Abstract
Poly(sodium 2-acrylamido-2-methylpropanesulfonate) (PAMPSNa) was prepared via reversible addition-fragmentation chain transfer (RAFT) radical polymerization. An ionic liquid polymer (PAMPSP4448) was then prepared by exchanging the pendant counter cation from sodium (Na+) to tributyl-n-octylphosphonium (P4448+). We studied the ultrasound- and thermo-responsive behaviors of PAMPSP4448 in water. When the aqueous PAMPSP4448 solution was heated from 5 to 50 °C, the solution was always transparent with 100% transmittance. Unimers and interpolymer aggregates coexisted in water in the temperature range 5–50 °C. Generally, hydrogen bonding interactions are broken as the temperature increases due to increased molecular motion. Above 25 °C, the size of the interpolymer aggregates decreased, because hydrophobic interactions inside them were strengthened by dehydration accompanying cleavage of hydrogen bonds between water molecules and the pendant amide or sulfonate groups in PAMPSP4448. Above 25 °C, sonication of the aqueous solution induced an increase in the collision frequency of the aggregates. This promoted hydrophobic interactions between the aggregates to form larger aggregates, and the aqueous solution became turbid. When the temperature was decreased below 8 °C, hydrogen bonds reformed between water molecules and the pendant amide or sulfonate groups, allowing PAMPSP4448 to redissolve in water to form a transparent solution. The solution could be repeatedly controlled between turbidity and transparency by sonication and cooling, respectively.
1. Introduction
The chemical and physical properties of stimuli-responsive polymers can be controlled by external stimuli such as temperature, pH, and light. Various studies on stimuli-responsive polymers have been reported, concerning their application to drug delivery systems and surface coatings for cell culture dishes [,,,,]. Thermo-responsive polymers have been widely used as stimuli-responsive polymers. Their lower critical solution temperature (LCST) behavior in water is particularly well known [,]. These polymers can dissolve in water below the LCST; however, they cannot dissolve above the LCST. Recently, Kohno et al. [,] reported that LCST behavior was observed at 57 °C for aqueous poly(tetrabutylphosphonium styrenesulfonate) (PSSP4444), which was prepared by exchanging the counter cation, sodium (Na+) in poly(sodium styrenesulfonate) (PSSNa), with tetrabutylphosphonium (P4444+). The monomer, tetrabutylphosphonium styrenesulfonate in PSSP4444, is an ionic liquid. PSSP4444 dissolves in water via hydrogen bonding interactions between water molecules as donors and oxygen atoms in the pendant sulfonate groups as acceptors below the LCST []. However, above the LCST, dehydration accompanies destruction of the hydrogen bonds, and the hydrophobic polymer chains then aggregate and are precipitated. An ionic liquid polymer, poly(tributyl-4-vinylbenzyl phosphonium hexylsulfonate), which was prepared by exchanging the counter chloride anion in poly(tributyl-4-vinylbenzyl phosphonium chloride) to the hexylsulfonate anion, shows LCST-type thermo-responsive behavior at 53 °C in water []. In this manner, conventional polyelectrolytes can sometimes be used to synthesize ionic liquid polymers by exchanging the counter ion to endow thermo-responsive behavior.
Sonication is often used to increase molecular motion to break and disperse non-covalent aggregates [,]. Ultrasound is also used to achieve decomposition by breaking chemical bonds. Some research groups reported that ultrasound can be used as an external stimulus to change the association state. Diblock copolymers composed of a hydrophilic poly(ethylene oxide) (PEO) block and a hydrophobic poly(2-tetrahydropyranyl methacrylate) (PTHPMA) block can form polymer micelles in water with hydrophobic PTHPMA cores and hydrophilic PEO shells [,]. When the aqueous polymer solution was sonicated, the PTHPMA block changed to hydrophilic poly(methacrylic acid) due to hydrolysis of its pendant ester groups. The hydrophobic core then became hydrophilic to dissociate the micelle. Although sonication is mainly used to increase dispersibility and induce cleavage of weak chemical bonds by providing high energy to molecules, ultrasound induced association phenomena were reported. Naota et al. [,] reported that sonication of binuclear Pt complexes in an organic solvent formed a gel due to intermolecular interactions, and the gel was returned to a sol state by heating.
In this study, poly(sodium 2-acrylamido-2-methylpropanesulfonate) (PAMPSNa) was prepared via RAFT radical polymerization, and the counter cation, Na+, was then exchanged with tributyl-n-octylphosphonium (P4448+) or tetrabutylphosphonium (P4444+) cations to obtain two ionic liquid polymers (PAMPSP4448 and PAMPSP4444) (Figure 1). The aqueous PAMPSP4444 solution did not show ultrasound- or thermo-responsive behavior. However, the aqueous PAMPSP4448 solution could be repeatedly controlled between turbidity and transparency via sonication and cooling, respectively. We studied the ultrasound- and thermo-responsive behavior of the aqueous PAMPSP4448 solution using percent transmittance (%T), light scattering, transmission electron microscopy (TEM), and fluorescence probe techniques.

