Synchronized Molecular-Dynamics Simulation of the Thermal Lubrication of an Entangled Polymeric Liquid
Abstract
1. Introduction
2. Problem
2.1. Geometry
2.2. Model Polymeric Liquid
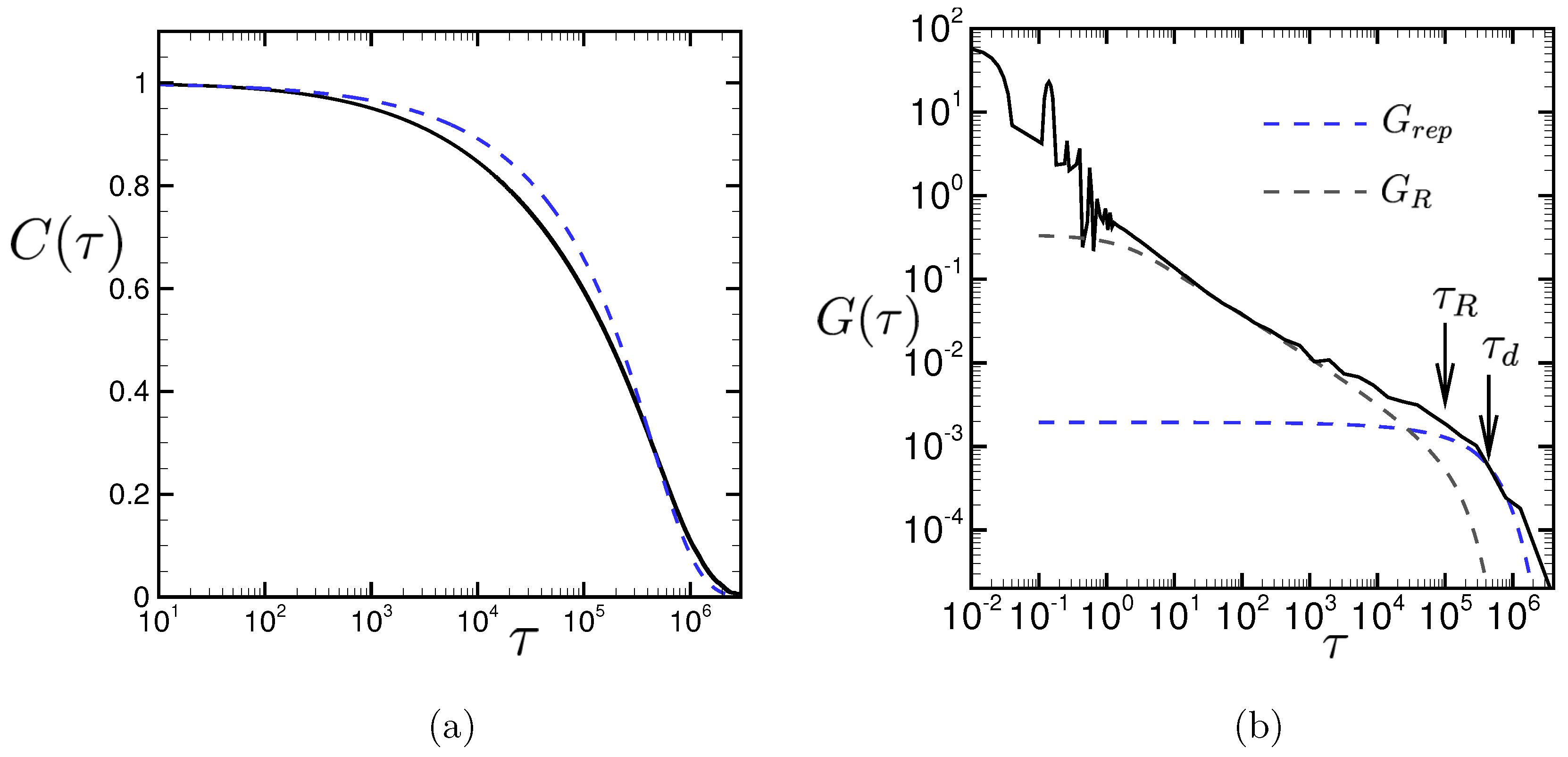
3. Simulation Method
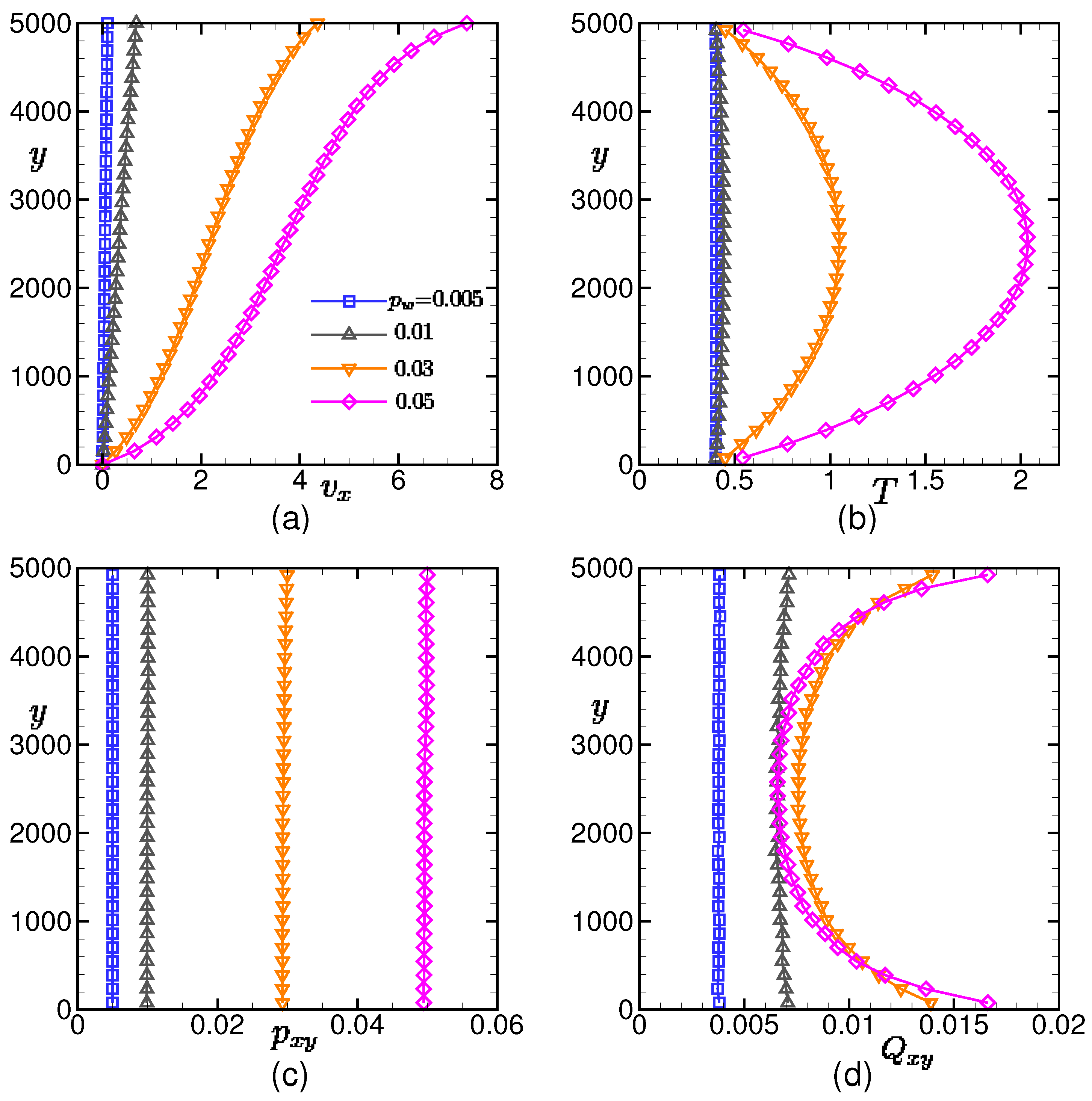
4. Results and Discussion
4.1. Spatial Heterogeneity
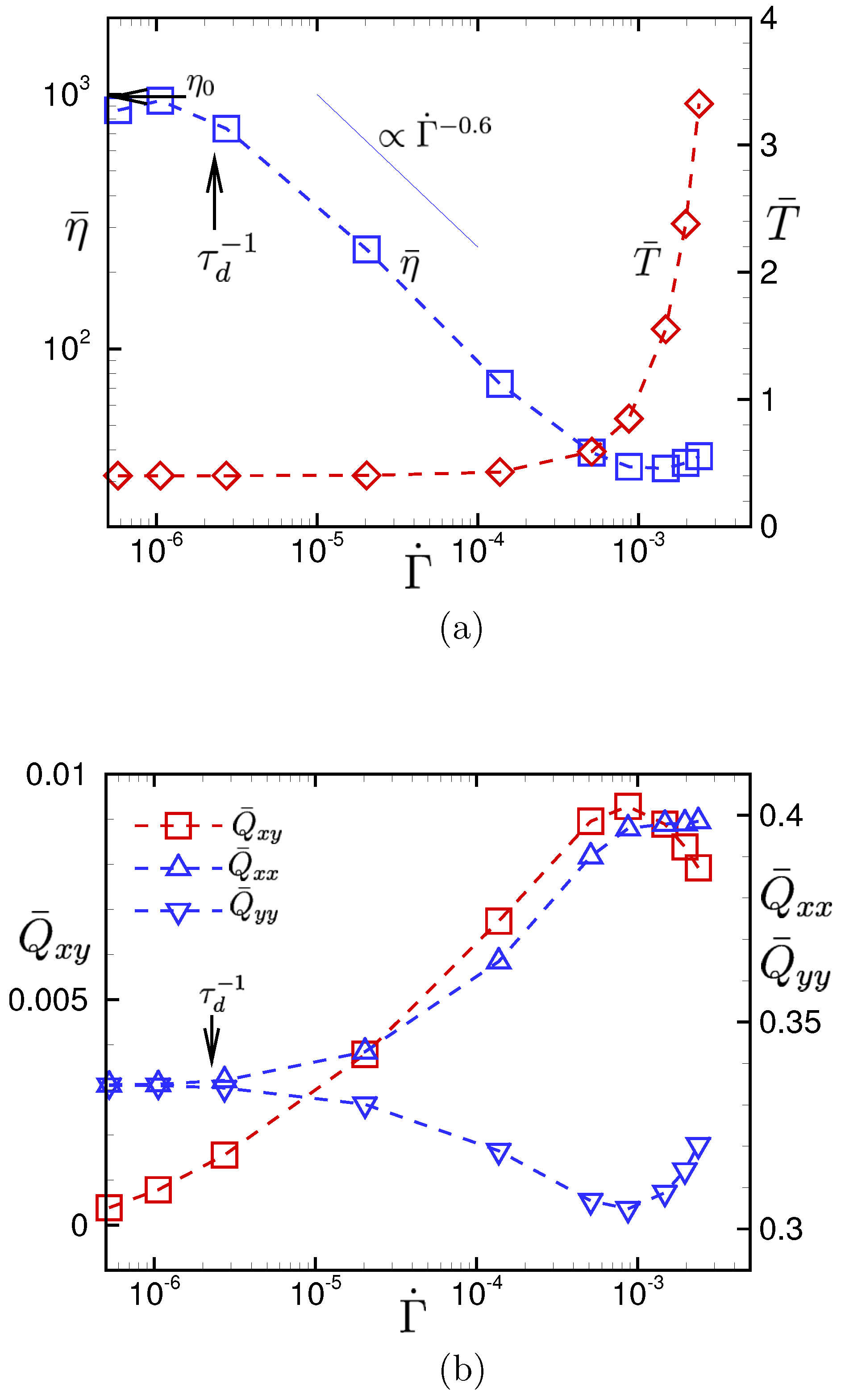
4.2. Gross Rheological Properties
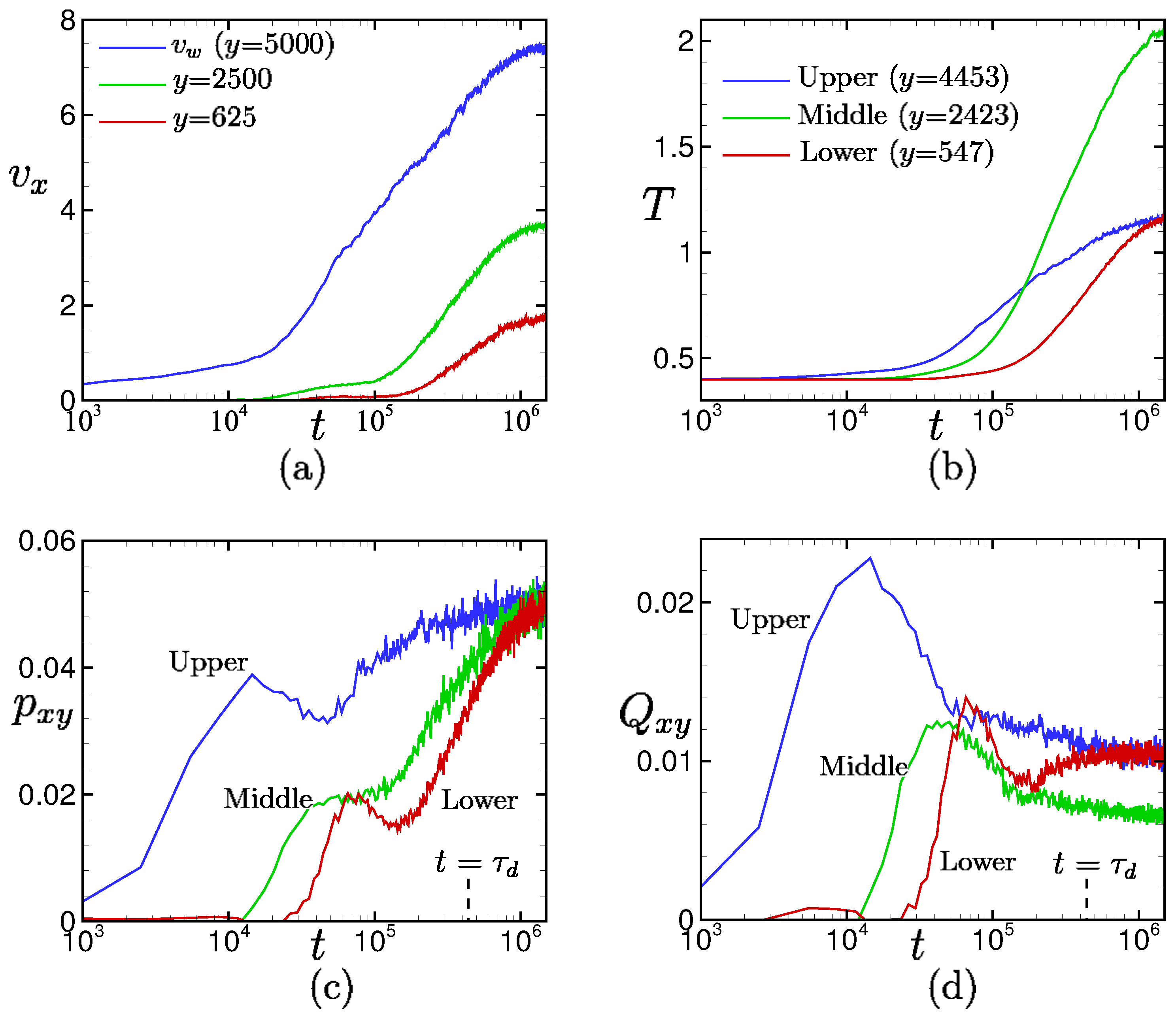
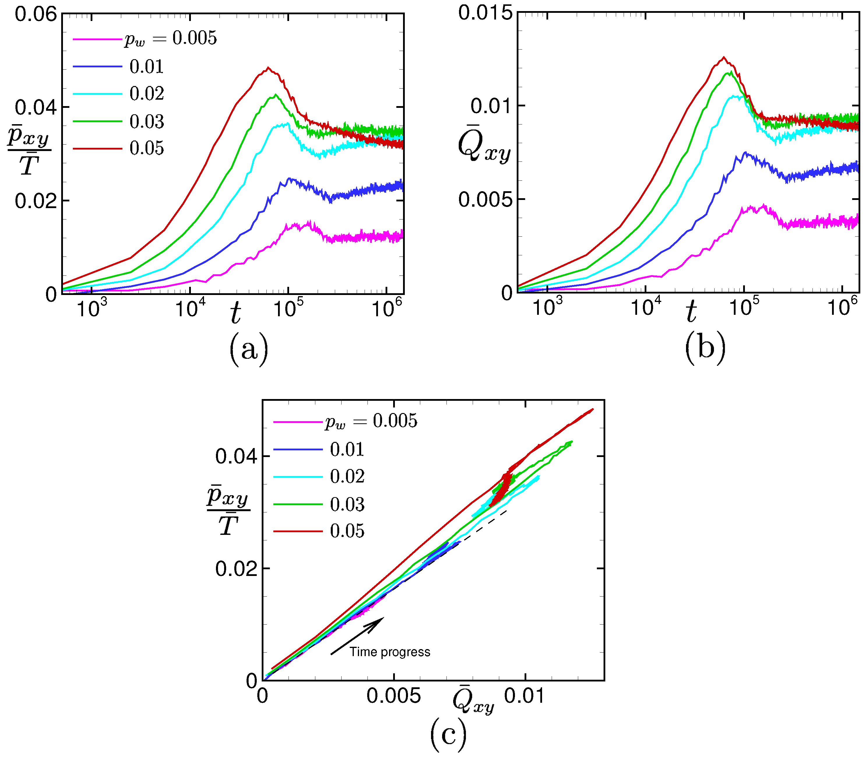
4.3. Time Evolution
5. Summary
Funding
Conflicts of Interest
References
- Bird, R.B.; Armstrong, R.C.; Hassager, O. Dynamics of Polymeric Liquids; John Wiley and Sons: New York, NY, USA, 1987; Volume 1. [Google Scholar]
- Laso, M.; Öttinger, H.C. Calculation of viscoelastic flow using molecular models: The CONNFFESSIT approach. J. Non-Newton. Fluid Mech. 1993, 47, 1–20. [Google Scholar] [CrossRef]
- Feigl, K.; Laso, M.; Öttinger, H.C. CONNFFESSIT approach for solving a two-dimensional viscoelastic fluid problem. Macromolecules 1995, 26, 3261–3274. [Google Scholar] [CrossRef]
- Laso, M.; Picasso, M.; Öttinger, H.C. 2-D time-dependent viscoelastic flow calculations using CONNFFESSIT. AIChE J. 1997, 43, 877. [Google Scholar] [CrossRef]
