Criticality of the Self-Heating Effect in Polymers and Polymer Matrix Composites during Fatigue, and Their Application in Non-Destructive Testing
Abstract
1. Introduction
2. Literature Review on the Self-Heating Effect
2.1. Self-Heating Effect—Historical Overview of the Research Studies
2.2. Practical Problems Related to the Self-Heating Effect
3. Criticality of the Self-Heating Effect
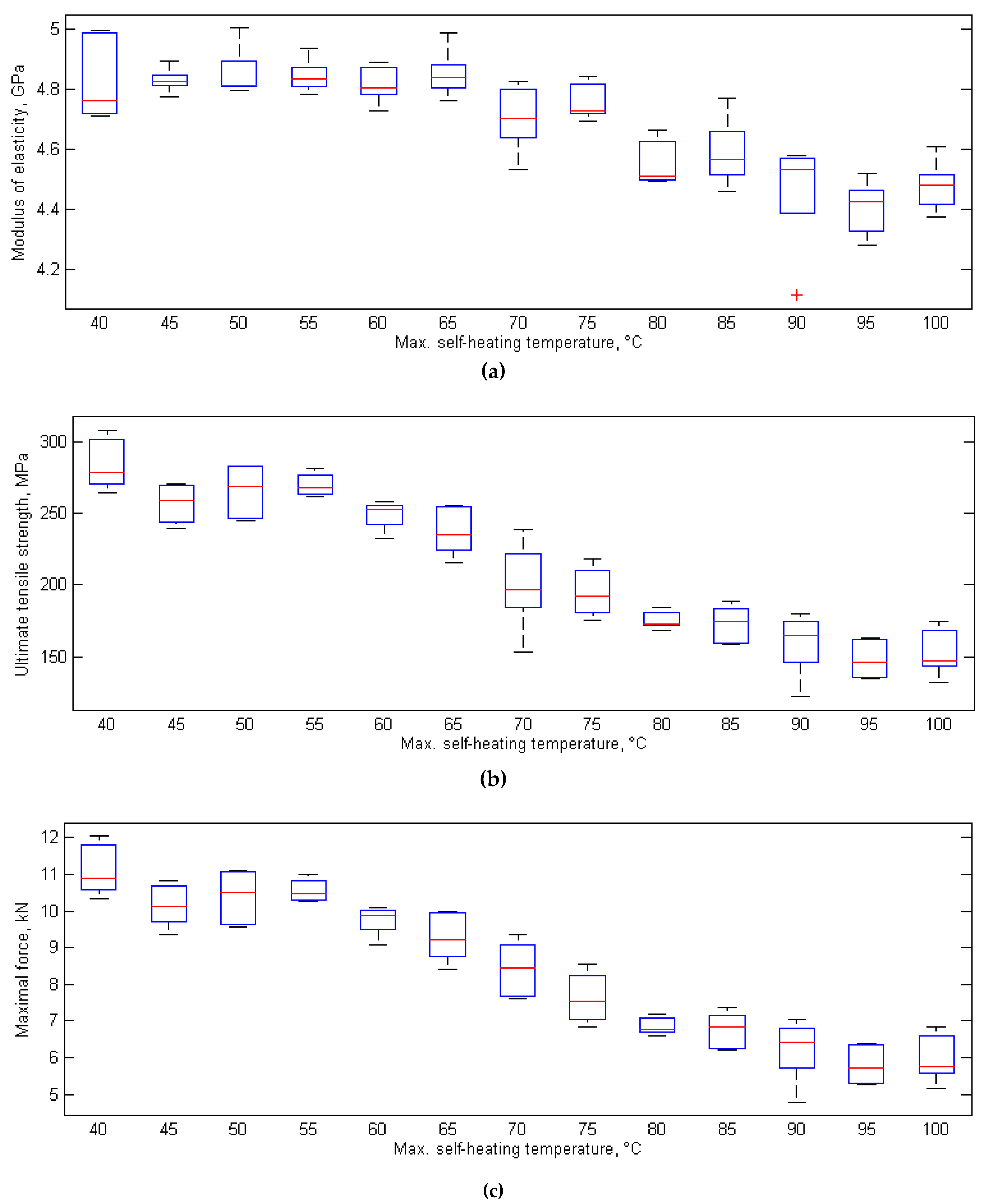
3.1. Determination of Critical Self-Heating Temperature
3.2. Evaluation of the Safe Self-Heating Temperature Range
4. Self-Heating-Based Vibrothermography
5. Conclusions
Funding
Acknowledgments
Conflicts of Interest
References
- Steinberger, R.; Valadas Leitão, T.I.; Landstätter, E.; Pinter, G.; Billinger, W.; Lang, R.W. Infrared thermographic techniques for non-destructive damage characterization of carbon fibre reinforced polymers during tensile fatigue testing. Int. J. Fatigue 2006, 1340–1347. [Google Scholar] [CrossRef]
- Chen, K.; Kang, G.; Lu, F.; Chen, J.; Jiang, H. Effect of relative humidity on uniaxial cyclic softening/hardening and intrinsic heat generation of polyamide-6 polymer. Polym. Test. 2016, 56, 19–28. [Google Scholar] [CrossRef]
- Shrestha, R.; Simsiriwong, J.; Shamsaei, N.; Moser, R.D. Cyclic deformation and fatigue behavior of polyether ether ketone (PEEK). Int. J. Fatigue 2016, 82, 411–427. [Google Scholar] [CrossRef]
- Shojaei, A.K.; Volgers, P. Fatigue damage assessment of unfilled polymers including self-heating effects. Int. J. Fatigue 2017, 100, 367–376. [Google Scholar] [CrossRef]
- Tong, X.; Chen, X.; Xu, J.; Zheng, Y.; Zhi, S. The heat build-up of a polymer matrix composite under cyclic loading: Experimental assessment and numerical simulation. Int. J. Fatigue 2018, 116, 323–333. [Google Scholar] [CrossRef]
- Katunin, A.; Fidali, M. Fatigue and thermal failure of polymeric composites subjected to cyclic loading. Adv. Compos. Lett. 2012, 21, 64–69. [Google Scholar]
- Rittel, D. On the conversion of plastic work to heat during high strain rate deformation of glassy polymers. Mech. Mater. 1999, 31, 131–139. [Google Scholar] [CrossRef]
- Moissa, S.; Landsberg, G.; Rittel, D.; Halary, J.L. Hysteretic thermal behavior of amorphous semi-aromatic polyamides. Polymer 2005, 45, 11870–11875. [Google Scholar] [CrossRef]
- Mortazavian, S.; Fatemi, A. Fatigue behavior and modeling of short fiber reinforced polymer composites: A literature review. Int. J. Fatigue 2015, 70, 297–321. [Google Scholar] [CrossRef]
- Haward, R.N. Heating effects in the deformation of thermoplastics. Thermochim. Acta 1994, 247, 87–109. [Google Scholar] [CrossRef]
- Hashemi, M.; Zhuk, Y. The influence of strain amplitude, temperature and frequency on complex shear moduli of polymer materials under kinematic harmonic loading. Mech. Mech. Eng. 2017, 21, 157–170. [Google Scholar]
- Mehdizadeh, M.; Khonsari, M.M. On the application of fracture fatigue entropy to variable frequency andloading amplitude. Theor. Appl. Fract. Mech. 2018, 98, 30–37. [Google Scholar] [CrossRef]
- Krairi, A.; Doghri, I. A thermodynamically-based constitutive model for thermoplastic polymers coupling viscoelasticity, viscoplasticity and ductile damage. Int. J. Plast. 2014, 60, 163–181. [Google Scholar] [CrossRef]
- Mortazavian, S.; Fatemi, A. Fatigue of short fiber thermoplastic composites: A review of recent experimental results and analysis. Int. J. Fatigue 2017, 102, 171–183. [Google Scholar] [CrossRef]
- Rittel, D. An investigation of the heat generated during cyclic loading of two glassy polymers. Part I: Experimental. Mech. Mater. 2000, 32, 131–147. [Google Scholar] [CrossRef]
- Senchenkov, I.K.; Zhuk, Y.A.; Karnaukhov, V.G. Modeling the thermomechanical behavior of physically nonlinear materials under monoharmonic loading. Int. Appl. Mech. 2004, 40, 943–969. [Google Scholar] [CrossRef]
- Katunin, A.; Gnatowski, A. Influence of heating rate on evolution of dynamic properties of polymeric laminates. Plast. Rubber Compos. 2012, 41, 233–239. [Google Scholar] [CrossRef]
- He, Y. Thermomechanical and viscoelastic behavior of a no-flow underfill material for flip-chip applications. Thermochim. Acta 2005, 439, 127–134. [Google Scholar] [CrossRef]