Figure 1.
Chemical structures of (a) PAMPSP4448 and (b) PAMPSP4444.
2. Materials and Methods
2.1. Materials
2-Acrylamido-2-methylpropanesulfonic acid (AMPS, 98%, Tokyo Chemical Industry, Tokyo, Japan), 4,4′-azobis(4-cyanovaleric acid) (V-501, 98%, Wako Pure Chemical, Osaka, Japan), tetrabutylphosphonium bromide (P4444Br, 95%, Wako Pure Chemical), and tributyl-n-octylphosphonium bromide (P4448Br, 98%, Tokyo Chemical Industry) were used as received. 4-Cyanopentanoic acid dithiobenzoate (CPD) was synthesized as previously reported []. Pyrene (97%, Wako Pure Chemical) was purified by recrystallization from ethanol. Methanol was dried with 3A molecular sieves and purified by distillation. Water was purified with an ion exchange column system. Other reagents were used as received.
2.2. Synthesis of Poly(Sodium 2-Acrylamido-2-Methylpropanesulfonate) (PAMPSNa)
A typical procedure for preparing poly(sodium 2-acrylamido-2-methylpropanesulfonate) (PAMPSNa) is as follows []. AMPS (5.00 g, 24.1 mmol) was neutralized with NaOH to adjust it to pH 6.0 in water (150 mL). CPD (67.4 mg, 0.24 mmol) and V-501 (27.1 mg, 0.097 mmol) were added to the solution. This was heated at 70 °C for 4 h under argon. The conversion of AMPS was estimated from 1H NMR (= 91.0%). After polymerization, the solution was dialyzed against pure water for two days using a dialysis membrane (MWCO = 14,000). The polymer (PAMPSNa) was recovered by freeze-drying (4.85 g, 86.7%). The number-average molecular weight (Mn(NMR)) and degree of polymerization (DP(NMR)) were 2.09 × 104 and 90, respectively, estimated from 1H NMR. The molecular weight distribution (Mw/Mn) was 1.18, estimated from gel-permeation chromatography (GPC).
2.3. Synthesis of Poly(Tributyl-N-Octylphosphonium 2-Acrylamido-2-Methylpropanesulfonate) (PAMPSP4448)
PAMPSNa (0.500 g, 0.0265 mmol, Mn(NMR) = 2.09 × 104, Mw/Mn = 1.18) and P4448Br (8.63 g, 21.8 mmol) were dissolved in methanol (21.8 mL). The solution was heated at 60 °C for 48 h. After the reaction, the mixture was dialyzed against pure water for three days. The polymer (PAMPSP4448) was recovered by freeze-drying (0.617 g, 49.8%). Mn(NMR) and Mw/Mn were 4.68 × 104 and 1.22, respectively.
2.4. Synthesis of Poly(Tetrabutylphosphonium 2-Acrylamido-2-Methylpropanesulfonate) (PAMPSP4444)
PAMPSP4444 was prepared as a reference sample. PAMPSNa (1.00 g, 0.0467 mmol, Mn(NMR) = 2.14 × 104, Mw/Mn = 1.39) and P4444Br (14.8 g, 43.5 mmol) were dissolved in methanol (87.5 mL). The solution was heated at 60 °C for 48 h. After the reaction, the mixture was dialyzed against pure water for three days. The polymer (PAMPSP4448) was recovered by freeze-drying (1.12 g, 65.8%). Mn(NMR) and Mw/Mn were 3.75 × 104 and 1.29, respectively.
2.5. Preparation of Aqueous Polymer Solution
Predetermined amounts of PAMPSP4448 and PAMPSP4444 were dissolved in water. The aqueous solution was cooled in an ice bath for 5 min at 0 °C. Sonication was performed with a 2510J-MT apparatus (125 W, 42 kHz, Branson, Atsugi, Japan).