- E, W.; Engquist, B. The heterogeneous multi-scale methods. Commun. Math. Sci. 2003, 1, 87–132. [Google Scholar] [CrossRef]
- Ren, W.; E, W. Heterogeneous multiscale method for the modeling of complex fluids and micro-fluidics. J. Comput. Phys. 2005, 204, 1–26. [Google Scholar] [CrossRef]
- Müller, M.; Daoulas, K.C. Speeding Up Intrinsically Slow Collective Processes in Particle Simulations by Concurrent Coupling to a Continuum Description. Phys. Rev. Lett. 2011, 107, 227801. [Google Scholar] [CrossRef]
- Borg, M.K.; Lockerby, D.A.; Reese, J.M. A multiscale method for micro/nano flows of high aspect ratio. J. Comput. Phys. 2013, 233, 400–413. [Google Scholar] [CrossRef]
- Kevrekidis, I.G.; Gear, C.W.; Hyman, J.M.; Kevrekidis, P.G.; Runborg, O.; Theodoropoulos, C. Equation-free, coarse-grained multiscale computation: Enabling microscopic simulations to perform system-level analysis. Commun. Math. Sci. 2003, 1, 715. [Google Scholar]
- Kevrekidis, I.G.; Samaey, G. Equation-free multiscale computation: Algorithms and applications. Annu. Rev. Phys. Chem. 2009, 60, 321. [Google Scholar] [CrossRef]