- Goertzen, W.K.; Kessler, M.R. Creep behavior of carbon fiber/epoxy matrix composites. Mat. Sci Eng. A Struct. 2006, 421, 217–225. [Google Scholar] [CrossRef]
- Maurel-Pantel, A.; Baquet, E.; Bikard, J.; Bouvard, J.L.; Billon, N. A thermo-mechanical large deformation constitutive model for polymers based on material network description: Application to a semi-crystalline polyamide 66. Int. J. Plast. 2015, 67, 102–126. [Google Scholar] [CrossRef]
- Shou, Z.; Chen, F.; Yin, H. Self-heating of a polymeric particulate composite under mechanical excitations. Mech. Mater. 2018, 117, 116–125. [Google Scholar] [CrossRef]
- Katunin, A. Analytical model of the self-heating effect in polymeric laminated rectangular plates during bending harmonic loading. Ekspl. Niezawodn. 2010, 48, 91–101. [Google Scholar]
- Herzberg, R.W.; Manson, J.A. Fatigue of Engineering Plastics; Academic Press: New York, NY, USA, 1980; ISBN 0123435501. [Google Scholar]
- Magi, F.; Di Maio, D.; Sever, I. Damage initiation and structural degradation through resonance vibration: Application to composite laminates in fatigue. Compos. Sci. Technol. 2016, 132, 47–56. [Google Scholar] [CrossRef]
- Zanjani, J.S.M.; Okan, B.S.; Pappas, P.-N.; Galiotis, C.; Menceloglu, Y.Z.; Yildiz, M. Tailoring viscoelastic response, self-heating and deicing properties of carbon-fiber reinforced epoxy composites by graphene modification. Compos. Part A 2018, 106, 1–10. [Google Scholar] [CrossRef]
- Naderi, M.; Khonsari, M.M. On the role of damage energy in the fatigue degradation characterization of a composite laminate. Compos. Part B 2013, 45, 528–537. [Google Scholar] [CrossRef]
- Rodas, C.O.; Zaïri, F.; Naït-Abdelaziz, M. A finite strain thermo-viscoelastic constitutive model to describe the self-heating in elastomeric materials during low-cycle fatigue. J. Mech. Phys. Solids 2014, 64, 396–410. [Google Scholar] [CrossRef]
- Guo, Q.; Zaïri, F.; Guo, X. A thermo-viscoelastic-damage constitutive model for cyclically loaded rubbers. Part I: Model formulation and numerical examples. Int. J. Plast. 2018, 101, 106–124. [Google Scholar] [CrossRef]
- Sassi, S.; Tarfaoui, M.; Yahia, H.B. In-situ heat dissipation monitoring in adhesively bonded composite joints under dynamic compression loading using SHPB. Compos. Part B 2018, 154, 64–76. [Google Scholar] [CrossRef]
- Lesser, A.J. Changes in mechanical behavior during fatigue of semicrystalline thermoplastics. J. Appl. Polym. Sci. 1995, 58, 869–879. [Google Scholar] [CrossRef]
- Renshaw, J.; Chen, J.C.; Holland, S.D.; Thompson, R.B. The sources of heat generation in vibrothermography. NDT&E Int. 2011, 44, 736–739. [Google Scholar] [CrossRef]
- Katunin, A. Domination of self-heating effect during fatigue of polymeric composites. Proc. Struct. Integr. 2017, 5, 93–98. [Google Scholar] [CrossRef]
- Ratner, S.B.; Korobov, V.I.; Agamalyan, S.G. Mechanical and thermal fracture of plastics under cyclic strains. S. G. Mater. Sci. 1972, 5, 66–70. [Google Scholar] [CrossRef]
- Meneghetti, G.; Quaresimin, M. Fatigue strength assessment of a short fiber composite based on the specific heat dissipation. Compos. Part B 2011, 42, 217–225. [Google Scholar] [CrossRef]
- Montesano, J.; Fawaz, Z.; Bougherara, H. Use of infrared thermography to investigate the fatigue behavior of a carbon fiber reinforced polymer composite. Compos. Struct. 2013, 97, 76–83. [Google Scholar] [CrossRef]
- Katunin, A.; Wachla, D. Determination of fatigue limit of polymeric composites in fully reversed bending loading mode using self-heating effect. J. Compos. Mater. 2019, 53, 83–91. [Google Scholar] [CrossRef]
- Hristov, H.A.; Yee, A.F.; Gidley, D.W. Fatigue craze initiation in polycarbonate: Study by transmission electron microscopy. Polymer 1994, 3604–3611. [Google Scholar] [CrossRef]
- Liu, Z.Y.; Beniwal, S.; Jenkins, C.H.M.; Winter, R.M. The coupled thermal and mechanical influence on a glassy thermoplastic polyamide: Nylon 6,6 under vibro-creep. Mech. Time-Depend. Mater. 2004, 8, 235–253. [Google Scholar] [CrossRef]
- Katunin, A.; Wronkowicz, A.; Bilewicz, M. Evaluation of critical self-heating temperature of composite structures based on analysis of microcrack development. Compos. Theor. Pract. 2017, 17, 9–13. [Google Scholar]
