Carborane-Containing Aromatic Polyimide Films with Ultrahigh Thermo-Oxidative Stability
Abstract
:1. Introduction
2. Materials and Methods
2.1. Materials
2.2. Synthesis of the Carborane-Containing Polyimide Films
2.3. Characterization and Measurements
3. Results and Discussions
3.1. Preparation and Characterization of CPI Films
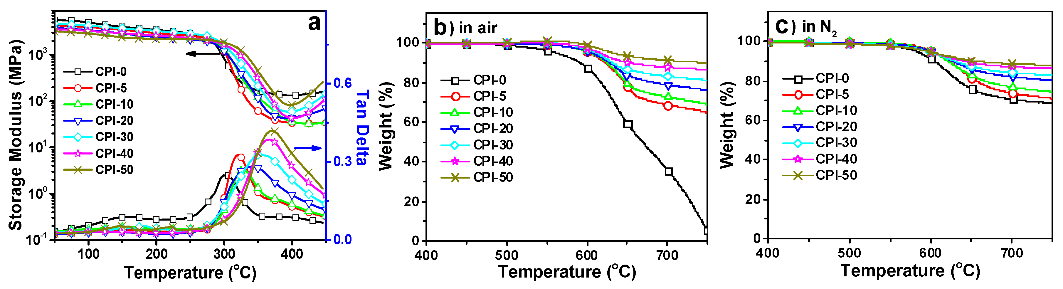
3.2. Thermal and Thermo-Oxidative Stabilities
3.3. Mechanical Properties
3.4. Mechanism of Thermo-Oxidative Resistance
4. Conclusions
Supplementary Materials
Author Contributions
Funding
Conflicts of Interest
References
- Kreuz, J.A.; Edman, J.R. Polyimide Films. Adv. Mater. 1998, 10, 1229–1232. [Google Scholar] [CrossRef]
- Liaw, D.-J.; Wang, K.-L.; Huang, Y.-C.; Lee, K.-R.; Lai, J.-Y.; Ha, C.-S. Advanced polyimide materials: Syntheses, physical properties and applications. Prog. Polym. Sci. 2012, 37, 907–974. [Google Scholar] [CrossRef]
- Tomczyk, M.; Bretos, I.; Jiménez, R.; Mahajan, A.; Ramana, E.V.; Calzada, M.L.; Vilarinho, P.M. Direct fabrication of BiFeO3 thin films on polyimide substrates for flexible electronics. J. Mater. Chem. C 2017, 5, 12529–12537. [Google Scholar] [CrossRef]
- Ma, H.; Jen, A.K.-Y.; Dalton, L.R. Polymer-Based Optical Waveguides: Materials, Processing, and Devices. Adv. Mater. 2002, 14, 1339–1365. [Google Scholar] [CrossRef]
- Govindaraj, B.; Sarojadevi, M. Microwave-assisted synthesis of nanocomposites from polyimides chemically cross-linked with functionalized carbon nanotubes for aerospace applications. Polym. Adv. Technol. 2018, 29, 1718–1726. [Google Scholar] [CrossRef]
- Zhu, Z.; Yao, H.; Dong, J.; Qian, Z.; Dong, W.; Long, D. High-mechanical-strength polyimide aerogels crosslinked with 4,4′-oxydianiline-functionalized carbon nanotubes. Carbon 2019, 144, 24–31. [Google Scholar] [CrossRef]
- Choi, M.-C.; Kim, Y.; Ha, C.-S. Polymers for flexible displays: From material selection to device applications. Prog. Polym. Sci. 2008, 33, 581–630. [Google Scholar] [CrossRef]
- Xiao, Y.; Low, B.T.; Hosseini, S.S.; Chung, T.S.; Paul, D.R. The strategies of molecular architecture and modification of polyimide-based membranes for CO2 removal from natural gas—A review. Prog. Polym. Sci. 2009, 34, 561–580. [Google Scholar] [CrossRef]
- Rodenas, T.; van Dalen, M.; García-Pérez, E.; Serra-Crespo, P.; Zornoza, B.; Kapteijn, F.; Gascon, J. Visualizing MOF Mixed Matrix Membranes at the Nanoscale: Towards Structure-Performance Relationships in CO2/CH4Separation Over NH2-MIL-53(Al)@PI. Adv. Funct. Mater. 2014, 24, 249–256. [Google Scholar] [CrossRef]
- Wang, Z.; Wang, D.; Zhang, S.; Hu, L.; Jin, J. Interfacial Design of Mixed Matrix Membranes for Improved Gas Separation Performance. Adv. Mater. 2016, 28, 3399–3405. [Google Scholar] [CrossRef]
- Rogan, Y.; Malpass-Evans, R.; Carta, M.; Lee, M.; Jansen, J.C.; Bernardo, P.; Clarizia, G.; Tocci, E.; Friess, K.; Lanč, M.; et al. A highly permeable polyimide with enhanced selectivity for membrane gas separations. J. Mater. Chem. A 2014, 2, 4874–4877. [Google Scholar] [CrossRef]