2.6. Measurements
1H NMR spectra were measured with a DRX-500 NMR spectrometer (Bruker, Yokohama, Japan) operating at 500 MHz. GPC measurements of PAMPSNa were performed with a DP8020 pump (Tosoh, Tokyo, Japan) and an RI8020 refractive index detector (Tosoh, Tokyo, Japan). An Asahipak SB-804 HQ column (Shodex, Tokyo, Japan) was used. A mixed solvent of phosphate buffer at pH 8.0 and acetonitrile (9/1, v/v) was used as the eluent at a flow rate of 0.6 mL/min at 40 °C. Mn(GPC) and Mw/Mn were calibrated using PSSNa standards. GPC measurements of PAMPSP4448 and PAMPSP4444 were performed with a PU-2085 Plus pump (Jasco, Tokyo, Japan) and an RI SE-61 refractive index detector (Shodex, Tokyo, Japan). A 7.0 μm bead size GF-7M HQ column (Shodex, Tokyo, Japan) was used. Methanol containing LiClO4 (0.1 M) was used as the eluent at a flow rate of 0.6 mL/min at 40 °C. Mn(GPC) and Mw/Mn for the samples were calibrated using PEO standards. Percent transmittance (%T) measurements were performed using a V-630 BIO UV-vis spectrometer (Jasco, Tokyo, Japan) with a 10 mm path length quartz cell. The temperature was controlled using a Jasco ETC-717 thermostat system (Jasco, Tokyo, Japan). The %T at 800 nm for the aqueous solution was monitored while heating from 0 to 50 °C, and while cooling from 50 to 0 °C at 1 °C/min with stirring. Phase-contrast microscopic observation was performed using a BZ-8000 fluorescence microscope (Keyence, Osaka, Japan) with a Plan Fluor ELWD DM 20× NAO 0.45 objective lens (Nikon, Tokyo, Japan). Dynamic light scattering (DLS) measurements were performed using a Zetasizer Nano-ZS instrument (Malvern, Worcestershire, UK) equipped with an He–Ne laser (4 mW). The obtained data were analyzed using Zetasizer Software 7.11 (Malvern, Worcestershire, UK). Transmission electron microscopy (TEM) was performed using a TEM-2100 microscope (JEOL, Tokyo, Japan) operated at an accelerating voltage of 200 kV. TEM samples were prepared by placing one drop of aqueous PAMPSP4448 solution on a copper grid coated with thin films of Formvar. Excess water was removed using a filter paper. The samples were stained with sodium phosphotungstate and dried under vacuum. Fluorescence emission measurements were performed using an F-2500 fluorescence spectrophotometer (Hitachi, Tokyo, Japan). Pyrene was used as a hydrophobic fluorescence probe. The polymer concentration was maintained at 0.5 g/L. PAMPSP4448 was dissolved in saturated aqueous pyrene solution (2.07 × 10−7 M). Fluorescence emission spectra were obtained at 25 °C with an excitation wavelength of 334 nm, and the excitation and emission slit widths were maintained at 20 and 2.5 nm, respectively.
3. Results and Discussion
3.1. Synthesis of Polymers
Ionic liquid polymer, PAMPSP4448, was synthesized by exchanging the pendant counter cation from Na+ to P4448+ in PAMPSNa prepared via RAFT radical polymerization (Figure S1). The reference polymer, PAMPSP4444, was also synthesized using the same method. The percent conversion (p) was estimated from decreases in the 1H NMR peak area integrated intensity ratios of vinyl protons at 5.6, 6.1, and 6.2 ppm in AMPS monomer during the polymerization. The theoretical number-average molecular weight (Mn(theory)) was calculated using the following equation:
where [M]0 is the initial molar concentration of the monomer, [CTA]0 is the initial molar concentration of CTA, Mm is the molecular weight of the monomer, and MCTA is the molecular weight of CTA. The Mn and Mw/Mn values of the obtained polymers are summarized in Table 1.

Table 1.
Number-average molecular weight (Mn), molecular weight distribution (Mw/Mn), and exchange ratio (ER).
The DP(NMR) and Mn(NMR) of PAMPSNa were calculated as 90 and 2.09 × 104, respectively, by comparing the 1H NMR integrated intensity ratio of the pendant methylene protons at 3.2 ppm to the terminal phenyl protons at 7.4–8.1 ppm in D2O (Figure 2a). The obtained PAMPSNa had a well-controlled structure, because Mn(theory) and Mn(NMR) were close, and Mw/Mn was narrow.

Figure 2.
1H NMR spectra for (a) PAMPSNa in D2O and (b) PAMPSP4448 in CDCl3.
Methylene protons attributed to the octyl group at 1.2 ppm and methylene protons adjacent to the phosphorous atom in P4448 at 2.3 ppm could be observed in the 1H NMR spectrum for PAMPSP4448 in CDCl3 (Figure 2b). The exchange ratio (ER) of Na+ to P4448+ was 95.6%, estimated from the integrated area intensity ratio of the pendant methylene protons in PAMPS at 2.8–3.3 ppm to the methyl protons in P4448 at 0.8–0.9 ppm. The phenyl protons at the polymer chain end could be observed for PAMPSNa at 7.4–8.1 ppm but not for PAMPSP4448. During the exchange reaction involving the counter cation, most of the terminal dithiobenzoate groups may have been decomposed. Similarly, the ER for the reference polymer, PAMPSP4444, was 99.7% (Figure S2).