- Karnaukhov, V.G.; Yakovlev, G.A.; Goncharov, L.P. Self-heating of viscoelastic materials under cyclic loads. Strength Mater. 1975, 7, 164–168. [Google Scholar] [CrossRef]
- Rittel, D.; Eliash, N.; Halary, J.L. Hysteretic heating of modified poly(methylmethacrylate). Polymer 2003, 44, 2817–2822. [Google Scholar] [CrossRef]
- Katunin, A. Critical self-heating temperature during fatigue of polymeric composites under cyclic loading. Compos. Theor. Pract. 2012, 12, 72–76. [Google Scholar]
- Katunin, A. Thermal fatigue of polymeric composites under repeated loading. J. Reinf. Plast. Compos. 2012, 31, 1037–1044. [Google Scholar] [CrossRef]
- Ratner, S.B.; Korobov, V.I. Self-heating of plastics during cyclic deformation. Polym. Mech. 1965, 1, 63–68. [Google Scholar] [CrossRef]
- Oldyrev, P.P. Determination of the fatigue life of plastics from the self-heating temperature. Polym. Mech. 1967, 3, 78–81. [Google Scholar] [CrossRef]
- Oldyrev, P.P. Self-heating and failure of plastics under cyclic loading. Polym. Mech. 1967, 3, 322–328. [Google Scholar] [CrossRef]
- Pegoretti, A.; Riccò, T. Fatigue crack propagation in polypropylene reinforced with short glass fibres. Compos. Sci. Technol. 1999, 1055–1062. [Google Scholar] [CrossRef]
- Naderi, M.; Khonsari, M.M. A thermodynamic approach to fatigue damage accumulation under variable loading. Mater. Sci. Eng. A 2010, 527, 6133–6139. [Google Scholar] [CrossRef]
- Timmaraju, M.V.; Gnanamoorthy, R.; Kannan, K. Effect of environment on flexural fatigue behavior of polyamide 66/hectorite nanocomposites. Int. J. Fatigue 2011, 33, 541–548. [Google Scholar] [CrossRef]
- Kahirdeh, A.; Naderi, M.; Khonsari, M.M. On the role of cooling on fatigue failure of a woven glass/epoxy laminate. J. Compos. Mater. 2012, 47, 1803–1815. [Google Scholar] [CrossRef]
- Naderi, M.; Kahirdeh, A.; Khonsari, M.M. Dissipated thermal energy and damage evolution of Glass/Epoxy using infrared thermography and acoustic emission. Compos. Part B 2012, 43, 1613–1620. [Google Scholar] [CrossRef]
- Guo, Q.; Guo, X.; Fan, J.; Syed, R.; Wu, C. An energy method for rapid evaluation of high-cycle fatigue parameters based on intrinsic dissipation. Int. J. Fatigue 2015, 80, 136–144. [Google Scholar] [CrossRef]
- Blatz, P.J.; Knauss, W.G.; Schapery, R.A.; Stimpson, L.D.; Williams, M.L. Fundamental Studies Relating to Systems Analysis of Solid Propellants; Progress Report 5—GALCIT 101; Guggenheim Aeronautical Laboratory, California Institute of Technology: Pasadena, CA, USA, 1960. [Google Scholar]
- Tormey, J.F.; Britton, S.C. Effect of cyclic loading on solid propellant grain structures. AIAA J. 1963, 1, 1763–1770. [Google Scholar] [CrossRef]
- Knauss, W.G. Time-dependent failure of viscoelastic materials under cyclic loads. In Interagency Chemical Rocket Propulsion Group, Mechanical Behavior Working Group 5th Meeting; Chemical Propulsion Information Agency: Silver Spring, MD, USA, 1966; pp. 597–614. [Google Scholar]
- Schapery, R.A. Effect of cyclic loading on the temperature in viscoelastic media with variable properties. AIAA J. 1964, 2, 827–835. [Google Scholar] [CrossRef]
- Cantey, D.E.; Schapery, R.A. Thermomechanical response studies of solid propellants subjected to cyclic and random loading. AIAA J. 1966, 4, 255–264. [Google Scholar] [CrossRef]
- Ratner, S.B.; Stinskas, A.V. Effect of stress on the equilibrium self-heating temperature of plastics in cyclic loading. Polym. Mech. 1967, 3, 123–125. [Google Scholar] [CrossRef]
- Kovalenko, A.D.; Karnaukhov, V.G. On heat generation in viscoelastic bodies under periodic action. Sov. Appl. Mech. 1969, 5, 129–134. [Google Scholar] [CrossRef]
- Savkin, V.G.; Belyi, V.A.; Sogolova, T.I.; Kargin, V.A. Effect of supermolecular structures on the self-heating of plastics under cyclic loads. Polym. Mech. 1966, 2, 501–505. [Google Scholar] [CrossRef]
- Tamuzh, V.P. Behavior of rigid plastics under cyclic loading. Polym. Mech. 1969, 5, 79–87. [Google Scholar] [CrossRef]
- Regel’, V.R.; Leskovskii, A.M. Polymer fatigue from the standpoint of the kinetic theory of fracture. Polym. Mech. 1969, 5, 58–78. [Google Scholar] [CrossRef]
- Tauchert, T.R. Heat generation in a viscoelastic solid. Acta Mech. 1967, 3, 385–396. [Google Scholar] [CrossRef]
