Synthesis of Benzene Tetracarboxamide Polyamine and Its Effect on Epoxy Resin Properties
Abstract
:1. Introduction
2. Materials and Methods
2.1. Materials
2.2. Synthesis of Benzene Tetracarboxamide Polyamine (BTCP)
2.3. The Preparation of Epoxy Composition and its Curing Process
2.4. BTCP Characterization
2.5. Analysis of Mechanical and Thermal Properties of the Cured Epoxy Compositions
2.6. Morphology Analysis
3. Results
3.1. Synthesis of BTCP
3.2. Thermal and Mechanical Properties of Epoxy/Prepared Amine Curer Compositions
3.3. FE-SEM Analysis
4. Conclusions
Author Contributions
Acknowledgments
Conflicts of Interest
References
- Chen, C.; Curliss, D. Preparation, characterization, and nanostructural evolution of epoxy nanocomposites. J. Appl. Polym. Sci. 2003, 90, 2276–2287. [Google Scholar] [CrossRef]
- Zhou, C.; Lu, X.; Xin, Z.; Liu, J.; Zhang, Y. Hydrophobic benzoxaine-cured epoxy coatings for corrosion protection. Prog. Org. Coat. 2013, 76, 1178–1183. [Google Scholar] [CrossRef]
- Liu, J.; Tang, J.; Wang, X.; Wu, D. Synthesis, characterization and curing properties of a novel cyclolinear phosphazene-based epoxy resin for halogen-free flame retardancy and high performance. RSC Adv. 2012, 2, 5789–5799. [Google Scholar] [CrossRef]
- Chen, Y.; Zhou, C.; Chang, J.; Zou, H.; Liang, M. Effect of epoxy-silicone copolymer content on the thermal and mechanical properties of cured epoxy resin modified with siloxane. RSC Adv. 2014, 4, 60685–60693. [Google Scholar] [CrossRef]
- Kasemura, T.; Oshibe, Y.; Uozumi, H.; Kawai, S.; Yamada, Y.; Ohmura, H.; Yamamoto, T. Surface modification of epoxy resin with fluorine-containing methacrylic ester copolymers. J. Appl. Polym. Sci. 1993, 47, 2207–2216. [Google Scholar] [CrossRef]
- Li, S.; Wu, Q.; Zhu, H.; Lin, Q.; Wang, C. Impact resistance enhancement by adding core-shell particle to epoxy resin modified with hyperbranched polymer. Polymers 2017, 9, 684. [Google Scholar] [CrossRef]
- Yan, Z.; Liu, W.; Wang, H.; Su, K.; Xia-Hou, G. Synthesis and characterization of novel fluorinated siloxane star-like copolymer with short perfluoroalkyl chain and used for modification the epoxy resin. J. Fluorine Chem. 2014, 157, 63–72. [Google Scholar] [CrossRef]
- Thomas, R.; Boudenne, A.; Candau, Y.; Thomas, S. Thermophysical properties of CTBN and HTPB liquid rubber modified epoxy blend. J. Appl. Polym. Sci. 2010, 116, 3232–3241. [Google Scholar] [CrossRef]
- Kaynak, C.; Arikan, A.; Tincer, T. Flexibility improvement of short glass fiber reinforced epoxy by using a liquid elastomer. Polymer 2003, 44, 2433–2439. [Google Scholar] [CrossRef]
