Microstructure Transitions and Dry-Wet Spinnability of Silk Fibroin Protein from Waste Silk Quilt
Abstract
1. Introduction
2. Materials and Methods
2.1. Materials
2.2. Preparation of RSF Aqueous Solutions
2.3. Dry-Wet Spinning of RSF Aqueous Solutions
2.4. Preparation of Test Samples
3. Characterization and Evaluation
4. Results and Discussion
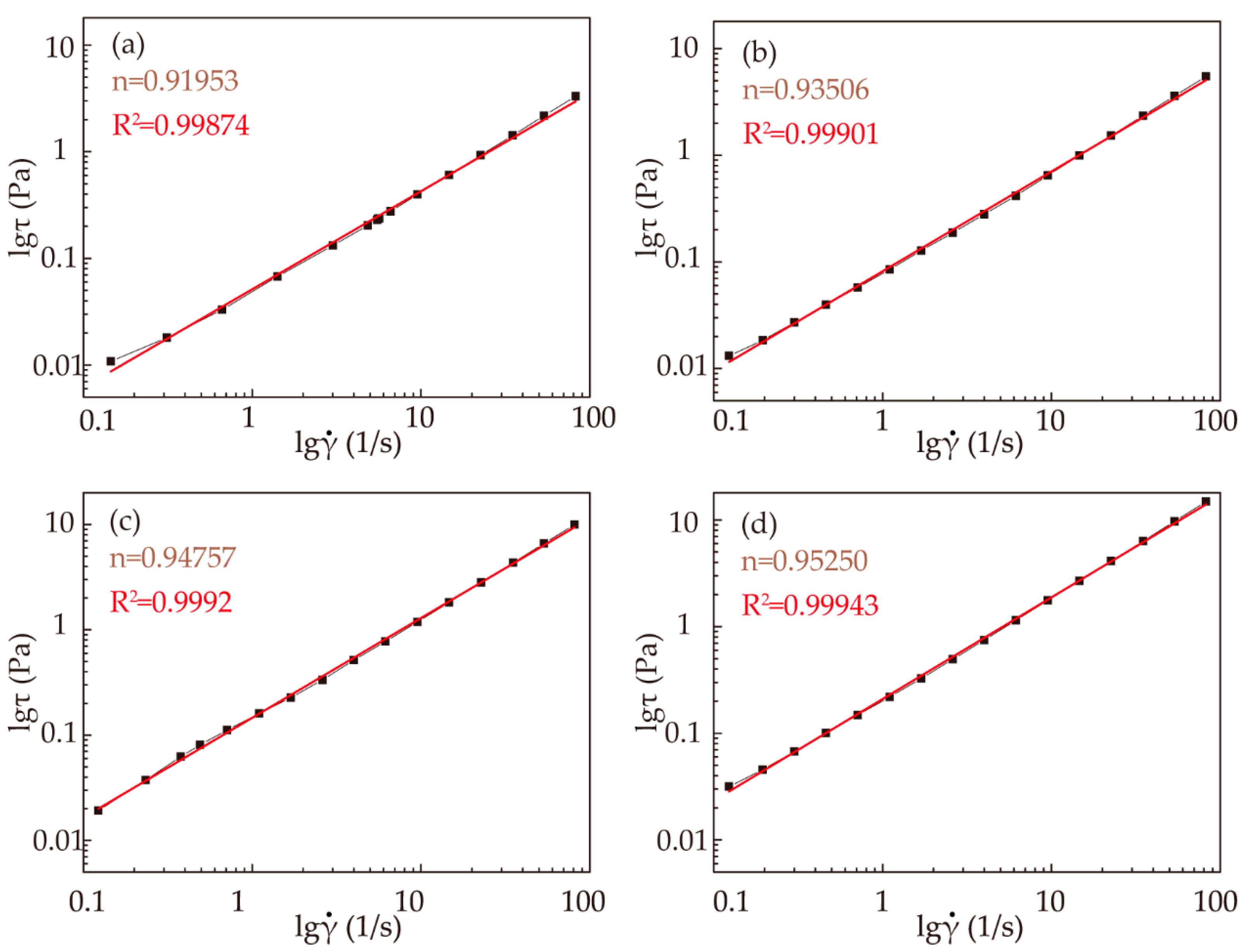
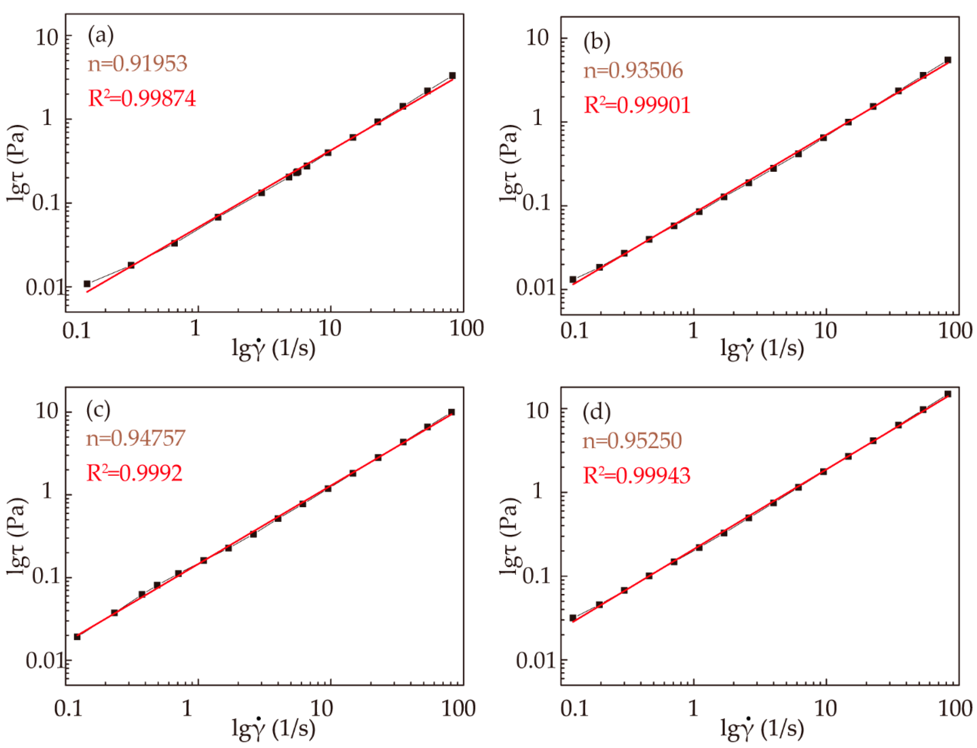
4.1. Rheological Behaviors of RSF Solutions with Various Concentrations
4.2. Conformation Analysis of RSF Samples from FTIR Spectra
4.3. Estimation of β-sheet Content in Samples Using Amide I Band from FTIR Spectra
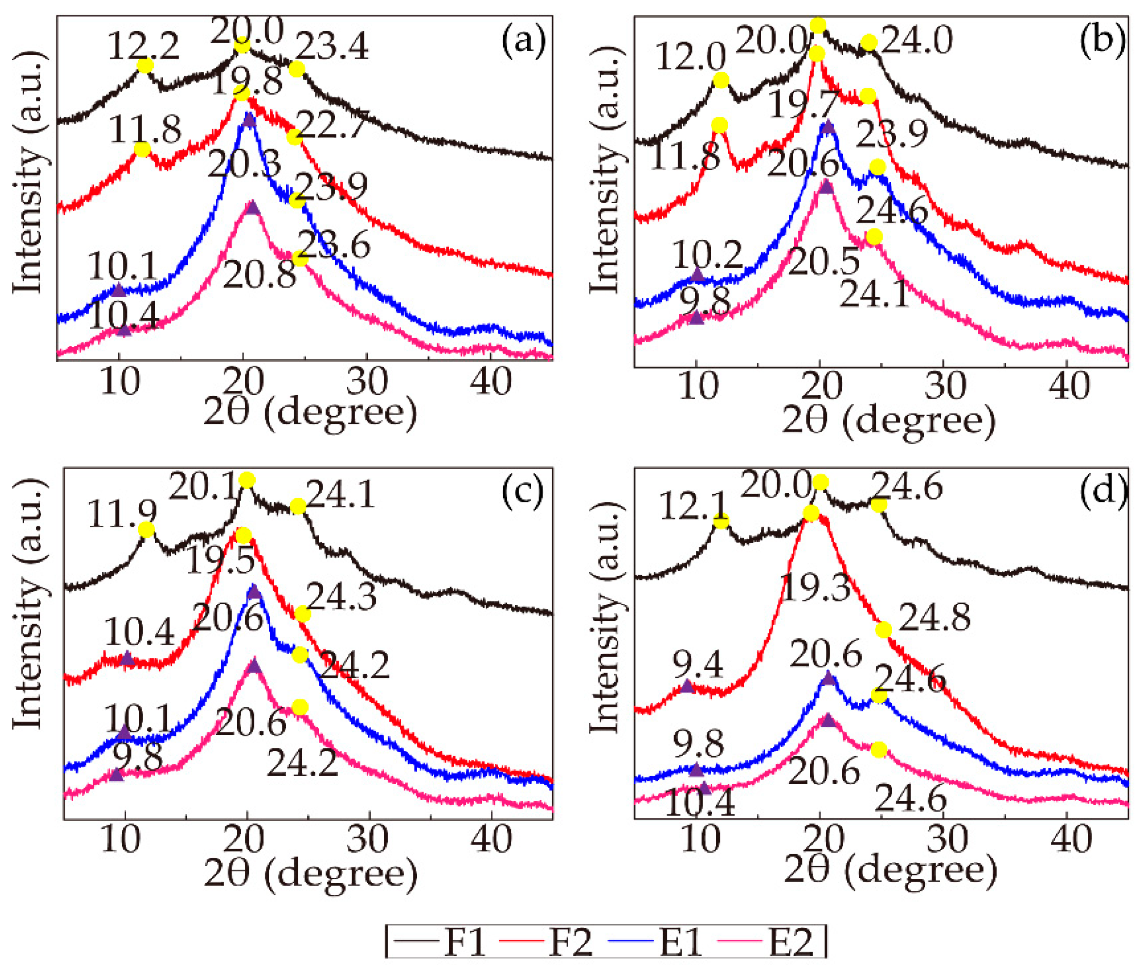
4.4. Crystallinity Analysis of Silk Fibroin Protein Samples
4.4.1. X-Ray Diffraction (XRD)
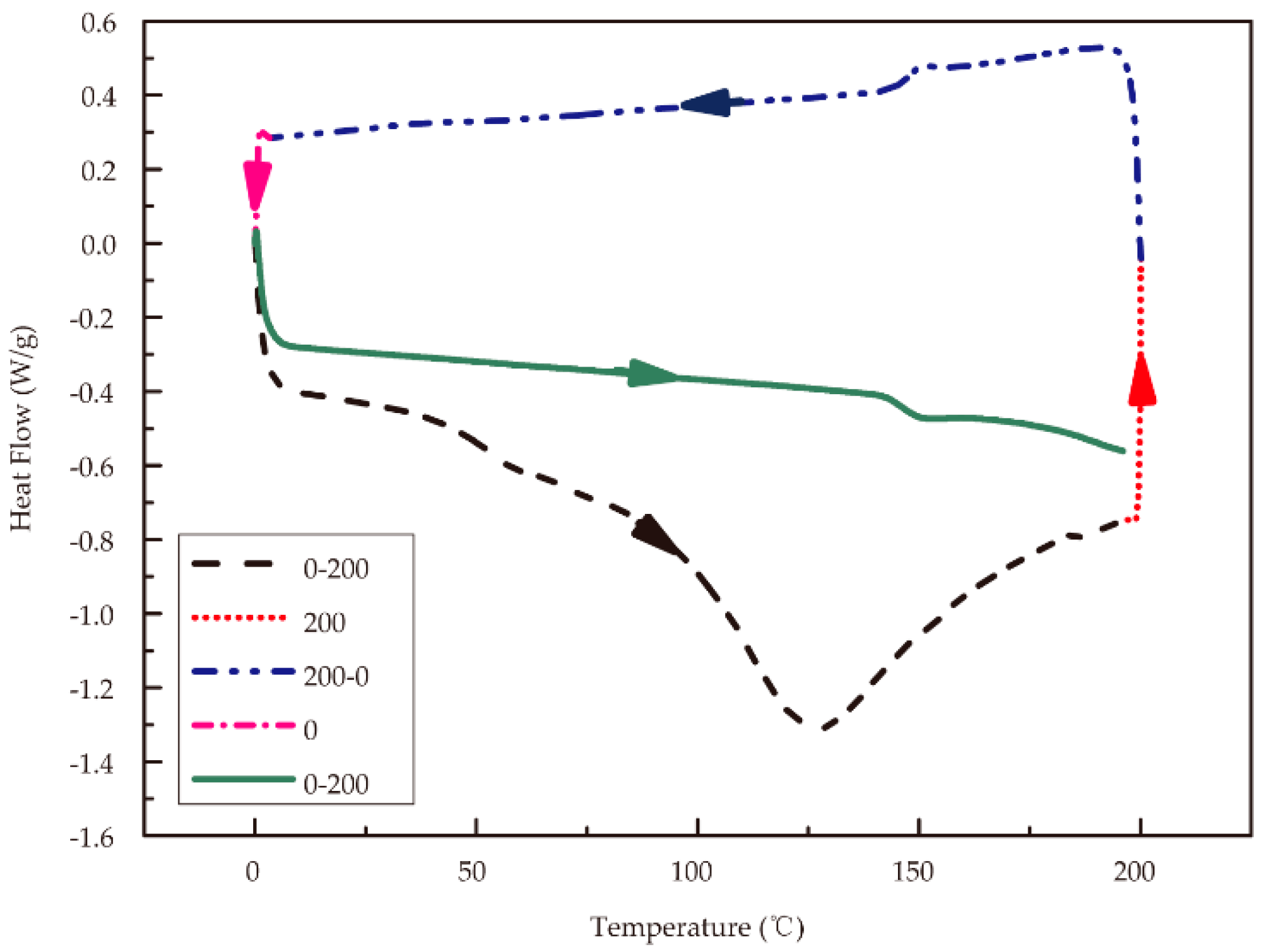
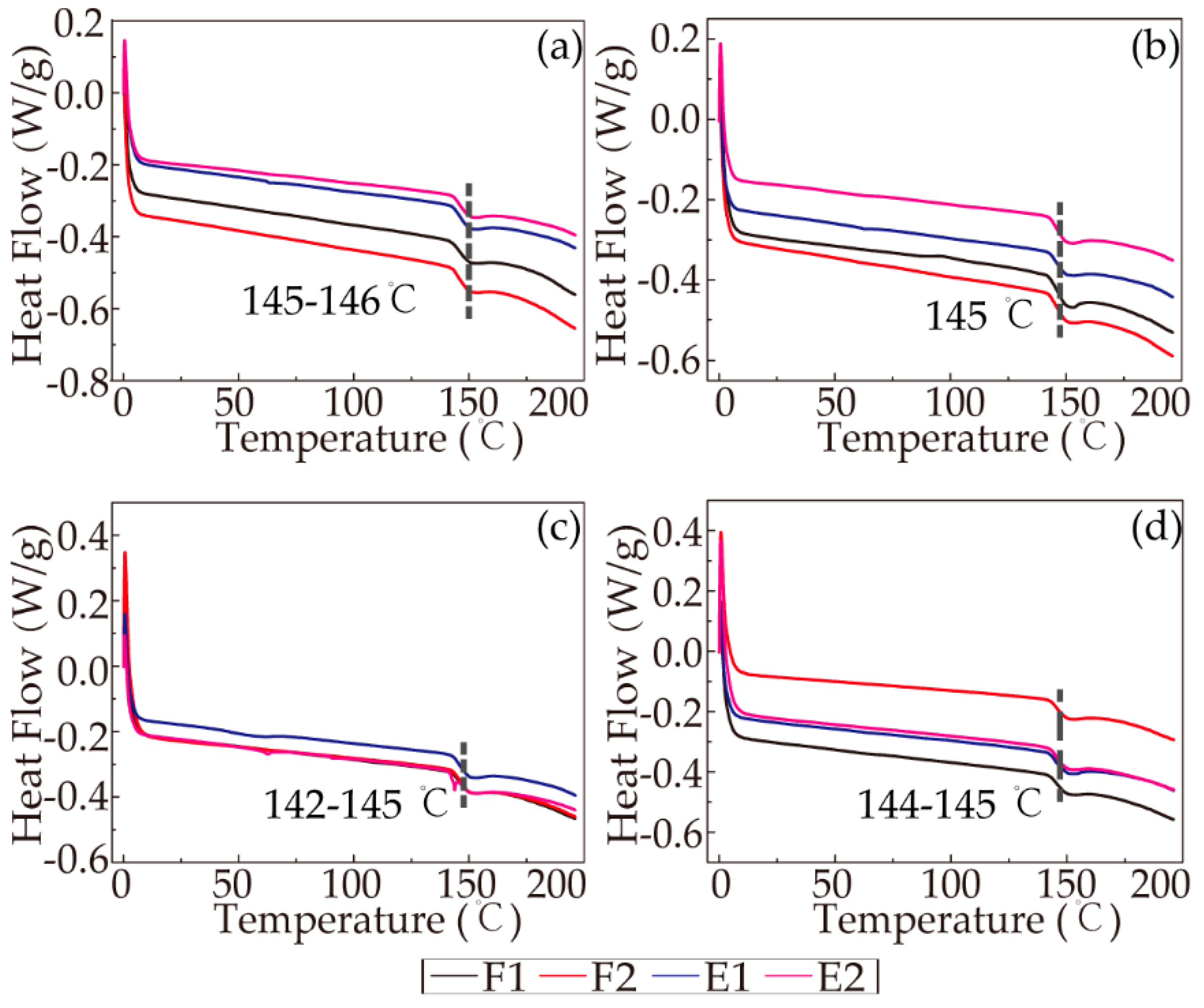
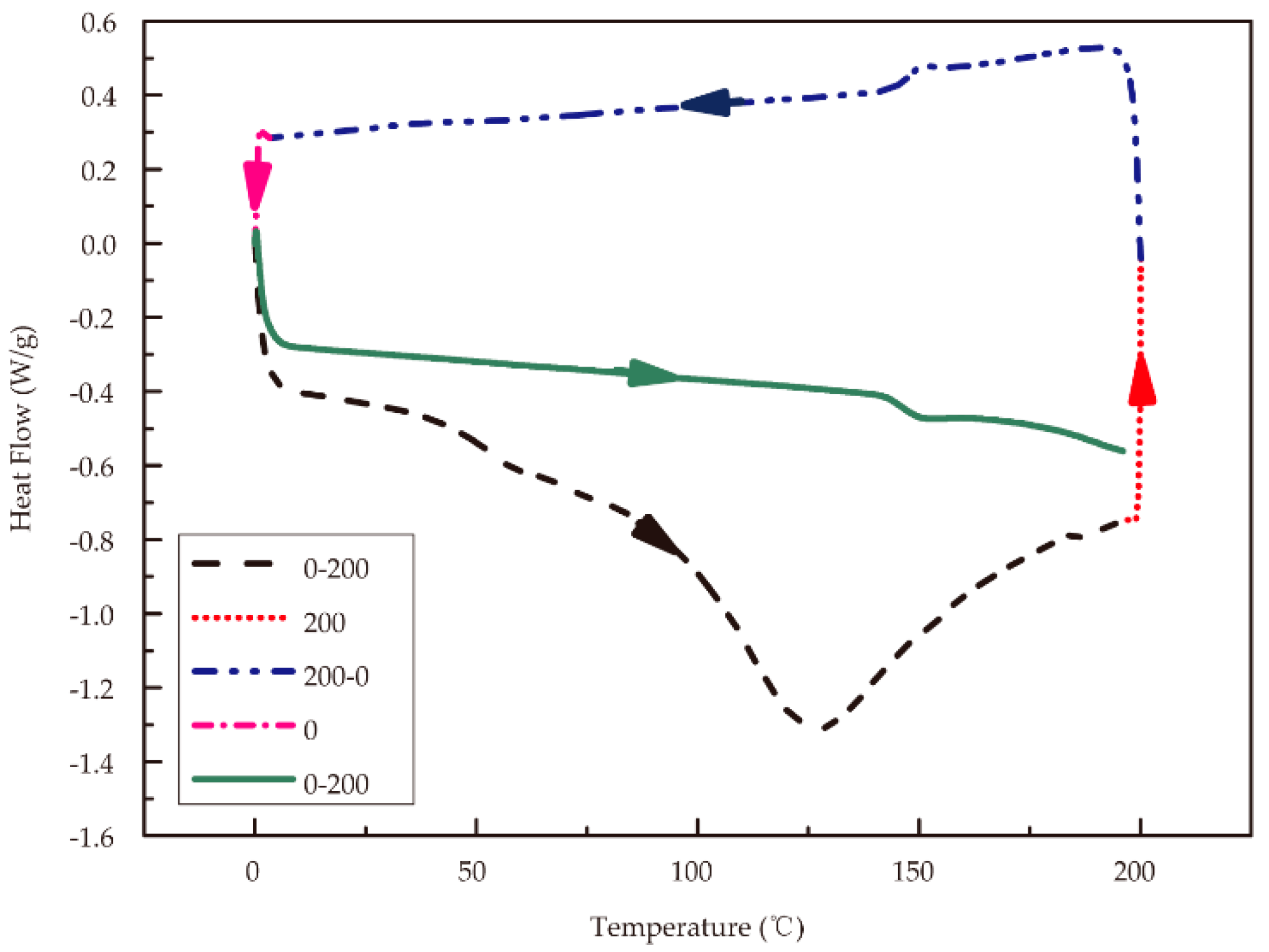
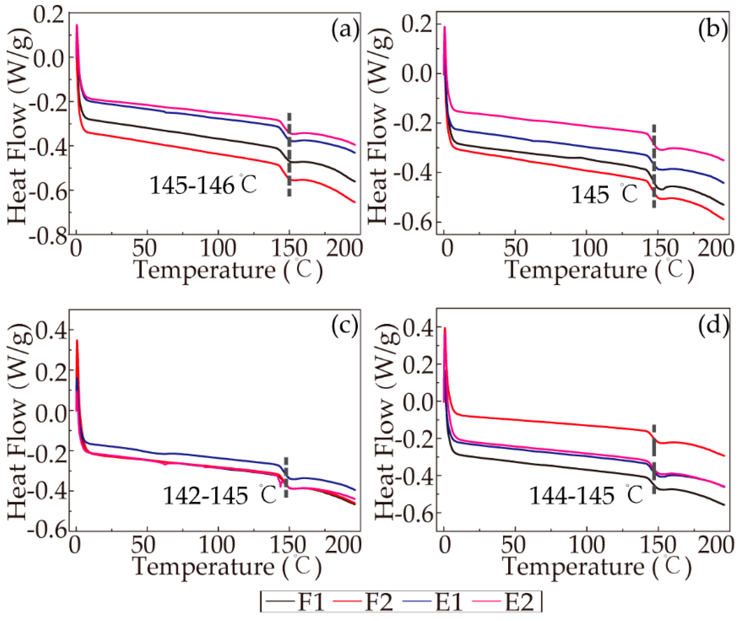
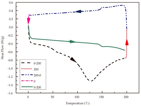
4.4.2. Differential Scanning Calorimetry (DSC)
4.5. Morphology of the Coagulated Samples
5. Conclusions
Author Contributions
Funding
Conflicts of Interest
References
- Jin, H.J.; Park, J.; Karageorgiou, V.; Kim, U.J.; Valluzzi, R.; Cebe, P.; Kaplan, D.L. Water-Stable Silk Films with Reduced β-Sheet Content. Adv. Funct. Mater. 2005, 15, 1241–1247. [Google Scholar] [CrossRef]
- Bhardwaj, N.; Kundu, S.C. Electrospinning: A fascinating fiber fabrication technique. Biotechnol. Adv. 2010, 28, 325–347. [Google Scholar] [CrossRef] [PubMed]