- Wang, H.; Wang, T.; Yang, S.; Fan, L. Preparation of thermal stable porous polyimide membranes by phase inversion process for lithium-ion battery. Polymer 2013, 54, 6339–6348. [Google Scholar] [CrossRef]
- Liang, X.; Yang, Y.; Jin, X.; Huang, Z.; Kang, F. The high performances of SiO2 /Al2O3 -coated electrospun polyimide fibrous separator for lithium-ion battery. J. Membr. Sci. 2015, 493, 1–7. [Google Scholar] [CrossRef]
- Miao, Y.-E.; Zhu, G.-N.; Hou, H.; Xia, Y.-Y.; Liu, T. Electrospun polyimide nanofiber-based nonwoven separators for lithium-ion batteries. J. Power Sources 2013, 226, 82–86. [Google Scholar] [CrossRef]
- Shi, J.; Hu, H.; Xia, Y.; Liu, Y.; Liu, Z. Polyimide matrix-enhanced cross-linked gel separator with three-dimensional heat-resistance skeleton for high-safety and high-power lithium ion batteries. J. Mater. Chem. A 2014, 2, 9134–9141. [Google Scholar] [CrossRef]
- Tsai, M.H.; Tseng, I.H.; Chiang, J.C.; Li, J.J. Flexible polyimide films hybrid with functionalized boron nitride and graphene oxide simultaneously to improve thermal conduction and dimensional stability. ACS Appl. Mater. Interfaces 2014, 6, 8639–8645. [Google Scholar] [CrossRef]
- Sato, K.; Horibe, H.; Shirai, T.; Hotta, Y.; Nakano, H.; Nagai, H.; Mitsuishi, K.; Watari, K. Thermally conductive composite films of hexagonal boron nitride and polyimide with affinity-enhanced interfaces. J. Mater. Chem. 2010, 20, 2749–2752. [Google Scholar] [CrossRef]
- Li, T.-L.; Hsu, S.L.-C. Preparation and properties of thermally conductive photosensitive polyimide/boron nitride nanocomposites. J. Appl. Polym. Sci. 2011, 121, 916–922. [Google Scholar] [CrossRef]
- Spechler, J.A.; Koh, T.-W.; Herb, J.T.; Rand, B.P.; Arnold, C.B. A Transparent, Smooth, Thermally Robust, Conductive Polyimide for Flexible Electronics. Adv. Funct. Mater. 2015, 25, 7428–7434. [Google Scholar] [CrossRef]
- Kim, Y.; Ryu, T.I.; Ok, K.-H.; Kwak, M.-G.; Park, S.; Park, N.-G.; Han, C.J.; Kim, B.S.; Ko, M.J.; Son, H.J.; et al. Inverted Layer-By-Layer Fabrication of an Ultraflexible and Transparent Ag Nanowire/Conductive Polymer Composite Electrode for Use in High-Performance Organic Solar Cells. Adv. Funct. Mater. 2015, 25, 4580–4589. [Google Scholar] [CrossRef]
- Lu, H.-Y.; Chou, C.-Y.; Wu, J.-H.; Lin, J.-J.; Liou, G.-S. Highly transparent and flexible polyimide–AgNW hybrid electrodes with excellent thermal stability for electrochromic applications and defogging devices. J. Mater. Chem. C 2015, 3, 3629–3635. [Google Scholar] [CrossRef]
- Chen, D.; Liang, J.; Liu, C.; Saldanha, G.; Zhao, F.; Tong, K.; Liu, J.; Pei, Q. Thermally Stable Silver Nanowire-Polyimide Transparent Electrode Based on Atomic Layer Deposition of Zinc Oxide on Silver Nanowires. Adv. Funct. Mater. 2015, 25, 7512–7520. [Google Scholar] [CrossRef]
- Quédé, A.; Cardoso, J.; Le Bras, M.; Delobel, R.; Goudmand, P.; Dessaux, O.; Jama, C. Thermal stability and flammability studies of coated polymer powders using a plasma fluidized bed process. J. Mater. Sci. 2002, 37, 1395–1399. [Google Scholar] [CrossRef]
