Study on the Nanomechanical and Nanotribological Behaviors of PEEK and CFRPEEK for Biomedical Applications
Abstract
1. Introduction
2. Experimental
2.1. Materials and Sample Preparation
2.2. Nanoindentation and Nanoscratch Tests
2.3. Post-Test Analysis
3. Results
3.1. Nanoindentation
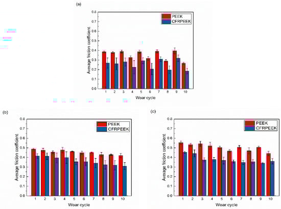
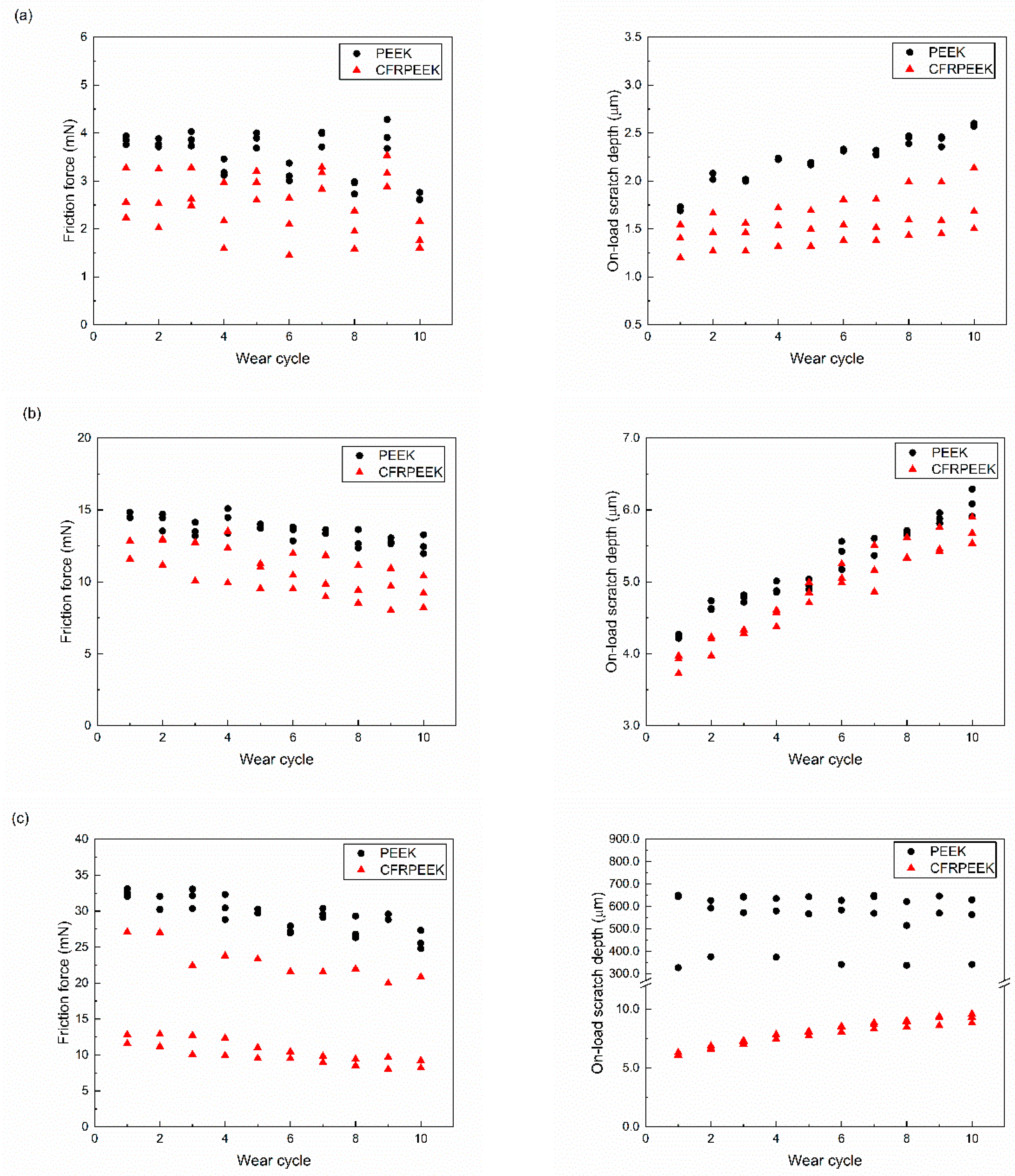
3.2. Nanofriction Properties
3.3. Nanowear Features and Mechanisms
4. Discussion
5. Conclusions
- (1)
- The induced carbon fibers in PEEK matrix increased the nanohardness and reduced elastic modulus, which have a beneficial effect on the nanotribological performances of PEEK.
