Investigation on the Properties of PMMA/Reactive Halloysite Nanocomposites Based on Halloysite with Double Bonds
Abstract
:1. Introduction
2. Experiment
2.1. Materials
2.2. Functionalization of Reactive HNTs
2.3. Preparation of PMMA/Reactive Halloysite Nanocomposites
2.4. Preparation of PMMA/Reactive Halloysite Nanocomposite Thin Films
2.5. Characterization
3. Results and Discussion
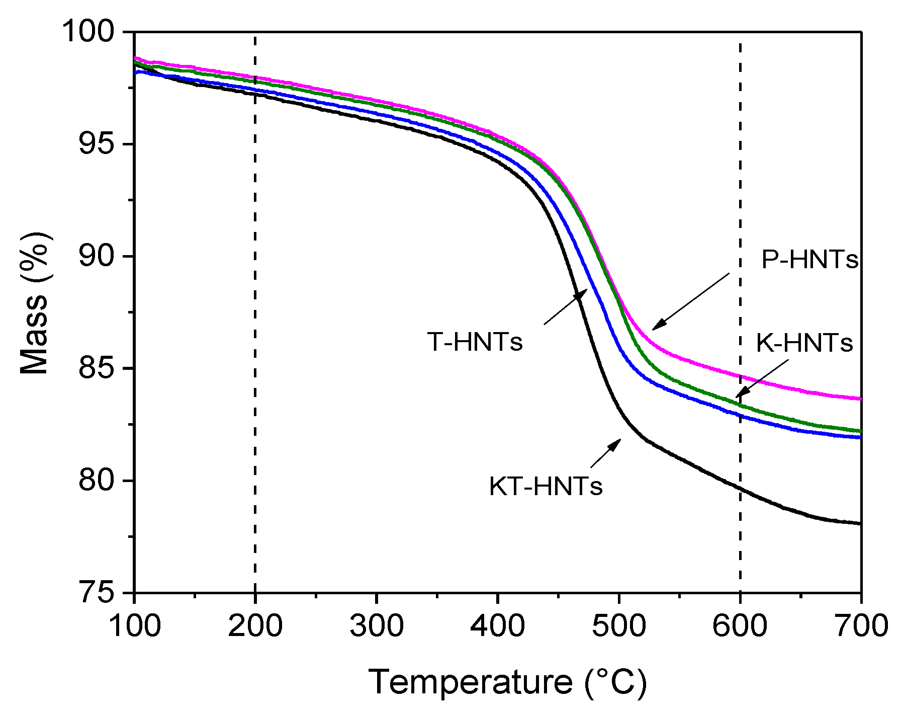
3.1. Characterization of the Reactive Halloysites
3.2. Characterization of PMMA/Reactive Halloysite Nanocomposites
3.3. The Formation Scheme of PMMA/Reactive Halloysite Nanocomposites
4. Conclusions
Author Contributions
Acknowledgments
Conflicts of Interest
References
- Pavlidou, S.; Papaspyrides, C. A review on polymer-layered silicate nanocomposites. Prog. Polym. Sci. 2008, 33, 1119–1198. [Google Scholar] [CrossRef]
- Sinha Ray, S.; Okamoto, M. Polymer/layered silicate nanocomposites: A review from preparation to processing. Prog. Polym. Sci. 2003, 28, 1539–1641. [Google Scholar] [CrossRef]
- Zhao, T.Y.; Zhang, D.M.; Ding, C.M.; Zhou, J.L.; Zhu, J.S.; Jiang, L. A multi-functional polymer coating that is heat-resistant, hydrophobic and transparent. Particuology 2014, 17, 11–14. [Google Scholar] [CrossRef]
- Huang, Y.B.; Yang, L.R.; Huang, M.H.; Wang, J.; Xu, L.; Li, W.S.; Zhou, H.C.; Sun, X.T.; Xing, H.F.; Liu, H.Z. Polystyrene microsphere-immobilized palladium(ii) porphyrin as mild, reusable, and highly efficient catalyst for heck reaction. Particuology 2015, 22, 128–133. [Google Scholar] [CrossRef]
- Fréchet, J.M.J. Functional polymers: From plastic electronics to polymer-assisted therapeutics. Prog. Polym. Sci. 2005, 30, 844–857. [Google Scholar] [CrossRef]
- Mhd Haniffa, M.; Ching, Y.; Abdullah, L.; Poh, S.; Chuah, C. Review of bionanocomposite coating films and their applications. Polymers 2016, 8, 246. [Google Scholar] [CrossRef]
- He, W.T.; Liao, S.T.; Xiang, Y.S.; Long, L.J.; Qin, S.H.; Yu, J. Structure and properties study of pa6 nanocomposites flame retarded by aluminium salt of diisobutylphosphinic acid and different organic montmorillonites. Polymers 2018, 10, 312. [Google Scholar] [CrossRef]
- Patra, N.; Barone, A.C.; Salerno, M.; Caputo, G.; Cozzoli, D.; Athanassiou, A. Thermal and mechanical characterization of PMMA TiO2 nanocomposites. Adv. Mater. Res. 2009, 67, 209–214. [Google Scholar] [CrossRef]
- De Azevedo, W.; Schwartz, M.; Do Nascimento, G. Synthesis and characterization of polyaniline/clay nanocomposite. Phys. Status Solidi (c) 2004, 1, S249–S255. [Google Scholar] [CrossRef]
- Yah, W.O.; Xu, H.; Soejima, H.; Ma, W.; Lvov, Y.; Takahara, A. Biomimetic dopamine derivative for selective polymer modification of halloysite nanotube lumen. J. Am. Chem. Soc. 2012, 134, 12134–12137. [Google Scholar] [CrossRef] [PubMed]
- Shi, Y.; Peterson, S.; Sogah, D.Y. Surfactant-free method for the synthesis of poly(vinyl acetate) masterbatch nanocomposites as a route to ethylene vinyl acetate/silicate nanocomposites. Chem. Mater. 2007, 19, 1552–1564. [Google Scholar] [CrossRef]
