Copper Metallopolymer Catalyst for the Electrocatalytic Hydrogen Evolution Reaction (HER)
Abstract
1. Introduction
2. Materials and Methods
2.1. Synthesis of POS and POS[Cu]
2.2. Electrode Preparation
3. Results and Discussion
3.1. Synthesis and Characterization of POS and POS[Cu]
3.2. Photophysical Properties
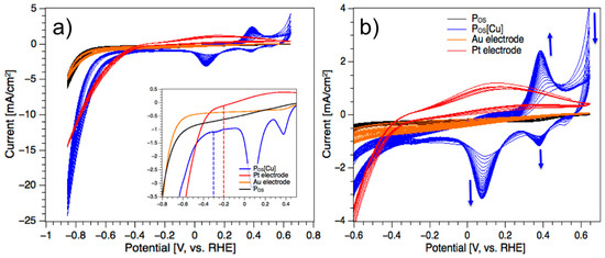
3.3. Electrocatalytic Hydrogen Evolution Reaction (HER)
4. Conclusions
Supplementary Materials
Author Contributions
Funding
Acknowledgments
Conflicts of Interest
References
- You, J.; Dou, L.; Yoshimura, K.; Kato, T.; Ohya, K.; Moriarty, T.; Emery, K.; Chen, C.-C.; Gao, J.; Li, G.; et al. A polymer tandem solar cell with 10.6% power conversion efficiency. Nat. Commun. 2013, 4, 1446. [Google Scholar] [CrossRef] [PubMed]
- Xu, X.; Li, Z.; Wang, J.; Lin, B.; Ma, W.; Xia, Y.; Andersson, M.R.; Janssen, R.A.J.; Wang, E. High-performance all-polymer solar cells based on fluorinated naphthalene diimide acceptor polymers with fine-tuned crystallinity and enhanced dielectric constants. Nano Energy 2018, 45, 368–379. [Google Scholar] [CrossRef]
- Bundgaard, E.; Krebs, F. Low band gap polymers for organic photovoltaics. Sol. Energy Mater. Sol. Cells 2007, 91, 954–985. [Google Scholar] [CrossRef]
- Brabec, C.J.; Gowrisanker, S.; Halls, J.J.M.; Laird, D.; Jia, S.; Williams, S.P. Polymer-Fullerene Bulk-Heterojunction Solar Cells. Adv. Mater. 2010, 22, 3839–3856. [Google Scholar] [CrossRef]
- Thompson, B.C.; Fréchet, J.M.J. Polymer–Fullerene Composite Solar Cells. Angew. Chem. Int. Ed. 2008, 47, 58–77. [Google Scholar] [CrossRef] [PubMed]
- Forrest, S.R. The path to ubiquitous and low-cost organic electronic appliances on plastic. Nature 2004, 428, 911–918. [Google Scholar] [CrossRef] [PubMed]
- Whittell, G.R.; Hager, M.D.; Schubert, U.S.; Manners, I. Functional soft materials from metallopolymers and metallosupramolecular polymers. Nat. Mater. 2011, 10, 176–188. [Google Scholar] [CrossRef]
- Heinze, J.; Frontana-Uribe, B.A.; Ludwigs, S. Electrochemistry of Conducting Polymers—Persistent Models and New Concepts. Chem. Rev. 2010, 110, 4724–4771. [Google Scholar] [CrossRef]
- Elmas, S.; Beelders, W.; Bradley, S.J.; Kroon, R.; Laufersky, G.; Andersson, M.; Nann, T. Platinum Terpyridine Metallopolymer Electrode as Cost-Effective Replacement for Bulk Platinum Catalysts in Oxygen Reduction Reaction and Hydrogen Evolution Reaction. ACS Sustain. Chem. Eng. 2017, 5, 10206–10214. [Google Scholar] [CrossRef]
- Jenekhe, S.A. A class of narrow-band-gap semiconducting polymers. Nature 1986, 322, 345–347. [Google Scholar] [CrossRef]
- Roncali, J. Molecular Engineering of the Band Gap of π-Conjugated Systems: Facing Technological Applications. Macromol. Rapid Commun. 2007, 28, 1761–1775. [Google Scholar] [CrossRef]
- Bhushan, B.; Kumar, S.K.; Talwar, S.S.; Kundu, T.; Singh, B.P. Nonlinear optical properties of novel tunable, one dimensional molecular superlattice polymers (heteroarylene methines) containing alternating aromatic and quinoid segments. Appl. Phys. B 2012, 109, 201–209. [Google Scholar] [CrossRef]
- Yi, W.; Feng, W.; Cao, M.; Wu, H. Synthesis of third-order non-linear optical polymers based on conjugated poly(heteroarylene methines). Polym. Adv. Technol. 2004, 15, 431–438. [Google Scholar] [CrossRef]