- Dhasmana, A.; Singh, L.; Roy, P.; Mishra, N.C. Silk fibroin protein modified acellular dermal matrix for tissue repairing and regeneration. Mater. Sci. Eng. C Mater. Biol. Appl. 2019, 97, 313–324. [Google Scholar] [CrossRef]
- Shi, Y.; Li, Z.; Shi, J.; Zhang, F.; Zhou, X.; Li, Y.; Holmes, M.; Zhang, W.; Zou, X. Titanium dioxide-polyaniline/silk fibroin microfiber sensor for pork freshness evaluation. Sens. Actuators B 2018, 260, 465–474. [Google Scholar] [CrossRef]
- Jao, D.; Xue, Y.; Medina, J.; Hu, X. Protein-Based Drug-Delivery Materials. Materials 2017, 10, 517. [Google Scholar] [CrossRef] [PubMed]
- Bhardwaj, N.; Singh, Y.P.; Devi, D.; Kandimalla, R.; Kotoky, J.; Mandal, B.B. Potential of silk fibroin/chondrocyte constructs of muga silkworm Antheraea assamensis for cartilage tissue engineering. J. Mater. Chem. B 2016, 4, 3670–3684. [Google Scholar] [CrossRef]
- Yu, S.; Yang, W.; Chen, S.; Chen, M.; Liu, Y.; Shao, Z.; Chen, X. Floxuridine-loaded silk fibroin nanospheres. RSC Adv. 2014, 4, 18171–18177. [Google Scholar] [CrossRef]
- Hu, X.; Wang, X.; Rnjak, J.; Weiss, A.S.; Kaplan, D.L. Biomaterials derived from silk-tropoelastin protein systems. Biomaterials 2010, 31, 8121–8131. [Google Scholar] [CrossRef]
- Hu, X.; Shmelev, K.; Sun, L.; Gil, E.S.; Park, S.H.; Cebe, P.; Kaplan, D.L. Regulation of silk material structure by temperature-controlled water vapor annealing. Biomacromolecules 2011, 12, 1686–1696. [Google Scholar] [CrossRef]
- Vepari, C.; Kaplan, D.L. Silk as a Biomaterial. Prog. Polym. Sci. 2007, 32, 991–1007. [Google Scholar] [CrossRef]