- Xu, H.C.L.; Tong, N.G.H.; Gu, H. Development of high magnetization fe3o4/polystyrene/silica nanospheres via combined miniemulsion/emulsion polymerization. J. Am. Chem. Soc. 2006, 128, 15582–15583. [Google Scholar] [CrossRef] [PubMed]
- Tsunematsu, K.; Tateyama, H. Delamination of urea-kaolinite complex by using intercalation procedures. J. Am. Ceram. Soc. 1999, 82, 1589–1591. [Google Scholar] [CrossRef]
- Stavitskaya, A.V.; Novikov, A.A.; Kotelev, M.S.; Kopitsyn, D.S.; Rozhina, E.V. Fluorescence and cytotoxicity of cadmium sulfide quantum dots stabilized on clay nanotubes. Nanomaterials 2018, 8, 391. [Google Scholar] [CrossRef] [PubMed]
- Fakhrullina, G.I.; Akhatova, F.S.; Lvov, Y.M.; Fakhrullin, R.F. Toxicity of halloysite clay nanotubes in vivo: A Caenorhabditis elegans study. Environ. Sci. Nano 2015, 2, 54–59. [Google Scholar] [CrossRef]
- Makaremi, M.; Pasbakhsh, P.; Cavallaro, G.; Lazzara, G.; Aw, Y.K.; Lee, S.M.; Milioto, S. Effect of morphology and size of halloysite nanotubes on functional pectin bionanocomposites for food packaging applications. ACS Appl. Mat. Interfaces 2017, 9, 17476. [Google Scholar] [CrossRef] [PubMed]
- Bugatti, V.; Viscusi, G.; Naddeo, C.; Gorrasi, G. Nanocomposites based on PCL and halloysite nanotubes filled with lysozyme: Effect of draw ratio on the physical properties and release analysis. Nanomaterials 2017, 7, 213–225. [Google Scholar] [CrossRef] [PubMed]
- Bertolino, V.; Cavallaro, G.; Lazzara, G.; Merli, M.; Milioto, S.; Parisi, F.; Sciascia, L. Effect of the biopolymer charge and the nanoclay morphology on nanocomposite materials. Ind. Eng. Chem. Res. 2016, 55, 7373–7380. [Google Scholar] [CrossRef]
- Bertolino, V.; Cavallaro, G.; Lazzara, G.; Milioto, S.; Parisi, F. Halloysite nanotubes sandwiched between chitosan layers: Novel bionanocomposites with multilayer structures. New J. Chem. 2018, 42, 8384–8390. [Google Scholar] [CrossRef]
- Gorrasi, G. Dispersion of halloysite loaded with natural antimicrobials into pectins: Characterization and controlled release analysis. Carbohydr. Polym. 2015, 127, 47–53. [Google Scholar] [CrossRef] [PubMed]
- Lvov, Y.; Aerov, A.; Fakhrullin, R. Clay nanotube encapsulation for functional biocomposites. Adv. Colloid Interface Sci. 2014, 207, 189–198. [Google Scholar] [CrossRef] [PubMed]
- Du, M.; Guo, B.; Jia, D. Newly emerging applications of halloysite nanotubes: A review. Polym. Int. 2010, 59, 574–582. [Google Scholar] [CrossRef]
- Cavallaro, G.; Chiappisi, L.; Pasbakhsh, P.; Gradzielski, M.; Lazzara, G. A structural comparison of halloysite nanotubes of different origin by Small-Angle Neutron Scattering (SANS) and Electric Birefringence. Appl. Clay Sci. 2018, 160, 71–80. [Google Scholar] [CrossRef]
- Xing, J.; Xu, Z.; Deng, B. Enhanced oxidation resistance of polyphenylene sulfide composites based on montmorillonite modified by benzimidazolium salt. Polymers 2018, 10, 83. [Google Scholar] [CrossRef]