3.2. Turbidimetry
When the temperature of the aqueous PAMPSP4448 solution with Cp = 5.0 g/L was changed from 5 to 50 °C and from 50 to 5 °C at 1 °C/min, %T was constant at 100%, regardless of the temperature (Figure 3a). However, when the aqueous PAMPSP4448 solution was heated to 50 °C and sonicated at 50 °C for 10 min, it became turbid with a decrease in %T (Video S1). We investigated the relationship between the sonication time and the %T of the solution (Figure S3). A decrease in %T was observed when the sonication time was increased up to 3 min. When sonication was performed for more than 4 min, %T decreased to 0%. While the %T of the aqueous PAMPSP4448 solutions with Cp = 0.5 and 1.0 g/L remained constant (= 100%) regardless of the temperature, the solution became turbid upon sonication at 50 °C for 10 min (Figure S4). Hydrophobic interactions of the pendant alkyl chains in P4448 may induce the formation of large aggregates, presumably because of an increase in the collision frequency of interpolymer chains, causing the solution to become turbid. This phase separation behavior upon sonication will be discussed in more detail later in conjunction with the results of light scattering, TEM, and fluorescence probe techniques. When the sonicated turbid aqueous solution with Cp = 5.0 g/L was cooled below 8 °C, %T returned to 100% (Figure 3a). With Cp = 0.5 and 1.0 g/L, %T returned to 100% below 10 °C (Figure S4). The sonicated turbid solution became clear with cooling, probably because the large aggregates were hydrated and dissociated, allowing them to dissolve in water. As the temperature decreased, the molecular motion decreased to allow hydrogen bonds to form between water molecules and the pendant amide or sulfonate groups in PAMPSP4448.

Figure 3.
Percent transmittance (%T) at 800 nm for PAMPSP4448 in (a) pure water and (b) 0.1 M aqueous NaCl as a function of temperature at Cp = 5 g/L. The temperature was increased from 0 to 50 °C (heating; —) and decreased from 50 to 0 °C (cooling, ---) at 1 °C/min with stirring. PAMPSP4448 in pure water was sonicated for 10 min at 50 °C and then cooled.
The %T of the unsonicated aqueous PAMPSP4448 solution was almost 100% regardless of temperature. This observation suggested that further interpolymer aggregation due to hydrophobic interactions between alkyl chains in P4448 may be suppressed by electrostatic repulsion of the pendant sulfonate groups. Electrostatic repulsion of polyelectrolytes can be screened by adding low-molecular-weight salts such as NaCl []. We measured the temperature dependence of the %T of the aqueous PAMPSP4448 solution containing 0.1 M NaCl (Figure 3b). A decrease in %T was observed as temperature increased from 12 °C. As the temperature decreased from 50 °C, %T increased and reached 100% at temperatures below 8 °C. The hydrophobic interactions of the alkyl chains in P4448 became stronger in aqueous NaCl, because the electrostatic repulsion of the sulfonate anions in PAMPSP4448 was screened. Therefore, the aqueous NaCl showed LCST behavior. This observation suggested that heat-induced interpolymer aggregation was suppressed in pure water, because the electrostatic repulsion of the pendant sulfonate groups outweighs the hydrophobic interactions of alkyl chains in P4448.
The influence of the chemical structure of the counter cation on ultrasound- and thermo-responsive behaviors was investigated. We studied the temperature dependence of the %T of aqueous PAMPSP4444 solution containing P4444 with four butyl groups as a counter cation (Figure S5). As aqueous PAMPSP4444 solutions with and without NaCl at Cp = 5.0 g/L were heated to 50 °C, no changes in %T were observed. Though the solutions were sonicated at 50 °C for 10 min, %T remained almost constant at 100%. The aqueous PAMPSP4444 solution does not exhibit ultrasound- or thermo-responsive behaviors. The alkyl chain length of the counter cation is thus important with respect to ultrasound- and thermo-responsive behaviors.
Sonication of the aqueous PAMPSP4448 solution at 50 °C induced turbidity. The turbid aqueous solution was observed with a phase-contrast microscope (Figure 4). Spherical large aggregates with an average radius of 2.5 μm could be observed. The sonicated turbid aqueous PAMPSP4448 solution cannot be measured by DLS due to its high turbidity.

Figure 4.
(a) Digital photograph and (b) phase-contrast microscope images of the turbid aqueous PAMPSP4448 solution at Cp = 5 g/L after sonication.
