Effect of Hydroxyl Monomers on the Enzymatic Degradation of Poly(ethylene succinate), Poly(butylene succinate), and Poly(hexylene succinate)
Abstract
:1. Introduction
2. Materials and Methods
2.1. Materials
2.2. Synthesis of Polyesters and Films
2.3. Enzymatic Degradation
2.4. SEM Observations
2.5. DSC Analysis
2.6. XRD Analysis
2.7. FTIR Analysis
2.8. Water Contact Angle (WCA)
2.9. GPC Analysis
2.10. TG Analysis
3. Results and Discussion
3.1. Enzymatic Degradation
3.2. Morphological Observations
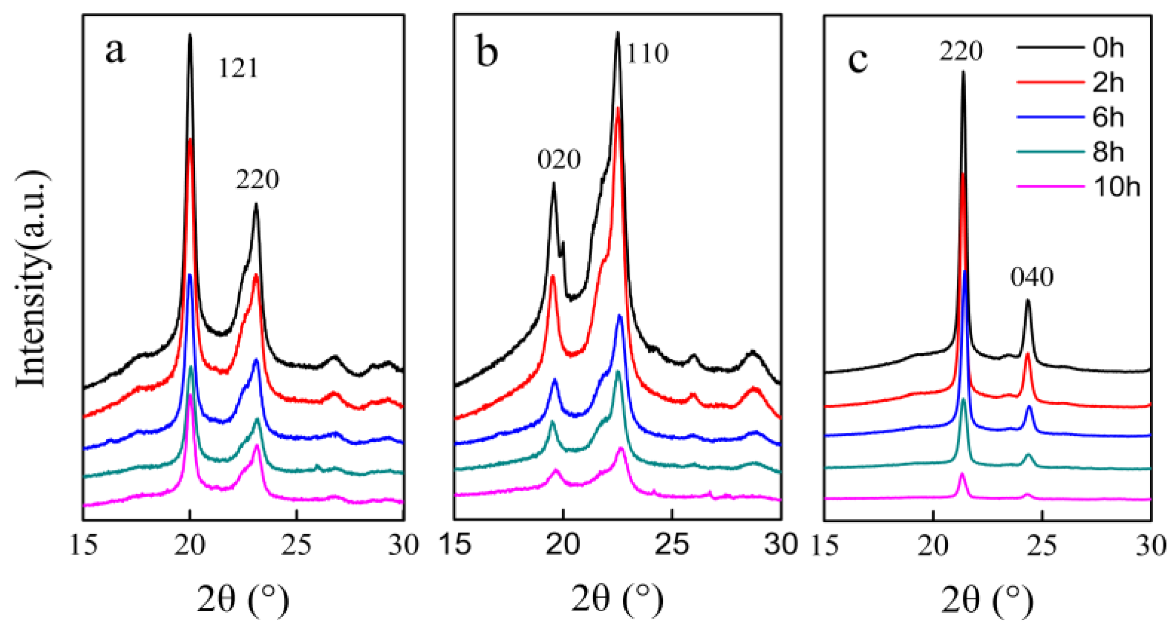
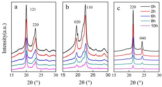
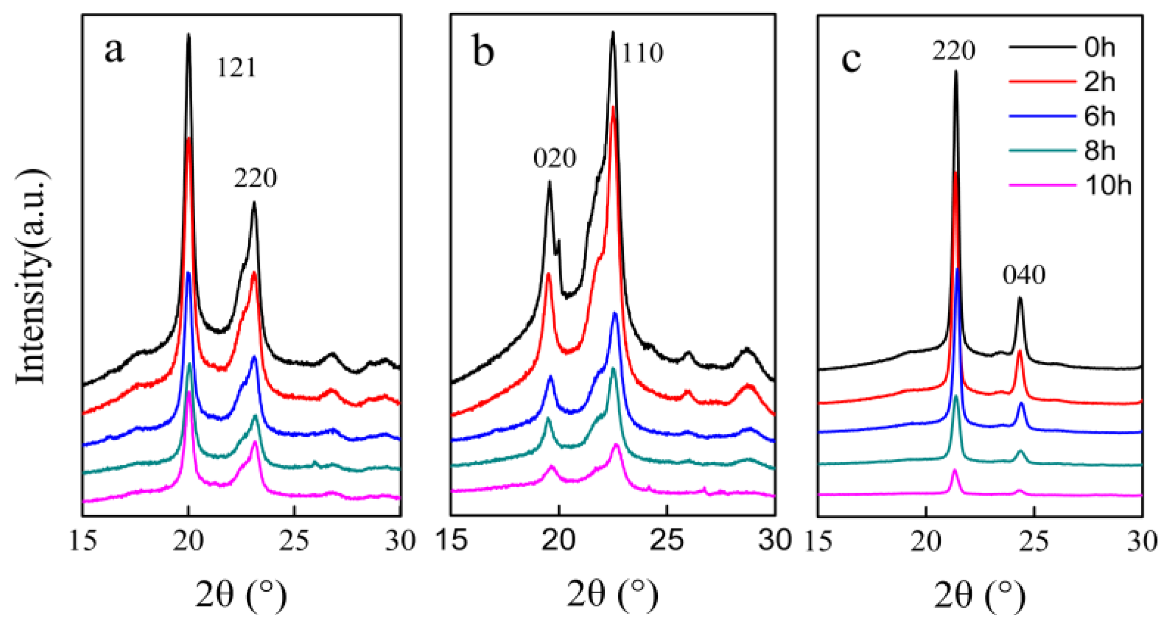
3.3. Crystalline Properties
3.4. WCA Analysis
3.5. Molecular Weight Analysis
3.6. TG Analysis
4. Conclusions
Acknowledgments
Author Contributions
Conflicts of Interest
References
- Qiu, Z.; Fujinami, S.; Komura, M.; Nakajima, K.; Ikehara, T.; Nishi, T. Miscibility and crystallization of poly(ethylene succinate)/poly(vinyl phenol) blends. Polymer 2004, 45, 4515–4521. [Google Scholar] [CrossRef]
- Wang, Z.; Wang, Y.; Guo, Z.; Li, F.; Chen, S. Purification and characterization of poly(l-lactic acid) depolymerase from Pseudomonas sp. strain DS04-T. Polym. Eng. Sci. 2011, 51, 454–459. [Google Scholar] [CrossRef]
- Gao, Z.; Su, T.; Li, P.; Wang, Z. Biodegradation of P(3HB-co-4HB) powder by Pseudomonas mendocina for preparation low-molecular-mass P(3HB-co-4HB). 3 Biotech. 2017, 7, 281. [Google Scholar] [CrossRef] [PubMed]
- Mao, H.; Liu, H.; Gao, Z.; Su, T.; Wang, Z. Biodegradation of poly(butylene succinate) by Fusarium sp. FS1301 and purification and characterization of poly(butylene succinate) depolymerase. Polym. Degrad. Stab. 2015, 114, 1–7. [Google Scholar] [CrossRef]
- Khatiwala, V.K.; Shekhar, N.; Aggarwal, S.; Mandal, U.K. Biodegradation of poly(ε-caprolactone) (PCL) film by Alcaligenes faecalis. J. Polym. Environ. 2008, 16, 61–67. [Google Scholar] [CrossRef]
- Franco, L.; Puigglí, J. Crystallization kinetics of poly(hexamethylene succinate). Eur. Polym. J. 2003, 39, 1575–1583. [Google Scholar] [CrossRef]
- Ye, H.; Liu, P.; Wang, C.; Meng, X.; Zhou, Q. Polymorphism regulation in Poly(hexamethylene succinate-co-hexamethylene fumarate): Altering the hydrogen bonds in crystalline lattice. Polymer 2017, 108, 272–280. [Google Scholar] [CrossRef]