- De, S.; Fish, J.; Shephard, M.S.; Keblinski, P.; Kumar, S.K. Multiscale modeling of polymer rheology. Phys. Rev. E 2006, 74, 030801(R). [Google Scholar] [CrossRef]
- De, S. Computational study of the propagation of the longitudinal velocity in a polymer melt contained within a cylinder using a scale-bridging method. Phys. Rev. E 2013, 88, 052311. [Google Scholar] [CrossRef] [PubMed]
- Murashima, T.; Taniguchi, T. Multiscale Lagrangian Fluid Dynamics Simulation for Polymeric Fluid. J. Polym. Sci. B 2010, 48, 886. [Google Scholar] [CrossRef]
- Murashima, T.; Taniguchi, T. Multiscale simulation of history-dependent flow in entangled polymer melts. Europhys. Lett. 2011, 96, 18002. [Google Scholar] [CrossRef]
- Murashima, T.; Taniguchi, T. Flow-history-dependent behavior of Entangled polymer melt flow analyzed by multi scale simulation. J. Phys. Soc. Jpn. 2012, 81, SA013. [Google Scholar] [CrossRef]
- Zimoń, M.J.; Prosser, R.; Emerson, D.R.; Borg, M.K.; Baray, D.J.; Grinberg, L.; Reese, J.M. An evalutation of noise reduction algorithms for particle-based fluid simulations in multi-scale applications. J. Comput. Phys. 2016, 325, 380–394. [Google Scholar] [CrossRef]
- Yasuda, S.; Yamamoto, R. A model for hybrid simulation of molecular dynamics and computational fluid dynamics. Phys. Fluids 2008, 20, 113101. [Google Scholar] [CrossRef]