- Tauchert, T.R. Transient temperature distributions in viscoelastic solids subject to cyclic deformations. Acta Mech. 1968, 6, 239–252. [Google Scholar] [CrossRef]
- Grinchenko, V.T.; Karnaukhov, V.G.; Senchankov, I.K. Stress-strain state and heatup of a viscoelastic cylinder with constraints at the ends. Sov. Appl. Mech. 1975, 11, 365–372. [Google Scholar] [CrossRef]
- Karnaukhov, V.G.; Kirichok, I.F. Thermomechanical behavior of viscoelastic solids with temperature-independent properties subject to cyclic loadings. Strength Mater. 1975, 7, 666–673. [Google Scholar] [CrossRef]
- Poturaev, V.N.; Dyrda, V.I.; Karnaukhov, V.G.; Maznetsova, A.V.; Senchankov, I.K. Vibrational heating of rectangular viscoelastic prisms under cyclic shear. Sov. Appl. Mech. 1976, 12, 1136–1140. [Google Scholar] [CrossRef]
- Gorelik, B.M.; Goncharov, L.P.; Karnaukhov, V.G.; Senchenkov, I.K.; Yakovlev, G.A. Experimental and theoretical investigation of heat evolution in a short viscoelastic cylinder in cyclic compression. Strength Mater. 1977, 9, 68–71. [Google Scholar] [CrossRef]
- Kirichok, I.F.; Karnaukhov, V.G. Thermomechanical behavior of flexible viscoelastic plates and shells during cyclic loading. Strength Mater. 1979, 11, 232–238. [Google Scholar] [CrossRef]
- Gumenyuk, B.P.; Karnaukhov, V.G. Dynamic behavior of viscoelastic bodies during harmonic excitation. Sov. Appl. Mech. 1980, 16, 623–628. [Google Scholar] [CrossRef]
- Kucher, N.K.; Karnaukhov, V.G. Thermomechanical behavior of a viscoelastic prism subjected to cyclic loading. Strength Mater. 1981, 13, 1007–1011. [Google Scholar] [CrossRef]
- Karnaukhov, V.G. Modeling the oscillations and dissipative heating of inelastic bodies. Int. Appl. Mech. 1993, 29, 823–828. [Google Scholar] [CrossRef]
- Karnaukhov, V.G. Electrothermoviscoelasticity; Naukova Dumka: Kiev, Russia, 1988. (In Russian) [Google Scholar]
- Kirichok, I.F.; Karnaukhov, M.V. Single-frequency vibrations and vibrational heating of a piezoelectric circular sandwich plate under monoharmonic electromechanical loading. Int. Appl. Mech. 2008, 44, 65–72. [Google Scholar] [CrossRef]
- Kirichok, I.F.; Karnaukhova, T.V. Forced axisymmetric vibrations and self-heating of thermoviscoelastic cylindrical shells with piezoelectric actuators. Int. Appl. Mech. 2011, 46, 1132–1138. [Google Scholar] [CrossRef]
- Karnaukhov, V.G.; Kozlov, V.I.; Zavgorodnii, A.V.; Umrykhin, I.N. Forced resonant vibrations and self-heating of solids of revolution made of a viscoelastic piezoelectric material. Int. Appl. Mech. 2015, 51, 614–622. [Google Scholar] [CrossRef]
- Kirichok, I.F.; Chernyushok, O.A. Forced vibration and self-heating of a flexible viscoelastic beam with piezoelectric sensor and actuator with account of shear strain. Int. Appl. Mech. 2018, 54, 568–576. [Google Scholar] [CrossRef]
- Molinari, A.; Germain, Y. Self heating and thermal failure of polymers sustaining a compressive cyclic loading. Int. J. Solids Struct. 1996, 3439–3462. [Google Scholar] [CrossRef]
- Dinzart, F.; Molinari, A. Cyclic torsion of a polymeric tube: Self-heating and thermal failure. J. Therm. Stresses 1998, 21, 851–879. [Google Scholar] [CrossRef]
- Dinzart, F.; Molinari, A.; Herbach, R. Thermomechanical response of a viscoelastic beam under cyclic bending; self-heating and thermal failure. Arch. Mech. 2008, 59–85. [Google Scholar]
- Ramkumar, A.; Kannan, K.; Gnanamoorthy, R. Experimental and theoretical investigation of a polymer subjected to cyclic loading conditions. Int. J. Eng. Sci. 2010, 48, 101–110. [Google Scholar] [CrossRef]
- Khan, K.A.; Muliana, A.H. Fully coupled heat conduction and deformation analyses of visco-elastic solids. Mech. Time-Depend. Mater. 2012, 16, 461–489. [Google Scholar] [CrossRef]
- Rodas, C.O.; Zaïri, F.; Naït-Abdelaziz, M.; Charrier, P. A thermo-visco-hyperelastic model for the heat build-up during low-cycle fatigue of filled rubbers: Formulation, implementation and experimental verification. Int. J. Plast. 2016, 79, 217–236. [Google Scholar] [CrossRef]
- Drozdov, A.D. Cyclic viscoelastoplasticity and low-cycle fatigue of polymer composites. Int. J. Solids Struct. 2011, 48, 2026–2040. [Google Scholar] [CrossRef]