- Bikiaris, D.N.; Papageorgiou, G.Z.; Achilias, D.S. Synthesis and comparative biodegradability studies of three poly(alkylene succinate)s. Polym. Degrad. Stab. 2006, 91, 31–43. [Google Scholar] [CrossRef]
- Mochizuki, M.; Mukai, K.; Yamada, K.; Ichise, N.; Murase, S.; Lwaya, Y. Structural effects upon enzymatic hydrolysis of poly(butylene succinate-co-ethylene succinate)s. Macromolecules 1997, 30, 7403–7407. [Google Scholar] [CrossRef]
- Diamond, M.J.; Freedman, B.; Garibaldi, J.A. Biodegradable polyester films. Int. Biodeterior. Biodegrad. 2001, 48, 219–224. [Google Scholar] [CrossRef]
- Mukai, K.; Doi, Y.; Sema, Y.; Tomita, K. Substrate specificities in hydrolysis of polyhydroxyalkanoates by microbial esterases. Biotechnol. Lett. 1993, 15, 601–604. [Google Scholar] [CrossRef]
- Fields, R.D.; Rodriguez, F.; Finn, R.K. Microbial degradation of Polyesters: Polycaprolactone degraded by P. pulluluns. J. Appl. Polym. Sci. 1974, 18, 3571–3579. [Google Scholar] [CrossRef]
- Montaudo, G.; Rizzarelli, P. Synthesis and enzymatic degradation of aliphatic copolyesters. Polym. Degrad. Stab. 2000, 70, 305–314. [Google Scholar] [CrossRef]
- Rizzarelli, P.; Impallomeni, G.; Montaudo, G. Evidence of selective hydrolysis of aliphatic copolyesters induced by lipase catalysis. Biomacromolecules 2004, 5, 433–444. [Google Scholar] [CrossRef] [PubMed]
- Abe, H.; Matsubara, I.; Doi, Y. Physical properties and enzymatic degradability of polymer blends of bacterial poly[(R)-3-hydroxybutyrate] and poly[(R,S)-3-hydroxybutyrate] stereoisomers. Macromolecules 1995, 28, 844–853. [Google Scholar] [CrossRef]
- Wang, S.; Qiu, B. Polycaprolactone-poly(ethylene glycol) block copolymer, I: Synthesis and degradability in vitro. Polym. Adv. Technol. 1993, 4, 363–366. [Google Scholar]
- Aburto, J.; Alric, I.; Thiebaud, S.; Borredon, E.; Bikiaris, D.; Prinos, J.; Panayiotou, C. Synthesis, characterization, and biodegradability of fatty-acid esters of amylose and starch. J. Appl. Polym. Sci. 1999, 74, 1440–1451. [Google Scholar] [CrossRef]
- Huang, J.; Shetty, A.S.; Wang, M. Biodegradable plastics: A review. Adv. Polym. Technol. 1990, 10, 23–30. [Google Scholar] [CrossRef]