- Tripathi, G.; Srivastava, D. Cure kinetics of ternary blends of epoxy resins studied by nonisothermal DSC data. J. Appl. Polym. Sci. 2009, 112, 3119–3126. [Google Scholar] [CrossRef]
- Ramas, V.D.; Costa, H.M.; Soares, V.L.P.; Nascimento, R.S.V. Modification of epoxy resin: A comparison of different types of elastomer. Polym. Test. 2005, 24, 387–394. [Google Scholar] [CrossRef]
- Rajasekaran, R.; Alagar, M. Mechanical properties of polyethersulfone modified epoxy/3,3’-bis(maleimidophenyl) phenylphosphine oxide (BMI) intercrosslinked matrices. Bull. Mater. Sci. 2008, 31, 853–858. [Google Scholar] [CrossRef]
- Saleh, A.B.B.; Ishak, Z.A.M.; Hashim, A.S.; Kamil, W.A. Compatibility, mechanical, thermal and morphological properties of epoxy resin modified with carbonyl-terminated butadiene acrylonitrile copolymer liquid rubber. J. Phys. Sci. 2009, 20, 1–12. [Google Scholar]
- Konnola, R.; Joiji, J.; Parameswaranpillai, J.; Joseph, K. Structure and thermo-mechanical properties of CTBN-grafted-GO modified epoxy/DDS composites. RSC Adv. 2015, 5, 61775–61786. [Google Scholar] [CrossRef]
- Tripathi, G.; Srivastava, D. Effect of carboxyl-terminated poly(butadiene-co-acrylonitrile)(CTBN) concentration on thermal and mechanical properties of binary blends of diglycidyl ether of bisphenol-A (DGEBA) epoxy resin. Mater. Sci. Eng. 2007, 443, 262–269. [Google Scholar] [CrossRef]
- Mathew, V.S.; George, S.C.; Parameswaranpillai, J.; Thomas, S. Epoxidized natural rubber/epoxy blends: Phase morphology and thermomechanical properties. J. Appl. Polym. Sci. 2014, 131, 039906. [Google Scholar] [CrossRef]
- Mathew, V.S.; Jyotishkumar, P.; George, S.C.; Gopalakrishnan, P.; Delbreilh, L.; Saiter, J.M.; Saiter, P.J.; Thomas, S. High performance HTLNR/epoxy blend-Phase morphology and thermo-mechanical properties. J. Appl. Polym. Sci. 2012, 215, 804–811. [Google Scholar] [CrossRef]
- Chikhi, N.; Fellahi, S.; Baka, M. Modification of epoxy resin using reactive liquid (ATBN) rubber. Eur. Polym. J. 2002, 38, 251–264. [Google Scholar] [CrossRef]
- Jyotishkumar, P.; Pionteck, J.; Hassler, R.; George, S.M.; Cvelbar, U.; Thomas, S. Studies on stress relaxation and thermomechanical properties of Poly(acrylonitrile-butadiene-styrene) modified epoxy-amine systems. Ind. Eng. Chem. Res. 2011, 50, 4432–4440. [Google Scholar]
- Bucknall, C.B.; Patridge, I.K. Phase separation in epoxy resins containing polyethersulphone. Polymer 1983, 24, 639–644. [Google Scholar] [CrossRef]