- Wu, Z.; Wu, S.; Lu, Z.; Liang, Y. Organization and Properties of a Conjugated Poly(heteroarylene methines) at the Air–Water Interface and in the Langmuir–Blodgett Films. J. Colloid Interface Sci. 2002, 251, 125–130. [Google Scholar] [CrossRef] [PubMed]
- Kato, A.; Fukushima, Y. Study of the Interaction between a Water-Soluble Cationic Poly(heteroarylene methine) and DNA. J. Photopolym. Sci. Technol. 2013, 26, 171–174. [Google Scholar] [CrossRef]
- Gherras, H.; Hachemaoui, A.; Yahiaoui, A.; Benyoucef, A.; Belfedal, A.; Belbachir, M. Chemical synthesis and characterization of a new soluble conducting polymer. Synth. Met. 2012, 162, 1750–1755. [Google Scholar] [CrossRef]
- Zhang, Q.; Li, Y.; Yang, M. A novel low band gap polymer PDTNTBQ. Synth. Met. 2004, 146, 69–71. [Google Scholar] [CrossRef]
- Yang, M.; Zhang, Q.; Li, Y. A low band gap silicon-containing polymer. J. Mater. Sci. 2006, 41, 2533–2535. [Google Scholar] [CrossRef]
- Chen, W.-C.; Jenekhe, S.A. Model compound studies of small bandgap conjugated poly(heteroarylene methines). Macromol. Chem. Phys. 1998, 199, 655–666. [Google Scholar] [CrossRef]
- Zhang, Q.; Li, Y.; Yang, M. Novel soluble low band gap polymers. J. Mater. Sci. 2004, 39, 6089–6091. [Google Scholar] [CrossRef]
- Yang, M.; Zhang, Q.; Wu, P.; Ye, H.; Liu, X. Influence of the introduction of phenylene units into the polymer backbone on bandgap of conjugated poly(heteroarylene methines). Polymer 2005, 46, 6266–6273. [Google Scholar] [CrossRef]
- Elmas, S.; Beelders, W.; Pan, X.; Nann, T. Conducting Copper(I/II)-Metallopolymer for the Electrocatalytic Oxygen Reduction Reaction (ORR) with High Kinetic Current Density. Polymers 2018, 10, 1002. [Google Scholar] [CrossRef]
- Chen, W.-C.; Jenekhe, S.A. Small-Bandgap Conducting Polymers Based on Conjugated Poly(heteroarylene methines). 1. Precursor Poly(heteroarylene methylenes). Macromolecules 1995, 28, 454–464. [Google Scholar] [CrossRef]
- De M. Romanowski, S.M.; Tormena, F.; dos Santos, V.A.; de F. Hermann, M.; Mangrich, A.S. Solution studies of copper(II) complexes as a contribution to the study of the active site of galactose oxidase. J. Braz. Chem. Soc. 2004, 15, 897–903. [Google Scholar] [CrossRef]
- Biesinger, M.C.; Payne, B.P.; Grosvenor, A.P.; Lau, L.W.M.; Gerson, A.R.; Smart, R.S.C. Resolving surface chemical states in XPS analysis of first row transition metals, oxides and hydroxides: Cr, Mn, Fe, Co and Ni. Appl. Surf. Sci. 2011, 257, 2717–2730. [Google Scholar] [CrossRef]
- Biesinger, M.C.; Lau, L.W.M.; Gerson, A.R.; Smart, R.S.C. Resolving surface chemical states in XPS analysis of first row transition metals, oxides and hydroxides: Sc, Ti, V, Cu and Zn. Appl. Surf. Sci. 2010, 257, 887–898. [Google Scholar] [CrossRef]
- Neugebauer, H.; Kvarnström, C.; Brabec, C.; Sariciftci, N.S.; Kiebooms, R.; Wudl, F.; Luzzati, S. Infrared spectroelectrochemical investigations on the doping of soluble poly(isothianaphthene methine) (PIM). J. Chem. Phys. 1999, 110, 12108–12115. [Google Scholar] [CrossRef]
- Skinner, W.M.; Prestidge, C.A.; Smart, R.S.C. Irradiation Effects During XPS Studies of Cu(II) Activation of Zinc Sulphide. Surf. Interface Anal. 1996, 24, 620–626. [Google Scholar] [CrossRef]
- Wavhal, D.S.; Fisher, E.R. Hydrophilic modification of polyethersulfone membranes by low temperature plasma-induced graft polymerization. J. Membr. Sci. 2002, 209, 255–269. [Google Scholar] [CrossRef]