- Yasuda, S.; Yamamoto, R. Rheological properties of polymer melt between rapidly oscillating plates: An application of multiscale modeling. Europhys. Lett. 2009, 86, 18002. [Google Scholar] [CrossRef]
- Yasuda, S.; Yamamoto, R. Multiscale modeling and simulation for polymer melt flows between parallel plates. Phys. Rev. E 2010, 81, 036308. [Google Scholar] [CrossRef]
- Yasuda, S.; Yamamoto, R. Dynamic rheology of a supercooled polymer melt in nonuniform oscillating flows between rapidly oscillating plates. Phys. Rev. E 2011, 84, 031501. [Google Scholar] [CrossRef]
- Murashima, T.; Yasuda, S.; Taniguchi, T.; Yamamoto, R. Multiscale modeling for polymeric flow: Particle-fluid bridging scale methods. J. Phys. Soc. Jpn. 2013, 82, 012001. [Google Scholar] [CrossRef]
- Yasuda, S.; Yamamoto, R. Synchronized molecular-dynamics simulation via macroscopic heat and momentum transfer. Phys. Rev. X 2014, 4, 041011. [Google Scholar]
- Yasuda, S.; Yamamoto, R. Multiscale simulation for thermo–hydrodynamic lubrication of a polymeric liquid between parallel plate. Mol. Sim. 2015, 41, 1002–1005. [Google Scholar] [CrossRef]