- Perez-Rigueiro, J.; Madurga, R.; Ganan-Calvo, A.M.; Elices, M.; Guinea, G.V.; Tasei, Y.; Nishimura, A.; Matsuda, H.; Asakura, T. Emergence of supercontraction in regenerated silkworm (Bombyx mori) silk fibers. Sci. Rep. 2019, 9, 2398. [Google Scholar] [CrossRef] [PubMed]
- Wojcieszak, M.; Percot, A.; Colomban, P. Regenerated silk matrix composite materials reinforced by silk fibres: Relationship between processing and mechanical properties. J. Compos. Mater. 2017, 52, 2301–2311. [Google Scholar] [CrossRef]
- Ks, S.; Si, I.; Nr, M. Regularities in Variation of Support Functions of Physically Nonlinear Elastic-Visco-Plastic Law of Strain of Cotton Yarn. J. Fash. Technol. Text. Eng. 2018, 6. [Google Scholar] [CrossRef]
- Zhou, Y.; Tang, R.C. Natural Flavonoid-Functionalized Silk Fiber Presenting Antibacterial, Antioxidant, and UV Protection Performance. ACS Sustain. Chem. Eng. 2017, 5, 10518–10526. [Google Scholar] [CrossRef]
- Drummy, L.F.; Phillips, D.M.; Stone, M.O.; Farmer, B.L.; Naik, R.R. Thermally Induced alpha-Helix to beta-Sheet Transition in Regenerated Silk Fibers and Films. Biomacromolecules 2005, 6, 3328–3333. [Google Scholar] [CrossRef] [PubMed]
- Marie Eve, R.; Lilyane, B.; Thierry, L.; Joanie, P.; Tetsuo, A.; Michel, P. Characterization by Raman microspectroscopy of the strain-induced conformational transition in fibroin fibers from the silkworm Samia cynthia ricini. Biomacromolecules 2006, 7, 2512–2521. [Google Scholar] [CrossRef]
- David, E. The discovery of the alpha-helix and beta-sheet, the principal structural features of proteins. Proc. Natl. Acad. Sci. USA 2003, 100, 11207–11210. [Google Scholar] [CrossRef]