3.3. Light Scattering
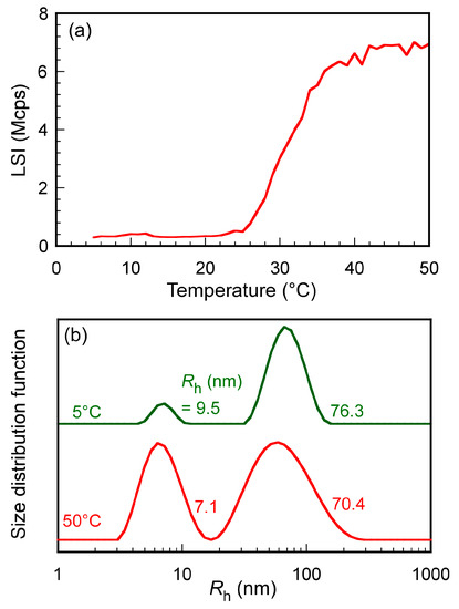
We measured the light scattering intensity (LSI) of the aqueous PAMPSP4448 solution with increasing temperature from 5 to 50 °C (Figure 5a). Although %T was always constant at 100% regardless of temperature, LSI increased at ≥25 °C. The LSI values for the unsonicated transparent aqueous PAMPSP4448 solution at 5 and 50 °C were 0.33 and 7.22 Mcps, respectively. This indicated that dehydration of PAMPSP4448 may proceed at ≥25 °C. When the solution was sonicated for 10 min at 13 °C, it did not become turbid. Phase separation occurred when the aqueous solution was sonicated above 25 °C, where the LSI started to increase. The hydrodynamic radius (Rh) distributions for the aqueous PAMPSP4448 solutions were measured at 5 and 50 °C, because the temperature dependence on the LSI suggested that the association state changed at temperature above 25 °C (Figure 5b). A bimodal Rh distribution with unimers (Rh = 9.5 nm) and aggregates (Rh = 76.3 nm) was observed at 5 °C. The PAMPSP4448 polymer chains were associated with the formation of interpolymer aggregates due to the hydrophobic interactions of the alkyl chains in the counter cation, P4448. At 50 °C, a bimodal Rh distribution was also observed with unimers (Rh = 7.1 nm) and aggregates (Rh = 70.4 nm). The aggregate size (Rh = 70.4 nm) at 50 °C was smaller than that at 5 °C (Rh = 76.3 nm). As the temperature increased, the polymer chain was dehydrated due to cleavage of the hydrogen bonds between water molecules and the pendant amide or sulfonate groups caused by an increase in molecular motion. Dehydration may proceed preferentially inside the interpolymer aggregates with increasing temperature. The aggregate size decreased at 50 °C due to strong hydrophobic interactions inside the aggregates. As the temperature increased, the Rh values of PAMPSP4448 decreased, while the LSI increased. In general, the LSI depends on the particle number, size, and density in solutions [,]. The LSI increased because of the increase in the density of the dehydrated interpolymer aggregates that occurred as temperature increased.

Figure 5.
(a) Light scattering intensity (LSI) for aqueous PAMPSP4448 solution as a function of temperature. (b) Hydrodynamic radius (Rh) distributions for unsonicated transparent aqueous PAMPSP4448 solutions at 5 and 50 °C.
The aqueous PAMPSP4448 solution was sonicated at 50 °C to induce turbidity. The solution was then cooled below 5 °C with an ice bath and subsequently heated to 25 °C to prepare the transparent aqueous solution. Furthermore, the cycles of heating to 50 °C, sonication, cooling with an ice bath, and heating to 25 °C were repeated two more times. The Rh distributions for the transparent aqueous solution at 25 °C after each cycle were bimodal with values of about 7 and 70 nm, which were almost constant regardless of repetition (Figure S6). The aqueous PAMPSP4448 solution could be made turbid upon sonication and transparent by cooling three times.
The aqueous PAMPSP4448 solution was sonicated at 50 °C to induce turbidity. A portion of the sample was cooled to a temperature below 5 °C with an ice bath to prepare a transparent solution. TEM samples were prepared using turbid and transparent solutions at 20 °C (Figure 6). Spherical aggregates with an average radius of 38 nm were observed in a TEM image of the transparent solution. The radius was smaller than the Rh (=ca. 76 nm) of the aggregates estimated from DLS measurements of the transparent aqueous solution at 5 °C. The average radius of the aggregates in the turbid solution was 370 nm, estimated from TEM, which was smaller than that (2.5 μm) estimated from phase-contrast optical microscopy images. The radii estimated from TEM were always smaller than those estimated from DLS and optical microscopy measurements, because the dried samples were observed under reduced pressure for TEM measurements.

Figure 6.
TEM images of aqueous PAMPSP4448 solutions under (a) transparent and (b) turbid conditions.
3.4. Fluorescence Probe
To study microenvironmental polarities inside interpolymer aggregates, we used a hydrophobic pyrene fluorescence probe. The pyrene fluorescence intensity ratio (I3/I1) of the 3rd to 1st vibronic peaks increases when the pyrene molecule exists in a hydrophobic environment [,]. When pyrene was dissolved in pure water without polymer, I3/I1 was 0.55 regardless of sonication and temperature.