- Yasuda, S.; Yamamoto, R. Synchronized molecular-ydnamics simulation for the thermal lubrication of a polymeric liquid between parallel plates. Comput. Fluids 2016, 124, 185–189. [Google Scholar] [CrossRef]
- Doi, M.; Edwards, S.F. The Theory of Polymer Dynamics; Oxford University Press: Clarendon, Oxford, UK, 1986. [Google Scholar]
- Kremer, K.; Grest, G.S. Dynamics of entabgled linear polymer melts: A molecular-dynamics simulation. J. Chem. Phys. 1990, 92, 5057. [Google Scholar] [CrossRef]
- Yamamoto, R.; Onuki, A. Dynamics and rheology of a supercooled polymer melt in shear flow. J. Chem. Phys. 2002, 117, 2359. [Google Scholar] [CrossRef]
- Yamamoto, R.; Onuki, A. Entanglements in quiescent and sheared polymer melts. Phys. Rev. E 2004, 70, 041801. [Google Scholar] [CrossRef] [PubMed]
- Allen, M.P.; Tildesley, D.J. Computer Simulation of Liquids; Oxford University Press: New York, NY, USA, 1989. [Google Scholar]
- Evans, D.J.; Morris, G. Statistical Mechanics of Nonequilibrium Liquids; Cambridge University Press: New York, NY, USA, 2008. [Google Scholar]
- Likhtman, A.E.; Ponmurugan, M. Microscopic definition of polymer entanglement. Macromolecules 2014, 47, 1470–1481. [Google Scholar] [CrossRef]