- (2)
- The friction coefficient and wear rate of CFRPEEK was lower than that of PEEK. However, a higher material pile-up of CFRPEEK was found, which was closely related to higher contact pressure and shear force, leading to easier formation of the wear debris.
- (3)
- When tested in the progressive load nanoscratch mode, the major nanowear mechanisms of PEEK were abrasive wear and severe plastic deformation, and those of CFRPEEK were mainly abrasion, adhesion, and mild plastic deformation.
- (4)
- The normal load had a significant influence on the scratch performances in the constant load nanoscratch tests. The major nanowear mechanisms of PEEK were adhesive wear, abrasive wear, and plastic deformation. The nanowear mechanisms of CFRPEEK were dominated by severe adhesive wear, abrasion, and mild fatigue wear.
- (5)
- CFRPEEK has demonstrated superior nanomechanical and nanotribological performances in this study, and hence is a potential candidate for biomedical applications.
Acknowledgments
Author Contributions
Conflicts of Interest
References
- Kurtz, S.M.; Devine, J.N. PEEK biomaterials in trauma, orthopedic, and spinal implants. Biomaterials 2007, 28, 4845–4869. [Google Scholar] [CrossRef] [PubMed]
- Toth, J.M.; Wang, M.; Estes, B.T.; Scifert, J.L.; Seim III, H.B.; Turner, A.S. Polyetheretherketone as a biomaterial for spinal applications. Biomaterials 2006, 27, 324–334. [Google Scholar] [CrossRef] [PubMed]
- Wang, Q.Q.; Wu, J.J.; Unsworth, A.; Briscoe, A.; Jarman-Smith, M.; Lowry, C.; Simpson, D.; Collins, S. Biotribological study of large diameter ceramic-on-CFR-PEEK hip joint including fluid uptake, wear and frictional heating. J. Mater. Sci.: Mater. Med. 2012, 23, 1533–1542. [Google Scholar] [CrossRef] [PubMed]
- Wang, Q.H.; Xue, Q.J.; Liu, H.W.; Shen, W.; Xu, J. The effect of particle size of nanometer ZrO2 on the tribological behaviour of PEEK. Wear 1996, 198, 216–219. [Google Scholar] [CrossRef]
- Khun, N.W.; Zhang, H.; Lim, L.H.; Yue, C.Y.; Hu, X.; Yang, J. Tribological properties of short carbon fibers reinforced epoxy composites. Friction 2014, 2, 226–239. [Google Scholar] [CrossRef]
- Chen, B.; Wang, J.; Yan, F. Comparative investigation on the tribological behaviors of CF/PEEK composites under sea water lubrication. Tribol. Int. 2012, 52, 170–177. [Google Scholar] [CrossRef]
- Díaz, C.; Fuentes, G. Tribological studies comparison between UHMWPE and PEEK for prosthesis application. Surf. Coat. Technol. 2017, 325, 656–660. [Google Scholar] [CrossRef]
- Xiong, D.; Xiong, L.; Liu, L. Preparation and tribological properties of polyetheretherketone composites. J. Biomed. Mater. Res. Part B 2010, 93, 492–496. [Google Scholar] [CrossRef] [PubMed]
- Scholes, S.C.; Unsworth, A. The wear properties of CFR-PEEK-OPTIMA articulating against ceramic assessed on a multidirectional pin-on-plate machine. Proc. Inst. Mech. Eng. Part H 2007, 221, 281–289. [Google Scholar] [CrossRef] [PubMed]
- Beake, B.D.; Liskiewicz, T.W. Comparison of nano-fretting and nano-scratch tests on biomedical materials. Tribol. Int. 2013, 63, 123–131. [Google Scholar] [CrossRef]
- Paggi, M.; Ciavarella, M. The coefficient of proportionality κ between real contact area and load, with new asperity models. Wear 2010, 268, 1020–1029. [Google Scholar] [CrossRef]
- Bhushan, B. Nanotribology and nanomechanics. Wear 2005, 259, 1507–1531. [Google Scholar] [CrossRef]
- Wu, J.; Peng, Z. The investigation of nanotribology of UHMWPE in fluid using atomic force microscopy. J. Biomed. Mater. Res. Part B 2015, 103, 751–763. [Google Scholar] [CrossRef] [PubMed]
- Ho, S.P.; Carpick, R.W.; Boland, T.; LaBerge, M. Nanotribology of CoCr–UHMWPE TJR prosthesis using atomic force microscopy. Wear 2002, 253, 1145–1155. [Google Scholar] [CrossRef]