A predetermined amount of PAMPSP4448 was dissolved in pyrene saturated pure water. We measured pyrene fluorescence from transparent aqueous solutions at 5 and 50 °C, and from turbid aqueous solution sonicated at 50 °C (Figure 7). The I3/I1 ratios for the transparent solutions at 5 and 50 °C were 0.66 and 0.68, respectively. These observations indicated that the pyrene molecules existed in a more hydrophobic environment than in the aqueous phase. The pyrene molecules may be incorporated into hydrophobic domains formed by the association of the alkyl chains in P4448. The I3/I1 ratio for the transparent solution at 50 °C was slightly higher than that at 5 °C, which suggests that dehydration of interpolymer aggregates proceeded with increasing temperature. This observation agrees with the DLS results (Figure 5), which indicated that dehydration proceeded inside the interpolymer aggregates to decrease the size with increasing temperature. The I3/I1 ratio for the turbid solution after sonication was 0.68, which was the same as that for the transparent solution at 50 °C. This indicated that sonication does not change the hydrophobicity inside interpolymer aggregates, while the frequency of collisions increased to form large aggregates.

Figure 7.
Fluorescence spectra of pyrene excited at 334 nm in the presence of PAMPSP4448 in water for transparent aqueous solutions at 5 (---) and 50 °C (---), and a turbid aqueous solution at 50 °C (—).
3.5. The Proposed Mechanism of Ultrasound- and Thermo-Responsive Behavior
We discuss the mechanism of the ultrasound- and thermo-responsive behavior of PAMPSP4448 in water in conjunction with the above experimental results (Figure 8). Below 25 °C, the pendant amide and sulfonate groups in PAMPSP4448 formed hydrogen bonds with water molecules to hydrate the polymer chains. Furthermore, the charged parts of the sulfonate anions and quaternary phosphonium cations were also hydrated. Unimer chains with Rh = 9.5 nm and interpolymer aggregates with Rh = 76.3 nm coexisted in water below 25 °C. The aqueous solution where %T = 100% at 800 nm was transparent because of the small particle sizes. The interpolymer aggregates were formed by hydrophobic interactions of the P4448 alkyl chains. Although a large portion of the hydrophobic alkyl chains in P4448 may exist inside the interpolymer aggregates, the pendant hydrated ionic parts and amide groups may be localized on their surfaces. The aggregation number may be constant, and precipitation did not occur due to the hydrated aggregate surfaces. Some hydrated parts of PAMPSP4448 may penetrate the hydrophobic domains, because the hydrophilic parts are connected to the main chain.

Figure 8.
Conceptual illustration of the ultrasound- and thermo-responsive behavior of PAMPSP4448 in water.
At ≥25 °C, dehydration progressed due to loss of the hydrogen bonding interactions of water molecules and the pendant amide or sulfonate groups caused by an increase in molecular motion. The hydrophobic interactions inside the interpolymer aggregates were strengthened by dehydration, and the unimer and aggregate sizes decreased to 7.1 and 70.4 nm, respectively. The LSI increased as a result of an increase in the density of the aggregates with dehydration; however, the solution became transparent at 50 °C because of their small particle sizes.
The collision frequency of polymer chains and interpolymer aggregates increased when the somewhat dehydrated polymers were sonicated above 25 °C. When the interpolymer aggregates collide, fusion may occur due to hydrophobic interactions, increasing the size to 2.5 µm. Consequently, the aqueous solution became turbid upon sonication at ≥25 °C. When the turbid solution was cooled below 8 °C, the hydrogen bonds between water molecules and the pendant amide or sulfonate groups in PAMPSP4448 reformed. Thus, the polymer chains were hydrated. Consequently, the large aggregates with a radius of 2.5 µm dissociated into unimers and small aggregates with Rh = 76.3 nm, so that the aqueous polymer solution became transparent. The solution could be repeatedly controlled between turbidity and transparency by sonication and cooling, respectively.
4. Conclusions
PAMPSP4448 was prepared via RAFT radical polymerization and exchange of counter cations. When the temperature of an aqueous PAMPSP4448 solution was increased, it retained its transparency. Interpolymer aggregates were formed from PAMPSP4448 via hydrophobic interactions of the pendant alkyl chains in P4448 in water. At ≥25 °C, dehydration inside the interpolymer aggregates increased, because hydrogen bonding interactions between water molecules and the pendant amide or sulfonate groups were broken due to increased molecular motion. When the aqueous PAMPSP4448 solution was sonicated above 25 °C, the collision frequency of the interpolymer aggregates increased to form large aggregates. Thus, the aqueous solution became turbid upon sonication. When the turbid aqueous solution was cooled below 8 °C, the hydrogen bonds between water molecules and the pendant amide or sulfonate groups reformed to hydrate the polymer chain, and the solution became transparent again. The solution could be repeatedly controlled between turbidity and transparency via sonication and cooling, respectively. No ultrasound- or thermo-responsive behavior was observed for PAMPSP4444 with a different alkyl chain length in the pendant counter cation, P4444, in water. Therefore, the balance between hydration by hydrogen bonding or electrostatic interactions and hydrophobic interactions is critical for ultrasound- and thermo-responsive behavior.