- Kröger, M. Shortest multiple disconnected path for the analysis of entanglements in two- and three-dimensional polymeric systems. Comput. Phys. Commun. 2005, 168, 209–232. [Google Scholar] [CrossRef]












© 2019 by the author. Licensee MDPI, Basel, Switzerland. This article is an open access article distributed under the terms and conditions of the Creative Commons Attribution (CC BY) license (http://creativecommons.org/licenses/by/4.0/).
Share and Cite
Yasuda, S. Synchronized Molecular-Dynamics Simulation of the Thermal Lubrication of an Entangled Polymeric Liquid. Polymers 2019, 11, 131. https://doi.org/10.3390/polym11010131
Yasuda S. Synchronized Molecular-Dynamics Simulation of the Thermal Lubrication of an Entangled Polymeric Liquid. Polymers. 2019; 11(1):131. https://doi.org/10.3390/polym11010131
Chicago/Turabian StyleYasuda, Shugo. 2019. "Synchronized Molecular-Dynamics Simulation of the Thermal Lubrication of an Entangled Polymeric Liquid" Polymers 11, no. 1: 131. https://doi.org/10.3390/polym11010131
APA StyleYasuda, S. (2019). Synchronized Molecular-Dynamics Simulation of the Thermal Lubrication of an Entangled Polymeric Liquid. Polymers, 11(1), 131. https://doi.org/10.3390/polym11010131