- Bucknall, C.B.; Partridge, I.K. Addition of polyethersulphone to epoxy resins. Br. Polym. J. 1983, 15, 71–75. [Google Scholar] [CrossRef]
- Raghava, R.S. Role of matrix-particle interface adhesion on fracture toughness of dual phase epoxy-polyethersulfone blend. J. Polym. Sci. Pol. Phys. 1987, 25, 1017–1031. [Google Scholar] [CrossRef]
- Bucknall, C.B.; Gilbert, A.H. Toughening tetrafunctional epoxy resins using polyetherimide. Polymer 1989, 30, 213–217. [Google Scholar] [CrossRef]
- Sunny, A.T.; Vijayan, P.P.; Adhikari, R.; Mathew, S.; Thomas, S. Copper oxide nanoparticle in an epoxy network: Microstructure, chain confinement and mechanical behavior. Phys. Chem. Chem. Phys. 2016, 18, 19655–19667. [Google Scholar] [CrossRef] [PubMed]
- Reghunadhan, A.; Datta, J.; Kalarikkal, N.; Thomas, S. Development of nanoscale morphology and role of viscoelastic phase separation on the properties of epoxy/recycled polyurethane blends. Polymer 2017, 117, 96–106. [Google Scholar] [CrossRef]
- Ratna, D.; Banthia, A.K.; Deb, P.C. Acrylate-based liquid rubber as impact modifier for epoxy resin. J. Appl. Polym. Sci. 2001, 80, 1792–1801. [Google Scholar] [CrossRef]
- Thomas, R.; Abraham, J.; Thomas, P.; Thomas, S.P. Influence of carboxyl-terminated (butadiene-co-acrylonitrile) loading on the mechanical and thermal properties of cured epoxy blends. J. Polym. Sci. Pol. Phys. 2004, 42, 2531–2544. [Google Scholar] [CrossRef]
- Park, S.J.; Kim, H.C. Thermal stability and toughening of epoxy resin with polysulfone resin. J. Polym. Sci. Pol. Phys. 2001, 39, 121–128. [Google Scholar] [CrossRef]
- Pillai, J.P.; Pionteck, J.; Häβler, R.; Sinturel, C.; Mathew, V.S.; Thomas, S. Effect of cure conditions on the generated morphology and viscoelastic properties of a poly(acrylonitrile-butadiene-styrene) modified epoxy-amine system. Ind. Eng. Chem. Res. 2012, 51, 2586–2595. [Google Scholar] [CrossRef]
- Kojio, K.; Furukawa, M.; Matsumura, S.; Motokucho, S.; Osajima, T.; Yoshinaga, K. The effect of cross-linking density and dangling chains on surface molecular mobility of network polyurethanes. Polym. Chem. 2012, 3, 2287–2292. [Google Scholar] [CrossRef]
- Elrehim, M.A.; Voit, B.; Bruchmann, B.; Eichhorn, K.J.; Grundke, K.; Bellmann, C. Structural and end-group effects on bulk and surface properties of hyperbranched poly(urea urethane)s. J. Polym. Sci. Pol. Chem. 2005, 43, 3376–3392. [Google Scholar] [CrossRef]
- Akbari, R.; Beheshty, M.H.; Shervin, M. Toughening of dicyandiamide-cured DGEBA-based epoxy resins by CTBN liquid rubber. Iran. Polym. J. 2013, 22, 313–324. [Google Scholar] [CrossRef]