Supplementary Materials
The following are available online at http://www.mdpi.com/2073-4360/10/3/301/s1: Video S1: Ultrasound- and thermo-responsive behavior of PAMPSP4448 aqueous solution; Figure S1: Synthesis route of PAMPSP4448 and PAMPSP4444; Figure S2: 1H NMR spectrum for PAMPSP4444 in CDCl3; Figure S3: Percent transmittance (%T) at 800 nm for the aqueous PAMPSP4448 solutions at Cp = 5.0 g/L as a function of the sonication time at 50 °C; Figure S4: Percent transmittance (%T) at 800 nm for the aqueous PAMPSP4448 solutions as a function of temperature at Cp = 0.5 (a) and 1.0 g/L (b). The temperature was increased from 0 to 50 °C (heating; —) and decreased from 50 to 0 °C (cooling, ---) at 1 °C/min with stirring. The solutions were sonicated for 10 min at 50 °C and then cooled; Figure S5: Percent transmittance (%T) at 800 nm for (a) PAMPSP4444 in water and (b) in 0.1 M aqueous NaCl as a function of temperature at Cp = 5.0 g/L. The temperature was increased from 0 to 50 °C (—) and decreased from 50 to 0 °C (---) at 1°C/min with stirring; Figure S6: Hydrodynamic radius (Rh) distributions for the transparent aqueous PAMPSP4448 solutions at 25 °C. The solution was sonicated at 50 °C. After sonication, the solution was cooled to 5 °C and then heated to 25 °C. Rh distributions were measured for the transparent aqueous PAMPSP4448 solutions at 25 °C after (a) one, (b) two, and (c) three sonication cycles.
Acknowledgments
This work was financially supported by a Grant-in-Aid for Scientific Research (25288101 and 16K14008) from the Japan Society for the Promotion of Science (JSPS), JSPS Bilateral Open Partnership Joint Research Projects, and the Research Program of “Dynamic Alliance for Open Innovation Bridging Human, Environment and Materials” in “Network Joint Research Center for Materials and Devices.”
Author Contributions
Research students Kohei Itsuki, Yuuki Kawata, and Komol Kanta Sharker performed the experimental work. Shin-ichi Yusa was responsible for analyzing the experimental data and writing the paper. All authors approved the manuscript.
Conflicts of Interest
The authors declare no conflict of interest.
References
- Takahashi, H.; Matsuzaka, N.; Nakayama, M.; Kikuchi, A.; Yamato, M.; Okano, T. Terminally functionalized thermoresponsive polymer brushes for simultaneously promoting cell adhesion and cell sheet harvest. Biomacromolecules 2012, 13, 253–260. [Google Scholar] [CrossRef] [PubMed]
- Ma, X.; Tian, H. Stimuli-responsive supramolecular polymers in aqueous solution. Acc. Chem. Res. 2014, 47, 1971–1981. [Google Scholar] [CrossRef] [PubMed]
- Sprouse, D.; Jiang, Y.; Laaser, J.E.; Lodge, T.P.; Reineke, T.M. Tuning cationic block copolymer micelle size by pH and ionic strength. Biomacromolecules 2016, 17, 2849–2859. [Google Scholar] [CrossRef] [PubMed]
- Zhang, X.; Huang, Y.; Ghazwani, M.; Zhang, P.; Li, J.; Thorne, S.H.; Li, S. Tunable pH-responsive polymeric micelle for cancer treatment. ACS Macro Lett. 2015, 4, 620–623. [Google Scholar] [CrossRef]
- Murata, H.; Cummings, C.S.; Koepsel, R.R.; Russell, A.J. Polymer-based protein engineering can rationally tune enzyme activity, pH-dependence, and stability. Biomacromolecules 2013, 14, 1919–1926. [Google Scholar] [CrossRef] [PubMed]
- Deshmukh, S.A.; Sankaranarayanan, S.K.R.S.; Suthar, K.; Mancini, D.C. Role of solvation dynamics and local ordering of water in inducing conformational transitions in poly(N-isopropylacrylamide) oligomers through the LCST. J. Phys. Chem. B 2012, 116, 2651–2663. [Google Scholar] [CrossRef] [PubMed]
- Cheng, H.; Shen, L.; Wu, C. LLS and FTIR studies on the hysteresis in association and dissociation of poly(N-isopropylacrylamide) chains in water. Macromolecules 2006, 39, 2325–2329. [Google Scholar] [CrossRef]
- Kohno, Y.; Saita, S.; Men, Y.; Yuan, J.; Ohno, H. Thermoresponsive polyelectrolytes derived from ionic liquids. Polym. Chem. 2015, 6, 2163–2178. [Google Scholar] [CrossRef]