- Tang, Y.; Deng, S.; Ye, L.; Yang, C.; Yuan, Q.; Zhang, J.; Zhao, C. Effects of unfolded and intercalated halloysites on mechanical properties of halloysite-epoxy nanocomposites. Compos. Part A 2011, 42, 345–354. [Google Scholar] [CrossRef]
- Qiu, K.; Netravali, A.N. Halloysite nanotube reinforced biodegradable nanocomposites using noncrosslinked and malonic acid crosslinked polyvinyl alcohol. Polym. Compos. 2013, 34, 799–809. [Google Scholar] [CrossRef]
- Liu, M.; Zhang, Y.; Zhou, C. Nanocomposites of halloysite and polylactide. Appl. Clay Sci. 2013, 75, 52–59. [Google Scholar] [CrossRef]
- Patra, N.; Salerno, M.; Diaspro, A.; Athanassiou, A. Effect of solvents on the dynamic viscoelastic behavior of poly(methyl methacrylate) film prepared by solvent casting. J. Mater. Sci. 2011, 46, 5044–5049. [Google Scholar] [CrossRef]
- Sharma, S.K.; Sudarshan, K.; Sahu, M.; Pujari, P.K. Investigation of free volume characteristics of interfacial layer in Poly (methylmethacrylate) PMMA-alumina nanocomposite and its role on thermal behaviour. RSC Adv. 2016, 6, 72–80. [Google Scholar]
- Okolieocha, C.; Beckert, F.; Herling, M.; Breu, J.; Mülhaupt, R.; Altstädt, V. Preparation of microcellular low-density PMMA nanocomposite foams: Influence of different fillers on the mechanical, rheological and cell morphological properties. Compos. Sci. Technol. 2015, 118, 108–116. [Google Scholar] [CrossRef]
- Li, Z.; Chen, S.; Nambiar, S.; Sun, Y. PMMA/MWCNT nanocomposite for proton radiation shielding applications. Nanotechnology 2016, 27, 234001. [Google Scholar] [CrossRef] [PubMed]
- Patra, N.; Salerno, M.; Malerba, M.; Cozzoli, P.D.; Athanassiou, A. Improvement of thermal stability of poly(methyl methacrylate) by incorporation of colloidal TiO2 nanorods. Polym. Degrad. Stabil. 2011, 96, 1377–1381. [Google Scholar] [CrossRef]
- Patra, N.; Salerno, M.; Cozzoli, P.D.; Barone, A.C.; Ceseracciu, L.; Pignatelli, F.; Carzino, R.; Marini, L.; Athanassiou, A. Thermal and mechanical characterization of poly(methyl methacrylate) nanocomposites filled with TiO2 nanorods. Compos. Part B 2012, 43, 3114–3119. [Google Scholar] [CrossRef]
- Wheeler, P.A.; Wang, J.; Mathias, L.J. Poly (methyl methacrylate)/laponite nanocomposites: Exploring covalent and ionic clay modifications. Chem. Mater. 2006, 18, 3937–3945. [Google Scholar] [CrossRef]
- Zeng, C.; Lee, L.J. Poly (methyl methacrylate) and polystyrene/clay nanocomposites prepared by in-situ polymerization. Macromolecules 2001, 34, 4098–4103. [Google Scholar] [CrossRef]
- Essawy, H. Poly (methyl methacrylate)-kaolinite nanocomposites prepared by interfacial polymerization with redox initiator system. Colloid Polym. Sci. 2008, 286, 795–803. [Google Scholar] [CrossRef]
- Li, Y.; Zhang, B.; Pan, X. Preparation and characterization of PMMA–kaolinite intercalation composites. Compos. Sci. Technol. 2008, 68, 1954–1961. [Google Scholar] [CrossRef]