- Mochizuki, M.; Hirami, M. Structural effects on the biodegradation of aliphatic polyesters. Polym. Adv. Technol. 1997, 8, 203–209. [Google Scholar] [CrossRef]
- Song, D.K.; Sung, Y.K. Synthesis and characterization of biodegradable poly(1,4-butanediol succinate). J. Appl. Polym. Sci. 1995, 56, 1381–1395. [Google Scholar] [CrossRef]
- Tokiwa, Y.; Suzuki, T. Hydrolysis of polyesters by Rhizopus delemar lipase. Agric. Biol. Chem. 1978, 42, 1071–1072. [Google Scholar] [CrossRef]
- Mochizuki, M.; Hirano, M.; Kanmuri, Y.; Kudo, K.; Tokiwa, Y. Hydrolysis of polycaprolactone fibers by lipase: Effects of draw ratio on enzymatic degradation. J. Appl. Polym. Sci. 1995, 55, 289–296. [Google Scholar] [CrossRef]
- Kitamoto, H.; Shinozaki, Y.; Cao, X.; Morita, T.; Konishi, M.; Tago, K.; Kajiwara, H.; Koitabashi, M.; Yoshida, S.; Watanabe, T.; et al. Phyllosphere yeasts rapidly break down biodegradable plastics. AMB Express 2011, 1, 1–11. [Google Scholar] [CrossRef] [PubMed]
- Zhou, W.; Wang, X.; Yang, B.; Xu, Y.; Zhang, W.; Zhang, Y.; Ji, J. Synthesis, physical properties and enzymatic degradation of bio-based poly(butylene adipate-co-butylene furandicarboxylate) copolyesters. Polym. Degrad. Stab. 2013, 98, 2177–2183. [Google Scholar] [CrossRef]
- Pantani, R.; Sorrentino, A. Influence of crystallinity on the biodegradation rate of injection-moulded poly(lactic acid) samples in controlled composting conditions. Polym. Degrad. Stab. 2013, 98, 1089–1096. [Google Scholar] [CrossRef]
- Koitabashi, M.; Noguchi, M.T.; Yamashita, Y.S.; Hiradate, S.; Suzuki, K.; Yoshida, S.; Watanabe, T.; Shinozaki, Y.; Tsushima, S.; Kitamoto, H.K. Degradation of biodegradable plastic mulch films in soil environment by phylloplane fungi isolated from gramineous plants. AMB Express 2012, 2, 40. [Google Scholar] [CrossRef] [PubMed]
- Shinozaki, Y.; Morita, T.; Cao, X.; Yoshida, S.; Koitabashi, M.; Watanabe, T.; Suzuki, K.; Sameshima-Yamashita, Y.; Nakajima-Kambe, T.; Fujii, T.; et al. Biodegradable plastic-degrading enzyme from Pseudozyma antarctica: Cloning, sequencing and characterization. Appl. Microbiol. Biotechnol. 2013, 97, 2951–2959. [Google Scholar] [CrossRef] [PubMed]