- Deguchi, Y.; Kohno, Y.; Ohno, H. A fine tuning of LCST-type phase transition of poly(ionic liquid)s in water. Chem. Lett. 2015, 44, 238–240. [Google Scholar] [CrossRef]
- Vchirawongkwin, V.; Pornpiganon, C.; Kritayakornupong, C.; Tongraar, A.; Rode, B.M. The stability of bisulfite and sulfonate ions in aqueous solution characterized by hydration structure and dynamics. J. Phys. Chem. B. 2012, 116, 11498–11507. [Google Scholar] [CrossRef] [PubMed]
- Men, Y.; Schlaad, H.; Yuan, J. Cationic poly(ionic liquid) with tunable lower critical solution temperature-type phase transition. ACS Macro Lett. 2013, 2, 456–459. [Google Scholar] [CrossRef]
- Seshadri, R.; Weiss, J.; Hulbert, G.J.; Mount, J. Ultrasonic processing influences rheological and optical properties of high-methoxyl pectin dispersions. Food Hydrocoll. 2003, 17, 191–197. [Google Scholar] [CrossRef]
- Massey, J.; Power, K.N.; Manners, I.; Winnik, M.A. Self-assembly of a novel organometallic−inorganic block copolymer in solution and the solid state: Nonintrusive observation of novel wormlike poly(ferrocenyldimethylsilane)-b-poly(dimethylsiloxane) micelles. J. Am. Chem. Soc. 1998, 120, 9533–9540. [Google Scholar] [CrossRef]
- Wang, J.; Pelletier, M.; Zhang, H.; Xia, H.; Zhao, Y. High-frequency ultrasound-responsive block copolymer micelle. Langmuir 2009, 25, 13201–13205. [Google Scholar] [CrossRef] [PubMed]
- Xuan, J.; Boissière, O.; Zhao, Y.; Yan, B.; Tremblay, L.; Lacelle, S.; Xia, H.; Zhao, Y. Ultrasound-responsive block copolymer micelles based on a new amplification mechanism. Langmuir 2012, 28, 16463–16468. [Google Scholar] [CrossRef] [PubMed]
- Naota, T.; Koori, H. Molecules that assemble by sound: An application to the instant gelation of stable organic fluids. J. Am. Chem. Soc. 2005, 127, 9324–9325. [Google Scholar] [CrossRef] [PubMed]
- Komiya, N.; Muraoka, T.; Iida, M.; Miyanaga, M.; Takahashi, K.; Naota, T. Ultrasound-induced emission enhancement based on structure-dependent homo- and heterochiral aggregations of chiral binuclear platinum complexes. J. Am. Chem. Soc. 2011, 133, 16054–16061. [Google Scholar] [CrossRef] [PubMed]
- Mitsukami, Y.; Donovan, M.S.; Lowe, A.B.; McCormick, C.L. Water-soluble polymers. 81. Direct synthesis of hydrophilic styrenic-based homopolymers and block copolymers in aqueous solution via RAFT. Macromolecules 2001, 34, 2248–2256. [Google Scholar] [CrossRef]
- Yusa, S.; Shimada, Y.; Mitsukami, Y.; Yamamoto, T.; Morishima, Y. pH-responsive micellization of amphiphilic diblock copolymers synthesized via reversible addition-fragmentation chain transfer polymerization. Macromolecules 2003, 36, 4208–4215. [Google Scholar] [CrossRef]
- Dubois, E.; Cabuil, V.; Boué, F.; Perzynski, R. Structural analogy between aqueous and oily magnetic fluids. J. Chem. Phys. 1999, 111, 7147–7160. [Google Scholar] [CrossRef]
- Waris, R.; Acree, W.E., Jr.; Street, K.W., Jr. Py and BPe solvent polarity scales: Effect of temperature on pyrene and benzo[ghi]perylene fluorescence spectra. Analyst 1988, 113, 1465–1467. [Google Scholar] [CrossRef] [PubMed][Green Version]
- Shiratani, M.; Watanabe, Y. Development of photon-counting laser-light-scattering method for detection of nano-particles formed in CVD plasmas. Rev. Laser Eng. 1998, 26, 449–452. [Google Scholar] [CrossRef]
- Zhang, S.; Zhao, Y. Rapid release of entrapped contents from multi-functionalizable, surface cross-linked micelles upon different stimulation. J. Am. Chem. Soc. 2010, 132, 10642–10644. [Google Scholar] [CrossRef] [PubMed]
- Kalyanasundaram, K.; Thomas, J.K. Environmental effects on vibronic band intensities in pyrene monomer fluorescence and their application in studies of micellar systems. J. Am. Chem. Soc. 1977, 99, 2039–2044. [Google Scholar] [CrossRef]
© 2018 by the authors. Licensee MDPI, Basel, Switzerland. This article is an open access article distributed under the terms and conditions of the Creative Commons Attribution (CC BY) license (http://creativecommons.org/licenses/by/4.0/).