- Saccani, A.; Toselli, M.; Pilati, F. Improvement of the thermo-oxidative stability of low-density polyethylene films by organic–inorganic hybrid coatings. Polym. Degrad. Stab. 2011, 96, 212–219. [Google Scholar] [CrossRef]
- Kim, S.; Jang, M.; Park, M.; Park, N.-H.; Ju, S.-Y. A self-assembled flavin protective coating enhances the oxidative thermal stability of multi-walled carbon nanotubes. Carbon 2017, 117, 220–227. [Google Scholar] [CrossRef]
- Williams, J.M.; Kelly, R.G. An analysis of corrosive species ingress into IM7/PETI-5 Ti honeycomb composites. Compos. Sci. Technol. 2004, 64, 1875–1883. [Google Scholar] [CrossRef]
- Lincoln, J.E.; Hout, S.; Flaherty, K.; Curliss, D.B.; Morgan, R.J. High temperature organic/inorganic addition cure polyimide composites, part 1: Matrix thermal properties. J. Appl. Polym. Sci. 2008, 107, 3557–3567. [Google Scholar] [CrossRef]
- Shi, C.; Dai, J.; Shen, X.; Peng, L.; Li, C.; Wang, X.; Zhang, P.; Zhao, J. A high-temperature stable ceramic-coated separator prepared with polyimide binder/Al2O3 particles for lithium-ion batteries. J. Membr. Sci. 2016, 517, 91–99. [Google Scholar] [CrossRef]
- Lincoln, J.E.; Morgan, R.J.; Curliss, D.B. Effect of matrix chemical structure on the thermo-oxidative stability of addition cure poly(imide siloxane) composites. Polym. Compos. 2008, 29, 585–596. [Google Scholar] [CrossRef]
- Chang, T.C.; Wu, K.H.; Liao, C.L.; Lin, S.T.; Wang, G.P. Thermo-oxidative degradation of siloxane-containing polyimide and unmodified polyimide. Polym. Degrad. Stab. 1998, 62, 299–305. [Google Scholar] [CrossRef]
- Packirisamy, S. Decaborane(14)-based polymers. Prog. Polym. Sci. 1996, 21, 707–773. [Google Scholar] [CrossRef]
- Heying, T.L.; Jr, J.W.A.; Clark, S.L.; Mangold, D.J.; Goldstein, H.L.; Hillman, M.; Polak, R.J.; Szymanski, J.W. A New Series of Organoboranes. I. Carboranes from the Reaction of Decaborane with Acetylenic Compounds. Inorg. Chem. 1963, 2, 1089–1092. [Google Scholar] [CrossRef]
- Jemmis, E.D. Overlap control and stability of polyhedral molecules. closo-Carboranes. J. Am. Chem. Soc. 1982, 104, 7017–7020. [Google Scholar] [CrossRef]
- Dash, B.P.; Satapathy, R.; Maguire, J.A.; Hosmane, N.S. Polyhedral boron clusters in materials science. New J. Chem. 2011, 35, 1955–1972. [Google Scholar] [CrossRef]
- Li, N.; Zeng, F.; Qu, D.; Zhang, J.; Shao, L.; Bai, Y. Synthesis and characterization of carborane-containing polyester with excellent thermal and ultrahigh char yield. J. Appl. Polym. Sci. 2016, 133. [Google Scholar] [CrossRef]
- Zhang, X.; Kong, L.; Dai, L.; Zhang, X.; Wang, Q.; Tan, Y.; Zhang, Z. Synthesis, characterization, and thermal properties of poly(siloxane-carborane)s. Polymer 2011, 52, 4777–4784. [Google Scholar] [CrossRef]
- Huang, X.; Zhang, Q.; Meng, Z.; Gu, J.; Jia, X.; Xi, K. Greatly enhanced thermo-oxidative stability of polybenzoxazine thermoset by incorporation ofm-carborane. J. Polym. Sci. Part A Polym. Chem. 2015, 53, 973–980. [Google Scholar] [CrossRef]