- Shimizu, M. Eine röntgenographische Untersuchung des Sericins. Bull. Sericult. Exp. Stn. 1941, 10, 441–474. [Google Scholar]
- Lotz, B.; Brack, A.; Spach, G. β Structure of periodic copolypeptides of l-alanine and glycine: Their relevance to the structure of silks. J. Mol. Biol. 1974, 87, 193–203. [Google Scholar] [CrossRef]
- Kratky, O.; Schauenstein, E.; Sekora, A. An Unstable Lattice in Silk Fibroin. Nature 1950, 165, 319–320. [Google Scholar] [CrossRef]
- He, S.J.; Valluzzi, R.; Gido, S.P. Silk I structure in Bombyx mori silk foams. Int. J. Biol. Macromol. 1999, 24, 187–195. [Google Scholar] [CrossRef]
- Asakura, T.; Ashida, J.; Yamane, T.; Kameda, T.; Nakazawa, Y.; Ohgo, K.; Komatsu, K. A repeated beta-turn structure in poly(Ala-Gly) as a model for silk I of Bombyx mori silk fibroin studied with two-dimensional spin-diffusion NMR under off magic angle spinning and rotational echo double resonance. J. Mol. Biol. 2001, 306, 291–305. [Google Scholar] [CrossRef] [PubMed]
- Zhang, X.; Wyeth, P. Using FTIR spectroscopy to detect sericin on historic silk. Sci. China Chem. 2010, 53, 626–631. [Google Scholar] [CrossRef]
- Sionkowska, A.; Planecka, A. The influence of UV radiation on silk fibroin. Polym. Degrad. Stab. 2011, 96, 523–528. [Google Scholar] [CrossRef]
- Arai, T.; Freddi, G.; Innocenti, R.; Tsukada, M. Biodegradation of Bombyx mori silk fibroin fibers and films. J. Appl. Polym. Sci. 2010, 91, 2383–2390. [Google Scholar] [CrossRef]