- Yu, C.; Kang, G.; Chen, K.; Lu, F. A thermo-mechanically coupled nonlinear viscoelastic–viscoplastic cyclic constitutive model for polymeric materials. Mech. Mater. 2017, 1–15. [Google Scholar] [CrossRef]
- Gudimetla, M.R.; Doghri, I. A finite strain thermodynamically-based constitutive framework coupling viscoelasticity and viscoplasticity with application to glassy polymers. Int. J. Plast. 2017, 197–216. [Google Scholar] [CrossRef]
- Yu, C.; Kang, G.; Chen, K. A hygro-thermo-mechanical coupled cyclic constitutive model for polymers with considering glass transition. Int. J. Plast. 2017, 89, 29–65. [Google Scholar] [CrossRef]
- Regel’, V.R.; Tamuzh, V.P. Fracture and fatigue of polymers and composites (survey). Polym. Mech. 1977, 13, 392–408. [Google Scholar] [CrossRef]
- Parfeev, V.M.; Oldyrev, P.P.; Tamuzh, V.P. Damage summation in nonstationary cyclic loading of fiberglass-plastic. Mech. Compos. Mater. 1979, 15, 52–58. [Google Scholar] [CrossRef]
- Oldyrev, P.P. Long-cycle fatigue of a glass-plastic under soft and stiff load. Mech. Compos. Mater. 1981, 17, 142–150. [Google Scholar] [CrossRef]
- Bellenger, V.; Tcharkhtchi, A.; Castaing, P. Thermal and mechanical fatigue of a PA66/glass fibers composite material. Int. J. Fatigue 2006, 28, 1348–1352. [Google Scholar] [CrossRef]
- Eftekhari, M.; Fatemi, A. On the strengthening effect of increasing cycling frequency on fatigue behavior of some polymers and their composites: Experiments and modeling. Int. J. Fatigue 2016, 87, 153–166. [Google Scholar] [CrossRef]
- Eftekhari, M.; Fatemi, A. Creep-fatigue interaction and thermo-mechanical fatigue behaviors of thermoplastics and their composites. Int. J. Fatigue 2016, 91, 136–148. [Google Scholar] [CrossRef]
- Katunin, A. The conception of the fatigue model for layered composites considering thermal effects. Arch. Civ. Mech. Eng. 2011, 11, 333–343. [Google Scholar] [CrossRef]
- Naderi, M.; Khonsari, M.M. Thermodynamic analysis of fatigue failure in a composite laminate. Mech. Mater. 2012, 46, 113–122. [Google Scholar] [CrossRef]
- Kahirdeh, A.; Khonsari, M.M. Acoustic entropy of the materials in the course of degradation. Entropy 2016, 18, 280. [Google Scholar] [CrossRef]
- Shrestha, R.; Simsiriwong, J.; Shamsaei, N. Fatigue modeling for a thermoplastic polymer under mean strain and variable amplitude loadings. Int. J. Fatigue 2017, 100, 429–433. [Google Scholar] [CrossRef]
- Wil’deman, V.E.; Staroverov, O.A.; Lobanov, D.S. Diagram and parameters of fatigue sensitivity for evaluating the residual strength of layered GFRP composites after preliminary cyclic loadings. Mech. Compos. Mater. 2018, 54, 313–320. [Google Scholar] [CrossRef]
- Miyano, Y.; McMurray, M.K.; Enyama, J.; Nakada, M. Loading rate and temperature dependence on flexural fatigue behavior of a satin woven CFRP laminate. J. Compos. Mater. 1994, 28, 1250–1260. [Google Scholar] [CrossRef]
- Miayno, Y.; Nakada, M.; Muki, R. Applicability of fatigue life prediction method to polymer composites. Mech. Time-Depend. Mater. 1999, 3, 141–157. [Google Scholar] [CrossRef]
- Shojaei, A.K.; Wedgewood, A.R. An anisotropic cyclic plasticity, creep and fatigue predictive tool for unfilled polymers. Mech. Mater. 2017, 106, 20–34. [Google Scholar] [CrossRef]
- Rittel, D.; Rabin, Y. An investigation of the heat generated during cyclic loading of two glassy polymers. Part II: Thermal analysis. Mech. Mater. 2000, 32, 149–159. [Google Scholar] [CrossRef]
- Sakurai, S.; Nokuwa, S.; Morimoto, M.; Shibayama, M.; Nomura, S. Changes in structure and properties due to mechanical fatigue for polyurethanes containing poly(dimethyl siloxane). Polymer 1994, 35, 532–539. [Google Scholar] [CrossRef]
- Dattoma, V.; Giancane, S. Evaluation of energy of fatigue damage into GFRC through digital image correlation and thermography. Compos. Part B 2013, 47, 283–289. [Google Scholar] [CrossRef]
- de Lima, A.M.G.; Rade, D.A.; Lacerda, H.B.; Araújo, C.A. An investigation of the self-heating phenomenon in viscoelastic materials subjected to cyclic loadings accounting for prestress. Mech. Syst. Signal Process. 2015, 58–59, 115–127. [Google Scholar] [CrossRef]
- Rodovalho, L.F.F.; de Lima, A.M.G.; Borges, R.A.; Lacerda, H.B. A study of the thermal runaway phase generated during cyclic loading of viscoelastic materials accounting for the prestress. Lat. Am. J. Solids Struct. 2016, 13, 2834–2851. [Google Scholar] [CrossRef]