- Thomas, R.; Yumei, D.; Yuelong, H.; Le, Y.; Moldenaers, P.; Weimin, Y.; Czigany, T.; Thomas, S. Miscibility, morphology, thermal and mechanical properties of a DGEBA based epoxy resin toughened with a liquid rubber. Polymer 2008, 49, 278–794. [Google Scholar] [CrossRef]











| Sample | BTCP (phr) | Epoxy (g) | DICY (g) | Amicure (g) | BTCP (g) |
|---|---|---|---|---|---|
| 1 | 0 | 150 | 16.86 | 0.315 | 0 |
| 2 | 5 | 150 | 16.86 | 0.315 | 7.5 |
| 3 | 10 | 150 | 16.86 | 0.315 | 15 |
| 4 | 20 | 150 | 16.86 | 0.315 | 30 |
| Appearance | White Powder |
|---|---|
| Acid value (mg KOH g−1) | 0.019 |
| Mn (g/mol) | 463,200 |
| Mw (g/mol) | 572,630 |
| Mw/Mn | 1.23 |
| Melting temperature (°C) | 190 |
| Sample | BTCP (phr) | Onset temperature (°C) | Tpeak (°C) | Tg (°C) |
|---|---|---|---|---|
| 1 | 0 | 154.55 | 169.74 | 125.81 |
| 2 | 5 | 155.11 | 169.96 | 119.36 |
| 3 | 10 | 157.93 | 1·72.29 | 117.49 |
| 4 | 20 | 163.45 | 175.82 | 108.74 |
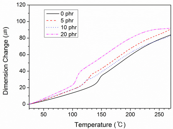
| Sample | BTCP (phr) | CTE (μm/m·°C) | Tg (°C) | |
|---|---|---|---|---|
| α1 | α2 | |||
| 1 | 0 | 62.27 | 125.20 | 146.47 |
| 2 | 5 | 79.80 | 111.20 | 132.02 |
| 3 | 10 | 80.13 | 100.80 | 120.68 |
| 4 | 20 | 106.30 | 71.98 | 107.06 |
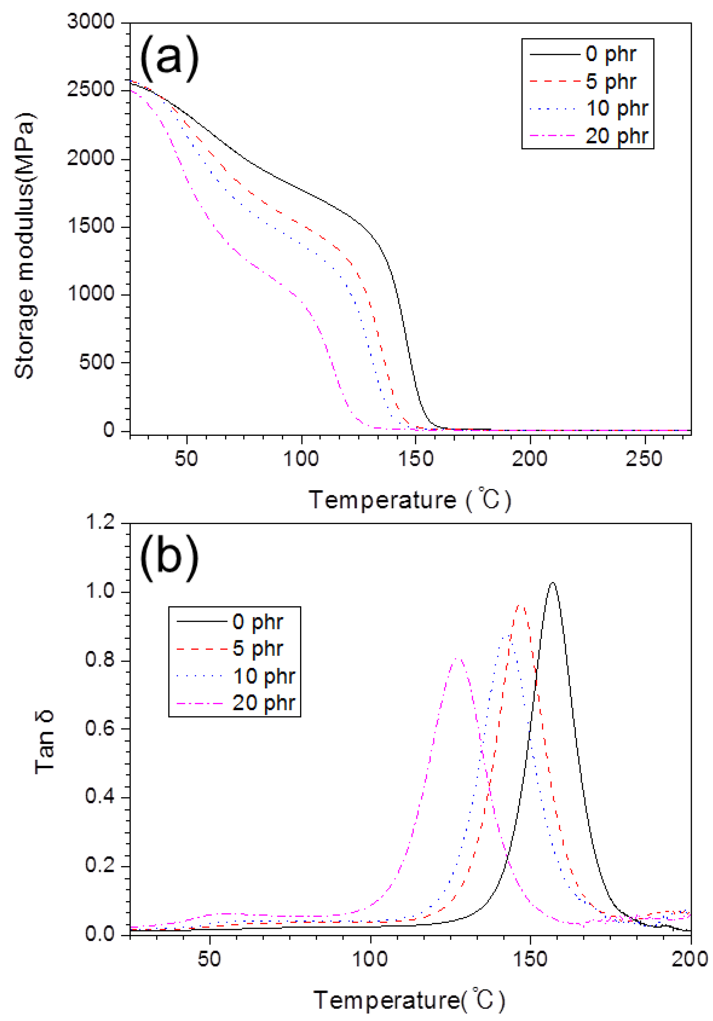
| Sample | BTCP (phr) | Storage modulus (MPa) | Tan δ | |
|---|---|---|---|---|
| 25 °C | 175 °C | |||
| 1 | 0 | 2553 | 12.79 | 156.76 |
| 2 | 5 | 2574 | 11.52 | 146.84 |
| 3 | 10 | 2574 | 10.90 | 142.07 |
| 4 | 20 | 2505 | 9.28 | 127.07 |
© 2018 by the authors. Licensee MDPI, Basel, Switzerland. This article is an open access article distributed under the terms and conditions of the Creative Commons Attribution (CC BY) license (http://creativecommons.org/licenses/by/4.0/).
Share and Cite
Yu, S.; Lee, W.; Seo, B.; Lim, C.-S. Synthesis of Benzene Tetracarboxamide Polyamine and Its Effect on Epoxy Resin Properties. Polymers 2018, 10, 782. https://doi.org/10.3390/polym10070782
Yu S, Lee W, Seo B, Lim C-S. Synthesis of Benzene Tetracarboxamide Polyamine and Its Effect on Epoxy Resin Properties. Polymers. 2018; 10(7):782. https://doi.org/10.3390/polym10070782
Chicago/Turabian StyleYu, Seoyoon, Wonjoo Lee, Bongkuk Seo, and Chung-Sun Lim. 2018. "Synthesis of Benzene Tetracarboxamide Polyamine and Its Effect on Epoxy Resin Properties" Polymers 10, no. 7: 782. https://doi.org/10.3390/polym10070782
APA StyleYu, S., Lee, W., Seo, B., & Lim, C.-S. (2018). Synthesis of Benzene Tetracarboxamide Polyamine and Its Effect on Epoxy Resin Properties. Polymers, 10(7), 782. https://doi.org/10.3390/polym10070782