- Wang, H.; Cheng, F.; Li, M.; Peng, W.; Qu, J. Reactivity and Kinetics of Vinyl Sulfone-Functionalized Self-Assembled Monolayers for Bioactive Ligand Immobilization. Langmuir 2015, 31, 3413–3421. [Google Scholar] [CrossRef]
- Macdonald, T.; Xu, J.; Elmas, S.; Mange, Y.; Skinner, W.; Xu, H.; Nann, T. NiO Nanofibers as a Candidate for a Nanophotocathode. Nanomaterials 2014, 4, 256–266. [Google Scholar] [CrossRef] [PubMed]
- Le Formal, F.; Sivula, K.; Grätzel, M. The Transient Photocurrent and Photovoltage Behavior of a Hematite Photoanode under Working Conditions and the Influence of Surface Treatments. J. Phys. Chem. C 2012, 116, 26707–26720. [Google Scholar] [CrossRef]
- McNeill, C.R.; Hwang, I.; Greenham, N.C. Photocurrent transients in all-polymer solar cells: Trapping and detrapping effects. J. Appl. Phys. 2009, 106, 024507. [Google Scholar] [CrossRef]
- Li, Z.; McNeill, C.R. Transient photocurrent measurements of PCDTBT:PC70 BM and PCPDTBT:PC70 BM Solar Cells: Evidence for charge trapping in efficient polymer/fullerene blends. J. Appl. Phys. 2011, 109, 074513. [Google Scholar] [CrossRef]
- Yu, S.C.; Hou, S.; Chan, W.K. Synthesis, Metal Complex Formation, and Electronic Properties of a Novel Conjugate Polymer with a Tridentate 2,6-Bis(benzimidazol-2-yl)pyridine Ligand. Macromolecules 1999, 32, 5251–5256. [Google Scholar] [CrossRef]
- Elmas, S.; Beelders, W.; Nash, J.; Macdonald, T.J.; Jasieniak, M.; Griesser, H.J.; Nann, T. Photo-doping of plasma-deposited polyaniline (PAni). RSC Adv. 2016, 6, 70691–70699. [Google Scholar] [CrossRef]
- Karunadasa, H.I.; Chang, C.J.; Long, J.R. A molecular molybdenum-oxo catalyst for generating hydrogen from water. Nature 2010, 464, 1329–1333. [Google Scholar] [CrossRef]
- Zhang, P.; Wang, M.; Gloaguen, F.; Chen, L.; Quentel, F.; Sun, L. Electrocatalytic hydrogen evolution from neutral water by molecular cobalt tripyridine–diamine complexes. Chem. Commun. 2013, 49, 9455. [Google Scholar] [CrossRef]
- Zhang, P.; Wang, M.; Yang, Y.; Yao, T.; Sun, L. A Molecular Copper Catalyst for Electrochemical Water Reduction with a Large Hydrogen-Generation Rate Constant in Aqueous Solution. Angew. Chem. Int. Ed. 2014, 53, 13803–13807. [Google Scholar] [CrossRef]
- Cao, J.-P.; Fang, T.; Fu, L.-Z.; Zhou, L.-L.; Zhan, S.-Z. First mononuclear copper(II) electro-catalyst for catalyzing hydrogen evolution from acetic acid and water. Int. J. Hydrog. Energy 2014, 39, 13972–13978. [Google Scholar] [CrossRef]
- Winther-Jensen, B.; Fraser, K.; Ong, C.; Forsyth, M.; MacFarlane, D.R. Conducting Polymer Composite Materials for Hydrogen Generation. Adv. Mater. 2010, 22, 1727–1730. [Google Scholar] [CrossRef] [PubMed]
- Gu, C.; Norris, B.C.; Fan, F.-R.F.; Bielawski, C.W.; Bard, A.J. Is Base-Inhibited Vapor Phase Polymerized PEDOT an Electrocatalyst for the Hydrogen Evolution Reaction? Exploring Substrate Effects, Including Pt Contaminated Au. ACS Catal. 2012, 2, 746–750. [Google Scholar] [CrossRef]
- Tran, P.D.; Nguyen, M.; Pramana, S.S.; Bhattacharjee, A.; Chiam, S.Y.; Fize, J.; Field, M.J.; Artero, V.; Wong, L.H.; Loo, J.; et al. Copper molybdenum sulfide: A new efficient electrocatalyst for hydrogen production from water. Energy Environ. Sci. 2012, 5, 8912–8916. [Google Scholar] [CrossRef]