- Li, D.; Hong, Z.; Gang, M. Secondary structure investigation of bovine serum albumin (BSA) by Fourier transform infrared (FTIR) spectroscopy in the amide III region. Eur. J. Chem. 2014, 5, 287–290. [Google Scholar] [CrossRef]
- Cui, F.Z.; Lin, Y.B.; Zhang, D.M.; Tian, M.B. Irradiation effects on secondary structure of protein induced by keV ions. Radiat. Phys. Chem. 2001, 60, 35–38. [Google Scholar] [CrossRef]
- Susi, H.; Byler, D.M. Protein structure by Fourier transform infrared spectroscopy: second derivative spectra. Biochem. Biophys. Res. Commun. 1983, 115, 391–397. [Google Scholar] [CrossRef]
- Santos, M.V.; Pecoraro, É.; Santagneli, S.H.; Moura, A.L.; Cavicchioli, M.; Jerez, V.; Rocha, L.A.; de Oliveira, L.F.C.; Gomes, A.S.L.; de Araújo, C.B.; et al. Silk fibroin as a biotemplate for hierarchical porous silica monoliths for random laser applications. J. Mater. Chem. C 2018, 6, 2712–2723. [Google Scholar] [CrossRef]
- Wu, X.; Wu, X.; Shao, M.; Yang, B. Structural changes of Bombyx mori fibroin from silk gland to fiber as evidenced by Terahertz spectroscopy and other methods. Int. J. Biol. Macromol. 2017, 102, 1202–1210. [Google Scholar] [CrossRef]
- Riekel, C.; Müller, M. In Situ X-ray Diffraction during Forced Silking of Spider Silk. Macromolecules 1999, 32, 4464–4466. [Google Scholar] [CrossRef]
- Sinsawat, A.; Putthanarat, S.; Magoshi, Y.; Pachter, R.; Eby, R.K. X-ray diffraction and computational studies of the modulus of silk ( Bombyx mori). Polymer 2002, 43, 1323–1330. [Google Scholar] [CrossRef]
- Song, R.; Ino, H.; Kimura, T. Mechanical Property of Silk/Bamboo Composite Paper for Effective Utilization of Waste Silk. J. Text. Eng. 2009, 55, 85–90. [Google Scholar] [CrossRef]