- Godara, A.; Raabe, D.; Green, S. The influence of sterilization processes on the micromechanical properties of carbon fiber-reinforced PEEK composites for bone implant applications. Acta Biomater. 2007, 3, 209–220. [Google Scholar] [CrossRef] [PubMed]
- Molazemhosseini, A.; Tourani, H.; Naimi-Jamal, M.R.; Khavandi, A. Nanoindentation and nanoscratching responses of PEEK based hybrid composites reinforced with short carbon fibers and nano-silica. Polym. Test. 2013, 32, 525–534. [Google Scholar] [CrossRef]
- Mohseni, E.; Zalnezhad, E.; Bushroa, A.R.; Hamouda, A.M.; Goh, B.T.; Yoon, G.H. Ti/TiN/HA coating on Ti-6Al-4V for biomedical applications. Ceram. Int. 2015, 41, 14447–14457. [Google Scholar] [CrossRef]
- Leng, Y.X.; Huang, N.; Yang, P.; Chen, J.Y.; Sun, H.; Wang, J.; Wan, G.J.; Tian, X.B.; Fu, R.K.Y.; Wang, L.P.; et al. Structure and properties of biomedical TiO2 films synthesized by dual plasma deposition. Surf. Coat. Technol. 2002, 156, 295–300. [Google Scholar] [CrossRef]
- Qing, P.; Huang, S.; Gao, S.; Qian, L.; Yu, H. Effect of gamma irradiation on the wear behaviour of human tooth enamel. Sci. Rep.-UK 2015, 5, 11568. [Google Scholar] [CrossRef] [PubMed]
- Zheng, S.Y.; Zheng, J.; Gao, S.S.; Yu, B.J.; Yu, H.Y.; Qian, L.M.; Zhou, Z.R. Investigation on the microtribological behaviour of human tooth enamel by nanoscratch. Wear 2011, 271, 2290–2296. [Google Scholar] [CrossRef]
- Pei, X.; Bennewitz, R.; Busse, M.; Schlarb, A.K. Effects of single asperity geometry on friction and wear of PEEK. Wear 2013, 304, 109–117. [Google Scholar] [CrossRef]
- Jardret, V.; Morel, P. Viscoelastic effects on the scratch resistance of polymers: Relationship between mechanical properties and scratch properties at various temperatures. Prog. Org. Coat. 2003, 48, 322–331. [Google Scholar] [CrossRef]
- Gao, S.; Gao, S.; Xu, B.; Yu, H. Effects of Different pH-Values on the Nanomechanical Surface Properties of PEEK and CFR-PEEK Compared to Dental Resin-Based Materials. Materials 2015, 8, 4751–4767. [Google Scholar] [CrossRef] [PubMed]
- Song, J.; Liao, Z.; Shi, H.; Xiang, D.; Liu, Y.; Liu, W.; Peng, Z. Fretting Wear Study of PEEK-Based Composites for Bio-implant Application. Tribol. Lett. 2017, 65, 150. [Google Scholar] [CrossRef]
- Zhang, Z.; Breidt, C.; Chang, L.; Friedrich, K. Wear of PEEK composites related to their mechanical performances. Tribol. Int. 2004, 37, 271–277. [Google Scholar] [CrossRef]
- Song, J.; Liu, Y.H.; Wang, S.; Liao, Z.H.; Liu, W.Q. Study on the wettability and tribological behaviors of glass fiber reinforced poly(ether-ether-ketone) against different polymers as bearing materials for artificial cervical disc. Biotribology 2015, 4, 18–29. [Google Scholar] [CrossRef]
- Song, J.; Liao, Z.; Wang, S.; Liu, Y.; Liu, W.; Tyagi, R. Study on the Tribological Behaviors of Different PEEK Composite Coatings for Use as Artificial Cervical Disk Materials. J. Mater. Eng. Perform. 2016, 25, 116–129. [Google Scholar] [CrossRef]
- Urena, A.; Rams, J.; Escalera, M.D.; Sánchez, M. Characterization of interfacial mechanical properties in carbon fiber/aluminium matrix composites by the nanoindentation technique. Compos. Sci. Technol. 2005, 65, 2025–2038. [Google Scholar] [CrossRef]
- Rezaei, F.; Yunus, R.; Ibrahim, N.A. Effect of fiber length on thermomechanical properties of short carbon fiber reinforced polypropylene composites. Mater. Des. 2009, 30, 260–263. [Google Scholar] [CrossRef]
- Zhang, Y.; Zhang, L.; Liu, M.; Zhang, F.; Mylvaganam, K.; Liu, W. Understanding the friction and wear of KDP crystals by nanoscratching. Wear 2015, 332, 900–906. [Google Scholar] [CrossRef]