- Jiang, N.; Bogoev, L.; Popova, M.; Gul, S.; Yano, J.; Sun, Y. Electrodeposited nickel-sulfide films as competent hydrogen evolution catalysts in neutral water. J. Mater. Chem. A 2014, 2, 19407–19414. [Google Scholar] [CrossRef]
- Yu, Y.; Peng, Z.; Asif, M.; Wang, H.; Wang, W.; Wu, Z.; Wang, Z.; Qiu, X.; Tan, H.; Liu, H. FeP Nanocrystals Embedded in N-Doped Carbon Nanosheets for Efficient Electrocatalytic Hydrogen Generation over a Broad pH Range. ACS Sustain. Chem. Eng. 2018, 6, 11587–11594. [Google Scholar] [CrossRef]
- Qu, L.; Zhang, Z.; Zhang, H.; Zhang, H.; Dong, S. Transformation from graphitic C3N4 to nitrogen-boron-carbon ternary nanosheets as efficient metal-free bifunctional electrocatalyst for oxygen reduction reaction and hydrogen evolution reaction. Appl. Surf. Sci. 2018, 448, 618–627. [Google Scholar] [CrossRef]
- Lu, S.-S.; Shang, X.; Zhang, L.-M.; Dong, B.; Gao, W.-K.; Dai, F.-N.; Liu, B.; Chai, Y.-M.; Liu, C.-G. Heterostructured binary Ni-W sulfides nanosheets as pH-universal electrocatalyst for hydrogen evolution. Appl. Surf. Sci. 2018, 445, 445–453. [Google Scholar] [CrossRef]
- Li, Y.; Cai, P.; Ci, S.; Wen, Z. Strongly Coupled 3D Nanohybrids with Ni2P/Carbon Nanosheets as pH-Universal Hydrogen Evolution Reaction Electrocatalysts. ChemElectroChem 2017, 4, 340–344. [Google Scholar] [CrossRef]
- Amin, M.A.; Ibrahim, M.M.; Gobouri, A.A.; Mersal, G.A.M.; Mostafa, N.Y.; Altalhi, T.; Al-Juaid, S. A newly synthesized single crystal zinc complex as molecular electrocatalyst for efficient hydrogen generation from neutral aqueous solutions. Int. J. Hydrog. Energy 2017, 42, 25980–25995. [Google Scholar] [CrossRef]
- Tang, L.-Z.; Lin, C.-N.; Zhan, S.-Z. Effect of ligand modification on hydrogen production catalyzed by iron(III) complexes supported by amine-bis(phenolate) ligands. Polyhedron 2016, 110, 247–253. [Google Scholar] [CrossRef]
- Liu, S.; Xin, Z.-J.; Lei, Y.-J.; Yang, Y.; Yan, X.-Y.; Lu, Y.-B.; Li, C.-B.; Wang, H.-Y. Thin Copper-Based Film for Efficient Electrochemical Hydrogen Production from Neutral Aqueous Solutions. ACS Sustain. Chem. Eng. 2017, 5, 7496–7501. [Google Scholar] [CrossRef]





© 2019 by the authors. Licensee MDPI, Basel, Switzerland. This article is an open access article distributed under the terms and conditions of the Creative Commons Attribution (CC BY) license (http://creativecommons.org/licenses/by/4.0/).
Share and Cite
Elmas, S.; Macdonald, T.J.; Skinner, W.; Andersson, M.; Nann, T. Copper Metallopolymer Catalyst for the Electrocatalytic Hydrogen Evolution Reaction (HER). Polymers 2019, 11, 110. https://doi.org/10.3390/polym11010110
Elmas S, Macdonald TJ, Skinner W, Andersson M, Nann T. Copper Metallopolymer Catalyst for the Electrocatalytic Hydrogen Evolution Reaction (HER). Polymers. 2019; 11(1):110. https://doi.org/10.3390/polym11010110
Chicago/Turabian StyleElmas, Sait, Thomas J. Macdonald, William Skinner, Mats Andersson, and Thomas Nann. 2019. "Copper Metallopolymer Catalyst for the Electrocatalytic Hydrogen Evolution Reaction (HER)" Polymers 11, no. 1: 110. https://doi.org/10.3390/polym11010110
APA StyleElmas, S., Macdonald, T. J., Skinner, W., Andersson, M., & Nann, T. (2019). Copper Metallopolymer Catalyst for the Electrocatalytic Hydrogen Evolution Reaction (HER). Polymers, 11(1), 110. https://doi.org/10.3390/polym11010110
 
        


 
                        