- Nikolaidis, A.K.; Achilias, D.S.; Karayannidis, G.P. Synthesis and characterization of PMMS/organomodified montmorillonite nanocomposites prepared by in situ bulk polymerization. Ind. Eng. Chem. Res. 2010, 50, 571–579. [Google Scholar] [CrossRef]
- Piscitelli, F.; Posocco, P.; Toth, R.; Fermeglia, M.; Pricl, S.; Mensitieri, G.; Lavorgna, M. Sodium montmorillonite silylation: Unexpected effect of the aminosilane chain length. J. Colloid Interface Sci. 2010, 351, 108–115. [Google Scholar] [CrossRef] [PubMed]
- Barrientos-Ramirez, S.; de Oca-Ramirez, G.M.; Ramos-Fernandez, E.V.; Sepulveda-Escribano, A.; Pastor-Blas, M.M.; Gonzalez-Montiel, A. Surface modification of natural halloysite clay nanotubes with aminosilanes. Application as catalyst supports in the atom transfer radical polymerization of methyl methacrylate. Appl. Catal. A 2011, 406, 22–33. [Google Scholar] [CrossRef]
- Cavallaro, G.; Lazzara, G.; Milioto, S. Dispersions of nanoclays of different shapes into aqueous and solid biopolymeric matrices. Extended physicochemical study. Langmuir 2011, 27, 1158–1167. [Google Scholar] [CrossRef] [PubMed]











| Samples | Mw | Mn | Mw/Mn |
|---|---|---|---|
| PMMA | 585,850 | 230,915 | 2.54 |
| PMMA-H-3% | 593,488 | 320,979 | 1.85 |
| PMMA-TH-3% | 665,752 | 457,961 | 1.45 |
| Samples | Temperature (°C) 5 wt % Loss | Temperature (°C) 10 wt % Loss |
|---|---|---|
| PMMA | 237 | 305 |
| PMMA-H-3% | 261 | 301 |
| PMMA-TH-3% | 283 | 330 |
| Samples | Tensile Strength (MPa) | Elongation at Break (%) | Young’s Modulus (GPa) |
|---|---|---|---|
| PMMA | 32.1 ± 0.4 | 5.1 ± 0.4 | 1.79 ± 0. 08 |
| PMMA-TH-1% | 34.0 ± 0.2 | 2.2 ± 0.1 | 2.12 ± 0. 09 |
| PMMA-TH-3% | 42.1 ± 0.3 | 2.5 ± 0.2 | 2.34 ± 0. 08 |
| PMMA-H-3% | 33.0 ± 0.2 | 2.2 ± 0.1 | 2.07 ± 0. 06 |
| PMMA-KH-3% | 34.6 ± 0.3 | 2.2 ± 0.2 | 2.26 ± 0. 08 |
| PMMA-TH-5% | 34.7 ± 0.3 | 2.3 ± 0.2 | 1.83 ± 0. 06 |
© 2018 by the authors. Licensee MDPI, Basel, Switzerland. This article is an open access article distributed under the terms and conditions of the Creative Commons Attribution (CC BY) license (http://creativecommons.org/licenses/by/4.0/).
Share and Cite
Chen, S.; Yang, Z.; Wang, F. Investigation on the Properties of PMMA/Reactive Halloysite Nanocomposites Based on Halloysite with Double Bonds. Polymers 2018, 10, 919. https://doi.org/10.3390/polym10080919
Chen S, Yang Z, Wang F. Investigation on the Properties of PMMA/Reactive Halloysite Nanocomposites Based on Halloysite with Double Bonds. Polymers. 2018; 10(8):919. https://doi.org/10.3390/polym10080919
Chicago/Turabian StyleChen, Shiwei, Zhizhou Yang, and Fuzhong Wang. 2018. "Investigation on the Properties of PMMA/Reactive Halloysite Nanocomposites Based on Halloysite with Double Bonds" Polymers 10, no. 8: 919. https://doi.org/10.3390/polym10080919
APA StyleChen, S., Yang, Z., & Wang, F. (2018). Investigation on the Properties of PMMA/Reactive Halloysite Nanocomposites Based on Halloysite with Double Bonds. Polymers, 10(8), 919. https://doi.org/10.3390/polym10080919