- Hasegawa, M.; Koseki, K. Poly(ester imide)s Possessing Low Coeffcient of Thermal Expansion and Low Water Absorption. High Perform. Polym. 2016, 18, 697–717. [Google Scholar] [CrossRef]
- Xing, T.; Zhang, K. Syntheses of novel soluble carborane polyimides with ultrahigh thermal stability. Polym. Int. 2015, 64, 1715–1721. [Google Scholar] [CrossRef]
- Nayak, L.; Rahaman, M.; Khastgir, D.; Chaki, T.K. Thermal degradation kinetics of polyimide nanocomposites from different carbon nanofillers: Applicability of different theoretical models. J. Appl. Polym. Sci. 2018, 135, 45862. [Google Scholar] [CrossRef]
- Yang, K.-K.; Wang, X.-L.; Wang, Y.-Z.; Wu, B.; Jin, Y.-D.; Yang, B. Kinetics of thermal degradation and thermal oxidative degradation of poly(p-dioxanone). Eur. Polym. J. 2003, 39, 1567–1574. [Google Scholar] [CrossRef]
- Lou, P.; Zhang, X.; Liu, B.; Gao, X.; Zhang, Z.; Xie, Z. Synthesis and thermal degradation mechanism of polyorganocarboranesiloxanes containing m -carboranylmethyl unit. Polym. Degrad. Stab. 2017, 144, 304–314. [Google Scholar] [CrossRef]
- Lei, X.F.; Chen, Y.; Zhang, H.P.; Li, X.J.; Yao, P.; Zhang, Q.Y. Space survivable polyimides with excellent optical transparency and self-healing properties derived from hyperbranched polysiloxane. ACS Appl. Mater. Interfaces 2013, 5, 10207–10220. [Google Scholar] [CrossRef] [PubMed]












| Elemental Contents | C (%) | N (%) | H (%) | O (%) | B (%) |
|---|---|---|---|---|---|
| Calculated values | 61.51 | 5.33 | 4.14 | 18.73 | 10.29 |
| Elemental analysis | 62.01 | 5.44 | 4.02 | - | - |
| XPS analysis | 60.30 | 4.94 | - | 19.55 | 11.07 |
| Temperature/Time | 600 °C/30 min | 600 °C/60 min | 700 °C/5 min | 700 °C/15 min | 700 °C/30 min |
|---|---|---|---|---|---|
| CPI-0 | -- | -- | -- | -- | -- |
| CPI-20 | ++ | ++ | ++ | ++ | + |
| CPI-50 | ++ | ++ | ++ | ++ | ++ |
© 2019 by the authors. Licensee MDPI, Basel, Switzerland. This article is an open access article distributed under the terms and conditions of the Creative Commons Attribution (CC BY) license (http://creativecommons.org/licenses/by/4.0/).
Share and Cite
Liu, F.; Fang, G.; Yang, H.; Yang, S.; Zhang, X.; Zhang, Z. Carborane-Containing Aromatic Polyimide Films with Ultrahigh Thermo-Oxidative Stability. Polymers 2019, 11, 1930. https://doi.org/10.3390/polym11121930
Liu F, Fang G, Yang H, Yang S, Zhang X, Zhang Z. Carborane-Containing Aromatic Polyimide Films with Ultrahigh Thermo-Oxidative Stability. Polymers. 2019; 11(12):1930. https://doi.org/10.3390/polym11121930
Chicago/Turabian StyleLiu, Fulin, Guangqiang Fang, Haixia Yang, Shiyong Yang, Xuezhong Zhang, and Zhijie Zhang. 2019. "Carborane-Containing Aromatic Polyimide Films with Ultrahigh Thermo-Oxidative Stability" Polymers 11, no. 12: 1930. https://doi.org/10.3390/polym11121930
APA StyleLiu, F., Fang, G., Yang, H., Yang, S., Zhang, X., & Zhang, Z. (2019). Carborane-Containing Aromatic Polyimide Films with Ultrahigh Thermo-Oxidative Stability. Polymers, 11(12), 1930. https://doi.org/10.3390/polym11121930