- Song, R.; Kimura, T.; Ino, H. Papermaking from Waste Silk and Its Application as Reinforcement of Green Composite. J. Text. Eng. 2010, 56, 71–76. [Google Scholar] [CrossRef]
- Song, R.; Kimura, T. Effect of PVA Binder on the Mechanical Properties of Silk/Bamboo Paper-Reinforced PBS Green Composite. Fiber 2012, 68, 172–177. [Google Scholar] [CrossRef][Green Version]
- Rajkumar, G.; Srinivasan, J.; Suvitha, L. Development of novel silk/wool hybrid fibre polypropylene composites. Iran. Polym. J. 2013, 22, 277–284. [Google Scholar] [CrossRef]
- Nogueira, G.M.; Rodas, A.C.D.; Leite, C.A.P.; Carlos, G.; Higa, O.Z.; Bronislaw, P.; Beppu, M.M. Preparation and characterization of ethanol-treated silk fibroin dense membranes for biomaterials application using waste silk fibers as raw material. Bioresour. Technol. 2010, 101, 8446–8451. [Google Scholar] [CrossRef]
- Gaviria, A.; Sanchezdiaz, S.; Ríos, A.; Peresin, M.S.; Restrepoosorio, A. Silk fibroin from silk fibrous waste: characterization and electrospinning. IOP Conf. Ser. Mater. Sci. Eng. 2017, 254, 102005. [Google Scholar] [CrossRef]
- Yao, Y.; Mukuze, K.S.; Zhang, Y.; Wang, H. Rheological behavior of cellulose/silk fibroin blend solutions with ionic liquid as solvent. Cellulose 2013, 21, 675–684. [Google Scholar] [CrossRef]
- Xiao, H.; Kaplan, D.; Cebe, P. Determining Beta Sheet Crystallinity in Fibrous Proteins by Thermal Analysis and Infrared Spectroscopy. Macromolecules 2006, 39, 6161–6170. [Google Scholar] [CrossRef]