- Chang, Y.; Wen, H.; Yang, C.; Lian, D.; Tsai, C.; Wang, J.; Wu, W.; Chou, C. Evaluating the abrasive wear of Zn1-xMnxO heteroepitaxial layers using a nanoscratch technique. Microelectron. Reliab. 2010, 50, 1111–1115. [Google Scholar] [CrossRef]
- Bora, M.O.; Çoban, O.; Sinmazcelik, T.; Gunay, V. Effect of fiber orientation on scratch resistance in unidirectional carbon-fiber-reinforced polymer matrix composites. J. Reinf. Plast. Comps. 2010, 29, 1476–1490. [Google Scholar] [CrossRef]
- Xiong, D. Friction and wear properties of UHMWPE composites reinforced with carbon fiber. Mater. Lett. 2005, 59, 175–179. [Google Scholar]
- Nine, M.J.; Choudhury, D.; Hee, A.C.; Mootanah, R.; Osman, N.A.A. Wear debris characterization and corresponding biological response: artificial hip and knee joints. Materials 2014, 7, 980–1016. [Google Scholar] [CrossRef] [PubMed]
- Steinberg, E.L.; Rath, E.; Shlaifer, A.; Chechik, O.; Maman, E.; Salai, M. Carbon fiber reinforced PEEK Optima-a composite material biomechanical properties and wear/debris characteristics of CF-PEEK composites for orthopedic trauma implants. J. Mech. Behav. Biomed. Mater. 2013, 17, 221–228. [Google Scholar] [CrossRef] [PubMed]
- Li, C.S.; Vannabouathong, C.; Sprague, S.; Bhandari, M. The Use of Carbon-Fiber-Reinforced (CFR) PEEK Material in Orthopedic Implants: A Systematic Review. Clin. Med. Insights: Arthritis Musculoskelet. Disord. 2015, 8, 33–45. [Google Scholar] [CrossRef] [PubMed]








| Progressive Load Nanoscratch | Constant Load Nanoscratch | |
|---|---|---|
| Tangential movement | Linear | Reciprocating |
| Track lengh (μm) | 200 | 200 |
| Scan speed (μm/s) | 5 | 5 |
| Applied load (mN) | 0.3–60 | 10, 30, 60 |
| Loading rate (mN/min) | 90 | - |
| Hold at peak load (s) | - | 60 (per cycle) |
| Total scratch cycles | 1 | 10 |
| (GPa) | (GPa) | ||
|---|---|---|---|
| PEEK | 0.326 ± 0.018 | 6.260 ± 0.405 | 0.052 |
| CFRPEEK | 0.345 ± 0.033 | 8.481 ± 1.507 * | 0.041 |
| Applied Load (mN) | Wear Width (μm) | Wear Depth (μm) | Pile-up Height (μm) | |
|---|---|---|---|---|
| PEEK | 10 | 10.103 ± 0.301 | 1.392 ± 0.567 | 1.521 ± 0.101 |
| 30 | 19.387 ± 0.526 | 3.264 ± 0.844 | 3.631 ± 0.186 | |
| 60 | 28.433 ± 0.325 | 6.932 ± 1.328 | 6.018 ± 0.345 | |
| CFRPEEK | 10 | 10.107 ± 0.617 | 1.551 ± 0.658 * | 1.796 ± 0.156 * |
| 30 | 19.287 ± 0.767 | 2.731 ± 1.495 * | 3.912 ± 0.303 | |
| 60 | 26.692 ± 0.531 * | 5.051 ± 1.878 * | 6.317 ± 1.165 |
© 2018 by the authors. Licensee MDPI, Basel, Switzerland. This article is an open access article distributed under the terms and conditions of the Creative Commons Attribution (CC BY) license (http://creativecommons.org/licenses/by/4.0/).
Share and Cite
Song, J.; Shi, H.; Liao, Z.; Wang, S.; Liu, Y.; Liu, W.; Peng, Z. Study on the Nanomechanical and Nanotribological Behaviors of PEEK and CFRPEEK for Biomedical Applications. Polymers 2018, 10, 142. https://doi.org/10.3390/polym10020142
Song J, Shi H, Liao Z, Wang S, Liu Y, Liu W, Peng Z. Study on the Nanomechanical and Nanotribological Behaviors of PEEK and CFRPEEK for Biomedical Applications. Polymers. 2018; 10(2):142. https://doi.org/10.3390/polym10020142
Chicago/Turabian StyleSong, Jian, Hongyu Shi, Zhenhua Liao, Song Wang, Yuhong Liu, Weiqiang Liu, and Zhongxiao Peng. 2018. "Study on the Nanomechanical and Nanotribological Behaviors of PEEK and CFRPEEK for Biomedical Applications" Polymers 10, no. 2: 142. https://doi.org/10.3390/polym10020142
APA StyleSong, J., Shi, H., Liao, Z., Wang, S., Liu, Y., Liu, W., & Peng, Z. (2018). Study on the Nanomechanical and Nanotribological Behaviors of PEEK and CFRPEEK for Biomedical Applications. Polymers, 10(2), 142. https://doi.org/10.3390/polym10020142