- Mares, J.O.; Woods, D.C.; Baker, C.A.; Son, S.F.; Rhoads, J.F.; Bolton, J.S.; Gonzalez, M. Localized heating due to stress concentrations induced in a lossy elastic medium via the scattering of compressional waves by a rigid spherical inclusion. In Proceedings of the ASME 2016 International Mechanical Engineering Congress and Exposition, Phoenix, AR, USA, 11–17 November 2016. [Google Scholar] [CrossRef]
- Katunin, A.; Fidali, M. Experimental identification of non-stationary self-heating characteristics of laminated composite plates under resonant vibration. Kompozyty 2011, 11, 214–219. [Google Scholar]
- Katunin, A.; Fidali, M. Self-heating of polymeric laminated composite plates under the resonant vibrations: Theoretical and experimental study. Polym. Compos. 2012, 33, 138–146. [Google Scholar] [CrossRef]
- Valanis, K.C.; Lianis, G. A method of analysis of transient thermal stresses in thermorheologically simple viscoelastic solids. J. Appl. Mech. 1964, 47–53. [Google Scholar] [CrossRef]
- Loginov, N.P.; Muratov, S.M.; Nazarov, N.K. Initiation of explosion and kinetics of explosive decomposition under vibration. Combust. Explos. Shock Waves 1976, 12, 367–370. [Google Scholar] [CrossRef]
- Loginov, N.P. Structural and physicochemical changes in RDX under vibration. Combust. Explos. Shock Waves 1997, 33, 598–604. [Google Scholar] [CrossRef]
- Miller, J.K.; Woods, D.C.; Rhoads, J.F. Thermal and mechanical response of particulate composite plates under inertial excitation. J. Appl. Phys. 2014, 116, 244904. [Google Scholar] [CrossRef]
- Woods, D.C.; Miller, J.K.; Rhoads, J.F. On the thermomechanical response of HTPB-based composite beams under near-resonant excitation. J. Vib. Acoust. 2015, 137, 054502. [Google Scholar] [CrossRef]
- Chervinko, O.P.; Senchenkov, I.K.; Yakimenko, N.N. Vibrations and self-heating of a viscoelastic prism with a cylindrical inclusion. Int. Appl. Mech. 2007, 647–653. [Google Scholar] [CrossRef]
- Henry, T.C.; Bakis, C.E.; Smith, E.C. Viscoelastic characterization and self-heating behavior of laminated fiber composite driveshafts. Mater. Des. 2015, 66, 346–355. [Google Scholar] [CrossRef]
- Munshi, J.A. Effect of viscoelastic dampers on hysteretic response of reinforced concrete elements. Eng. Struct. 1997, 19, 921–935. [Google Scholar] [CrossRef]
- de Cezanove, J.; Rade, D.A.; de Lima, A.M.G.; Araújo, C.A. A numerical and experimental investigation on self-heating effects in viscoelastic dampers. Mech. Syst. Signal Process. 2012, 27, 433–445. [Google Scholar] [CrossRef]
- Vieira, P.R.; Carvalho, E.M.L.; Vieira, J.D.; Filho, R.D.T. Experimental fatigue behavior of pultruded glass fibre reinforced polymer composite materials. Compos. Part B 2018, 146, 69–75. [Google Scholar] [CrossRef]
- Avanzini, A.; Gallina, D. Effect of cyclic strain on the mechanical behavior of a thermoplastic polyurethane. J. Eng. Mater. Technol. 2011, 133, 021005. [Google Scholar] [CrossRef]
- Di Maio, D.; Magi, F. Development of testing methods for endurance trials of composites components. J. Compos. Mater. 2014, 49, 2977–2991. [Google Scholar] [CrossRef]
- Karama, M. Determination of the fatigue limit of a carbon/epoxy composite using thermographic analysis. Struct. Control Health Monit. 2011, 18, 781–789. [Google Scholar] [CrossRef]
- Jegou, L.; Marco, Y.; Le Saux, V.; Calloch, S. Fast prediction of the Wöhler curve from heat build-up measurements on Short Fiber Reinforced Plastic. Int. J. Fatigue 2013, 47, 259–267. [Google Scholar] [CrossRef]
- Gornet, L.; Westphal, O.; Burtin, C.; Bailleul, J.-L.; Rozycki, P.; Stainier, L. Rapid determination of the high cycle fatigue limit curve of carbon fiber epoxy matrix composite laminates by thermography methodology: Tests and finite element simulations. Procedia Eng. 2013, 66, 697–704. [Google Scholar] [CrossRef]
- Kordatos, E.Z.; Dassios, K.G.; Aggelis, D.G.; Matikas, T.E. Rapid evaluation of the fatigue limit in composites using infrared lock-in thermography and acoustic emission. Mech. Res. Commun. 2013, 54, 14–20. [Google Scholar] [CrossRef]