- Maeda, H.; Yamagata, Y.; Abe, K.; Hasegawa, F.; Machida, M.; Ishioka, R.; Gomi, K.; Nakajima, T. Purification and characterization of a biodegradable plastic-degrading enzyme from Aspergillus oryzae. Appl. Microbiol. Biotechnol. 2005, 67, 778–788. [Google Scholar] [CrossRef] [PubMed]
- Hu, X.; Gao, Z.; Wang, Z.; Su, T.; Yang, L.; Li, P. Enzymatic degradation of poly(butylene succinate) by cutinase cloned from Fusarium solani. Polym. Degrad. Stab. 2016, 134, 211–219. [Google Scholar] [CrossRef]
- Gan, Z.; Abe, H.; Doi, Y. Biodegradable poly(ethylene succinate) (PES). 2. Crystal morphology of melt-crystallized ultrathin film and its change after enzymatic degradation. Biomacromolecules 2000, 1, 713–720. [Google Scholar] [CrossRef] [PubMed]
- Doi, Y.; Kasuya, K.I.; Abe, H.; Koyama, N.; Ishiwatar, S.I.; Takagi, K.; Yoshida, Y. Evaluation of biodegradabilities of biosynthetic and chemosynthetic polyesters in river water. Polym. Degrad. Stab. 1996, 51, 281–286. [Google Scholar] [CrossRef]
- Karayannidis, G.P.; Roupakias, C.P.; Bikiaris, D.N.; Achilias, D.S. Study of various catalysts in the synthesis of poly(propylene terephthalate) and mathematical modeling of the esterification reaction. Polymer 2003, 44, 931–942. [Google Scholar] [CrossRef]
- Tansengco, M.L.; Tokiwa, Y. Thermophilic microbial degradation of polyethylene succinate. World J. Microbiol. Biotechnol. 1997, 14, 133–138. [Google Scholar] [CrossRef]
- Fortunati, E.; Gigli, M.; Luzi, F.; Dominici, F.; Lotti, N.; Gzzano, M.; Cano, A.; Chiralt, A.; Munari, A.; Kenny, J.M.; et al. Processing and characterization of nanocomposite based on poly(butylene/triethylene succinate) copolymers and cellulose nanocrystals. Carbohydr. Polym. 2017, 165, 51–60. [Google Scholar] [CrossRef] [PubMed]
- Seretoudi, G.; Bikiaris, D.; Panayiotou, C. Synthesis, characterization and biodegradability of poly(ethylene succinate)/poly(ε-caprolactone) block copolymers. Polymer 2002, 43, 5405–5415. [Google Scholar] [CrossRef]
- Yasuniwa, M.; Satou, T. Multiple melting behavior of poly(butylene succinate). I. Thermal analysis of melt-crystallized samples. J. Polym. Sci. B 2002, 40, 2411–2420. [Google Scholar] [CrossRef]
- Vankrevelen, D.W.; Nijenhuis, K.T. Properties of Polymers, 4th ed.; Elsevier Publishing Company: Amsterdam, The Netherlands, 2008; pp. 129–188. ISBN 978-0-08-054819-7. [Google Scholar]