- Tretinnikov, O.N. Influence of Casting Temperature on the Near-Surface Structure and Wettability of Cast Silk Fibroin Films. Langmuir 2001, 17, 7406–7413. [Google Scholar] [CrossRef]
- Arrondo, J.L.; Muga, A.; Castresana, J.; Goñi, F.M. Quantitative studies of the structure of proteins in solution by Fourier-transform infrared spectroscopy. Prog. Biophys. Mol. Biol. 1993, 59, 23–56. [Google Scholar] [CrossRef]
- Krimm, S.; Bandekar, J. Vibrational Spectroscopy and Conformation of Peptides, Polypeptides, and Proteins. Adv. Protein Chem. 1986, 38, 181–364. [Google Scholar] [CrossRef] [PubMed]
- Lu, Q.; Zhang, B.; Li, M.; Zuo, B.; Kaplan, D.L.; Huang, Y.; Zhu, H. Degradation mechanism and control of silk fibroin. Biomacromolecules 2011, 12, 1080–1086. [Google Scholar] [CrossRef] [PubMed]
- Reinstadler, D.; Backmann, F.I.; Naumann, D. Refolding of Thermally and Urea-Denatured Ribonuclease’ A Monitored by Time-Resolved FTIR Spectroscopy. Biochemistry 1996, 35, 15822–15830. [Google Scholar] [CrossRef] [PubMed]
- Boulet-Audet, M.; Vollrath, F.; Holland, C. Rheo-attenuated total reflectance infrared spectroscopy: A new tool to study biopolymers. Phys. Chem. Chem. Phys. 2011, 13, 3979–3984. [Google Scholar] [CrossRef] [PubMed]
- Minoura, N.; Aiba, S.; Higuchi, M.; Gotoh, Y.; Tsukada, M.; Imai, Y. Attachment and growth of fibroblast cells on silk fibroin. Biochem. Biophys. Res. Commun. 1995, 208, 511–516. [Google Scholar] [CrossRef] [PubMed]










| Sample Code 1 | Concentration/wt% | Stage | Sample Code 1 | Concentration/wt% | Stage |
|---|---|---|---|---|---|