- Montesano, J.; Fawaz, Z.; Bougherara, H. Non-destructive assessment of the fatigue strength and damage progression of satin woven fiber reinforced polymer matrix composites. Compos. Part B 2015, 71, 122–130. [Google Scholar] [CrossRef]
- Krasnobrizha, A.; Gornet, L.; Rozycki, P.; Cosson, P. Rapid determination of the fatigue limit by the simulation of self-heating test by the collaborative model based on the fractional derivative approach. Procedia Eng. 2018, 192–206. [Google Scholar] [CrossRef]
- Luo, W.; Yang, T.; Li, Z.; Yuan, L. Experimental studies on the temperature fluctuations in deformed thermoplastics with defects. Int. J. Solids Struct. 2000, 37, 887–897. [Google Scholar] [CrossRef]
- Toubal, L.; Karama, M.; Lorrain, B. Damage evolution and infrared thermography in woven composite laminates under fatigue loading. Int. J. Fatigue 2006, 28, 1867–1872. [Google Scholar] [CrossRef]
- Tarfaoui, M.; El Moumen, A.; Ben Yahia, H. Damage detection versus heat dissipation in E-glass/Epoxy laminated composites under dynamic compression at high strain rate. Compos. Struct. 2018, 186, 50–61. [Google Scholar] [CrossRef]
- Kahirdeh, A.; Khonsari, M.M. Criticality of degradation in composite materials subjected to cyclic loading. Compos. Part B 2014, 61, 375–382. [Google Scholar] [CrossRef]
- Katunin, A.; Wronkowicz, A.; Bilewicz, M.; Wachla, D. Criticality of self-heating in degradation processes of polymeric composites subjected to cyclic loading: A multiphysical approach. Arch. Civ. Mech. Eng. 2017, 17, 806–815. [Google Scholar] [CrossRef]
- Katunin, A.; Fidali, M. Investigation of dynamic behaviour of laminated composite plates under cyclic loading. Kompozyty 2011, 11, 208–213. [Google Scholar]
- Wachla, D.; Katunin, A. Modelling fatigue with self-heating of polymeric composites based on statistical analysis of temperature profiles. Compos. Theor. Pract. 2018, in press. [Google Scholar]
- Wronkowicz, A.; Katunin, A. Detection of damage initiation in composite structures subjected to self-heating based on acoustic emission. Model. Eng. 2017, 33, 114–119. [Google Scholar]
- Katunin, A. Characterization of damage evolution during fatigue of composite structures accompanied with self-heating effect by means of acoustic emission. J. Vibroeng. 2018, 20, 954–962. [Google Scholar] [CrossRef]
- Katunin, A.; Pawlak, S.; Wronkowicz, A. Evaluation of structural degradation of polymeric composites subjected to self-heating by the thermal diffusivity analysis. Arab. J. Sci. Eng. 2018, 43, 4541–4547. [Google Scholar] [CrossRef]
- Pawlak, S. Application of IR thermography with thermal diffusivity analysis for detection of plies displacement in CFRP composites. J. Mater. Eng. Perform. 2018. [Google Scholar] [CrossRef]
- Parker, W.J.; Jenkins, R.J.; Butler, C.P.; Abbott, G.L. Flash method for determining thermal diffusivity, heat capacity and thermal conductivity. J. Appl. Phys. 1961, 32, 1979–1984. [Google Scholar] [CrossRef]
- Katunin, A. Evaluation of criticality of self-heating of polymer composites by estimating the heat dissipation rate. Mech. Compos. Mater. 2018, 54, 53–60. [Google Scholar] [CrossRef]
- Meneghetti, G. Analysis of the fatigue strength of a stainless steel based on the energy dissipation. Int. J. Fatigue 2007, 29, 81–94. [Google Scholar] [CrossRef]
- Meneghetti, G.; Ricotta, M.; Lucchetta, G.; Carmignato, S. An hysteresis energy-based synthesis of fully reversed axial fatigue behaviour of different polypropylene composites. Compos. Part B 2014, 65, 17–25. [Google Scholar] [CrossRef]
- Katunin, A. Variable surface temperature distribution as a criticality indicator of the self-heating effect in composites. Adv. Mater. Sci. 2018, 18, 5–12. [Google Scholar] [CrossRef]
- O’Brien, F.J.; Taylor, D.; Lee, T.C. Microcrack accumulation at different intervals during fatigue testing of compact bones. J. Biomech. 2003, 36, 973–980. [Google Scholar] [CrossRef]
- Katunin, A.; Wronkowicz, A. Characterization of failure mechanisms of composite structures subjected to fatigue dominated by the self-heating effect. Compos. Struct. 2017, 180, 1–8. [Google Scholar] [CrossRef]
- Turczyn, R.; Krukiewicz, K.; Katunin, A. Spectroscopic evaluation of structural changes in composite materials subjected to self-heating effect. Compos. Struct. 2018, 204, 192–197. [Google Scholar] [CrossRef]