- Bikiaris, D.N.; Papageorgiou, G.Z.; Giliopoulos, D.J.; Stergiou, C.A. Correlation between chemical and solid-state structures and enzymatic hydrolysis in novel biodegradable Polyesters. The Case of Poly(propylene alkanedicarboxylate)s. Macromol. Biosci. 2008, 8, 728–740. [Google Scholar] [CrossRef] [PubMed]
- Marten, E.; Müller, R.J.; Deckwer, W.D. Studies on the enzymatic hydrolysis of polyesters I. Low molecular mass model esters and aliphatic polyesters. Polym. Degrad. Stab. 2003, 80, 485–501. [Google Scholar] [CrossRef]
- Abou-Zeid, D.M.; Müller, R.J.; Deckwer, D.W. Biodegradation of aliphatic homopolyesters and aliphatic-aromatic copolyesters by anaerobic microorganisms. Biomacromolecules 2004, 5, 1687–1697. [Google Scholar] [CrossRef] [PubMed]
- Papageorgiou, G.Z.; Bikiaris, D.N. Crystallization and melting behavior of three biodegradable poly(alkylene succinates). A comparative study. Polymer 2005, 46, 12081–12092. [Google Scholar] [CrossRef]
- Papageorgiou, G.Z.; Bikiaris, D.N. Synthesis, cocrystallization, and enzymatic degradation of novel Poly(butylene-co-propylene succinate) copolymers. Biomacromolecules 2007, 8, 2437–2449. [Google Scholar] [CrossRef] [PubMed]
- Sato, H.; Murakami, R.; Padermshoke, A.; Hirose, F.; Senda, K.; Noda, I.; Ozaki, Y. Infrared spectroscopy studies of C–H···O hydrogen bondings and thermal behavior of biodegradable poly(hydroxyalkanoate). Macromolecules 2004, 37, 7203–7213. [Google Scholar] [CrossRef]
- Sato, H.; Dybal, J.; Murakami, R.; Noda, I.; Ozaki, Y. Infrared and Raman spectroscopy and quantum chemistry calculation studies of C–H···O hydrogen bondings and thermal behavior of biodegradable polyhydroxyalkanoate. J. Mol. Struct. 2005, 744, 35–46. [Google Scholar] [CrossRef]
- Kennouche, S.; Moigne, N.L.; Kaci, M.; Quantin, J.; Caro-Bretelle, A.S.; Delaite, C.; Lopez-Cuesta, J.M. Morphological characterization and thermal properties of compatibilized poly (3-hydroxybutyrate-co-3-hydroxyvalerate)(PHBV)/poly(butylene succinate) (PBS)/halloysite ternary nanocomposites. Eur. Polym. J. 2016, 75, 142–162. [Google Scholar] [CrossRef]
- Buzarovska, A.; Grozdanov, A. Crystallization kinetics of poly (hydroxybutyrate-co-hydroxyvalerate) and poly(dicyclohexylitaconate) PHBV/PDCHI blends: Thermal properties and hydrolytic degradation. J. Mater. Sci. 2009, 44, 1844–1850. [Google Scholar] [CrossRef]