| 19-F1 | 19 | (1) | 25-F1 | 25 | (1) |
| 19-F2 | 19 | (2) | 25-F2 | 25 | (2) |
| 19-E1 | 19 | (3) | 25-E1 | 25 | (3) |
| 19-E2 | 19 | (4) | 25-E2 | 25 | (4) |
| 22-F1 | 22 | (1) | 28-F1 | 28 | (1) |
| 22-F2 | 22 | (2) | 28-F2 | 28 | (2) |
| 22-E1 | 22 | (3) | 28-E1 | 28 | (3) |
| 22-E2 | 22 | (4) | 28-E2 | 28 | (4) |
| Fibroin Conformation | Amide I /cm−1 | Amide II /cm−1 | Amide III /cm−1 |
|---|---|---|---|
| β-sheet | 1622–1637 | 1515–1525 | 1265 |
| α-helix | 1656–1662 | 1545 | 1240 |
| Random coil | 1638–1655 | 1535–1545 | 1235 |
© 2019 by the authors. Licensee MDPI, Basel, Switzerland. This article is an open access article distributed under the terms and conditions of the Creative Commons Attribution (CC BY) license (http://creativecommons.org/licenses/by/4.0/).
Share and Cite
Zhang, X.; Pan, Z. Microstructure Transitions and Dry-Wet Spinnability of Silk Fibroin Protein from Waste Silk Quilt. Polymers 2019, 11, 1622. https://doi.org/10.3390/polym11101622
Zhang X, Pan Z. Microstructure Transitions and Dry-Wet Spinnability of Silk Fibroin Protein from Waste Silk Quilt. Polymers. 2019; 11(10):1622. https://doi.org/10.3390/polym11101622
Chicago/Turabian StyleZhang, Xin, and Zhijuan Pan. 2019. "Microstructure Transitions and Dry-Wet Spinnability of Silk Fibroin Protein from Waste Silk Quilt" Polymers 11, no. 10: 1622. https://doi.org/10.3390/polym11101622
APA StyleZhang, X., & Pan, Z. (2019). Microstructure Transitions and Dry-Wet Spinnability of Silk Fibroin Protein from Waste Silk Quilt. Polymers, 11(10), 1622. https://doi.org/10.3390/polym11101622