- Katunin, A.; Krukiewicz, K.; Turczyn, R. Evaluation of residual cross-linking caused by self-heating effect in epoxy-based fibrous composites using Raman spectroscopy. Chemik 2014, 68, 957–966. [Google Scholar]
- Vaškova, H.; Křesálek, V. Quasi real-time monitoring of epoxy resin crosslinking via Raman microscopy. Int. J. Math. Model. Meth. Appl. Sci. 2011, 5, 1197–1204. [Google Scholar]
- Katunin, A. Fatigue of polymeric composites during stationary and non-stationary self-heating. Compos. Theor. Pract. 2018, 18, 19–24. [Google Scholar]
- Montanini, R.; Freni, F. Correlation between vibrational mode shapes and viscoelastic heat generation in vibrothermography. NDT&E Int. 2013, 58, 43–48. [Google Scholar] [CrossRef]
- Vaddi, J.S.; Holland, S.D.; Kessler, M.R. Absorptive viscoelastic coatings for full field vibration coverage measurement in vibrothermography. NDT&E Int. 2016, 82, 56–61. [Google Scholar] [CrossRef]
- Katunin, A. A concept of thermographic method for non-destructive testing of polymeric composite structures using self-heating effect. Sensors 2018, 18, 74. [Google Scholar] [CrossRef]
- Katunin, A.; Wachla, D. Analysis of defect detectability in polymeric composites using self-heating based vibrothermography. Compos. Struct. 2018, 201, 760–765. [Google Scholar] [CrossRef]
- Ibarra-Castanedo, C.; González, D.; Klein, M.; Pilla, M.; Vallerand, S.; Maldague, X.P.V. Infrared image processing and data analysis. Infrared Phys. Technol. 2004, 46, 75–83. [Google Scholar] [CrossRef]
- Holland, S.D. Thermographic signal reconstruction for vibrothermography. Infrared Phys. Technol. 2011, 54, 503–511. [Google Scholar] [CrossRef]
- Lopez, F.; Ibarra-Castanedo, C.; de Paulo Nicolau, V.; Maldague, X. Optimization of pulsed thermography inspection by partial least-squares regression. NDT&E Int. 2014, 66, 128–138. [Google Scholar] [CrossRef]
- D’Accardi, E.; Palumbo, D.; Tamborrino, R.; Galietti, U. Quantitative analysis of thermographic data through different algorithms. Proc. Struct. Integr. 2018, 8, 354–367. [Google Scholar] [CrossRef]
























| No. | Approach | Determined Critical Self-Heating Temp., °C | 
|---|---|---|
| 1. | Approximation of loading force history curves | 83.74 | 
| 2. | Approximation of vibration velocity history curves | 82.44 | 
| 3. | Approximation of self-heating temperature history curves | 61 | 
| 4. | AE activity | 77–78 | 
| 5. | Clustering of AE events | 65.73 | 
| 6. | Relative ATD | 70–75 | 
| 7. | Heat dissipation rate | 75 | 
| 8. | Variability of self-heating temperature distributions | 61 | 
| 9. | Surface crack density | 65 | 
| 10. | Residual elastic modulus in quasi-static tensile tests | 70 | 
| 11. | Ultimate tensile strength in quasi-static tensile tests | 65 | 
| 12. | Maximal force at failure in quasi-static tensile tests | 65 | 
| 13. | X-ray ICT | 60 | 
| 14. | Morphological analysis (SEM) | 60 | 
| 15. | Residual cross-linking using Raman & FTIR spectroscopy | 80 | 
© 2018 by the author. Licensee MDPI, Basel, Switzerland. This article is an open access article distributed under the terms and conditions of the Creative Commons Attribution (CC BY) license (http://creativecommons.org/licenses/by/4.0/).
Share and Cite
Katunin, A. Criticality of the Self-Heating Effect in Polymers and Polymer Matrix Composites during Fatigue, and Their Application in Non-Destructive Testing. Polymers 2019, 11, 19. https://doi.org/10.3390/polym11010019
Katunin A. Criticality of the Self-Heating Effect in Polymers and Polymer Matrix Composites during Fatigue, and Their Application in Non-Destructive Testing. Polymers. 2019; 11(1):19. https://doi.org/10.3390/polym11010019
Chicago/Turabian StyleKatunin, Andrzej. 2019. "Criticality of the Self-Heating Effect in Polymers and Polymer Matrix Composites during Fatigue, and Their Application in Non-Destructive Testing" Polymers 11, no. 1: 19. https://doi.org/10.3390/polym11010019
APA StyleKatunin, A. (2019). Criticality of the Self-Heating Effect in Polymers and Polymer Matrix Composites during Fatigue, and Their Application in Non-Destructive Testing. Polymers, 11(1), 19. https://doi.org/10.3390/polym11010019
 
        

 
                         
       