface: A molecular dynamics simulation study. Soft Matter 2015, 11, 6018–6028. [Google Scholar] [CrossRef] [PubMed]
- Snir, Y.; Kamien, R.D. Entropically driven helix formation. Science 2005, 307, 1067. [Google Scholar] [CrossRef] [PubMed]
- Yang, Z.Y.; Zhang, D.; Zhang, L.X.; Chen, H.P.; Rehman, A.U.; Liang, H.J. Local coil-helix transition of semiflexible polymers confined in spheres. Soft Matter 2011, 7, 6836–6843. [Google Scholar] [CrossRef]










© 2019 by the authors. Licensee MDPI, Basel, Switzerland. This article is an open access article distributed under the terms and conditions of the Creative Commons Attribution (CC BY) license (http://creativecommons.org/licenses/by/4.0/).
Share and Cite
Zhou, X.; Guo, F.; Li, K.; He, L.; Zhang, L. Entropy-Induced Separation of Binary Semiflexible Ring Polymer Mixtures in Spherical Confinement. Polymers 2019, 11, 1992. https://doi.org/10.3390/polym11121992
Zhou X, Guo F, Li K, He L, Zhang L. Entropy-Induced Separation of Binary Semiflexible Ring Polymer Mixtures in Spherical Confinement. Polymers. 2019; 11(12):1992. https://doi.org/10.3390/polym11121992
Chicago/Turabian StyleZhou, Xiaolin, Fuchen Guo, Ke Li, Linli He, and Linxi Zhang. 2019. "Entropy-Induced Separation of Binary Semiflexible Ring Polymer Mixtures in Spherical Confinement" Polymers 11, no. 12: 1992. https://doi.org/10.3390/polym11121992
APA StyleZhou, X., Guo, F., Li, K., He, L., & Zhang, L. (2019). Entropy-Induced Separation of Binary Semiflexible Ring Polymer Mixtures in Spherical Confinement. Polymers, 11(12), 1992. https://doi.org/10.3390/polym11121992