- Shirahama, H.; Kawaguchi, Y.; Aludin, M.S.; Yasuda, H. Synthesis and enzymatic degradation of high molecular weight aliphatic polyesters. J. Appl. Polym. Sci. 2001, 80, 340–347. [Google Scholar] [CrossRef]
- Li, F.; Xu, X.; Yu, J.; Cao, A. The morphological effects upon enzymatic degradation of poly(butylene succinate-co-butylene terephthalate)s (PBST). Polym. Degrad. Stab. 2007, 92, 1053–1060. [Google Scholar] [CrossRef]
- Tokiwa, Y.; Suzuki, T.; Takeda, K. Two types of lipases in hydrolysis of polyester. Agric. Biol. Chem. 1988, 52, 1937–1943. [Google Scholar]
- Iwata, T.; Doi, Y.; Kasuya, K.I.; Inoue, Y. Visualization of enzymatic degradation of poly[(R)-3-hydroxybutyrate] single crystals by an extracellular PHB depolymerase. Macromolecules 1997, 30, 833–839. [Google Scholar] [CrossRef]
- Chrissafis, K.; Paraskevopoulos, K.M.; Bikiaris, D.N. Thermal degradation mechanism of poly(ethylene succinate) and poly(butylene succinate): Comparative study. Thermochim. Acta 2005, 435, 142–150. [Google Scholar] [CrossRef]
- Buxbaum, L.H. The degradation of poly(ethylene terephthalate). Angew. Chem. Int. Ed. 1968, 7, 182–190. [Google Scholar] [CrossRef]
- Chrissafis, K.; Paraskevopoulos, K.M.; Bikiaris, D.N. Effect of molecular weight on thermal degradation mechanism of the biodegradable polyester poly(ethylene succinate). Thermochim. Acta 2006, 440, 166–175. [Google Scholar] [CrossRef]







| Time (h) | PES | PBS | PHS | ||||||
|---|---|---|---|---|---|---|---|---|---|
| Tm (°C) | ∆Hm (J/g) | Xc (%) | Tm (°C) | ∆Hm (J/g) | Xc (%) | Tm (°C) | ∆Hm (J/g) | Xc (%) | |
| 0 | 102.1 ± 0.8 | 49.2 ± 1.1 | 64.0 ± 1.4 | 105.1 ± 0.7 | 53.1 ± 1.5 | 48.2 ± 1.4 | 52.2 ± 0.8 | 57.0 ± 1.2 | 42.1 ± 0.9 |
| 2 | 101.9 ± 0.6 | 47.1 ± 1.2 | 62.1 ± 1.6 | 105.1 ± 0.8 | 51.9 ± 1.2 | 47.0 ± 1.1 | 52.0 ± 0.6 | 55.0 ± 1.6 | 40.8 ± 1.2 |
| 6 | 101.7 ± 0.6 | 45.8 ± 1.0 | 59.8 ± 1.3 | 105.0 ± 0.6 | 50.2 ± 1.7 | 45.9 ± 1.5 | 51.1 ± 0.6 | 54.2 ± 1.3 | 40.0 ± 1.0 |
| 8 | 101.0 ± 0.5 | 45.1 ± 1.2 | 59.2 ± 1.6 | 104.2 ± 0.4 | 46.8 ± 1.1 | 42.3 ± 1.0 | 51.1 ± 0.3 | 51.4 ± 2.2 | 38.1 ± 1.6 |
| 10 | 101.0 ± 0.5 | 42.8 ± 0.9 | 56.6 ± 1.2 | 104.1 ± 0.4 | 44.1 ± 1.5 | 39.8 ± 1.4 | 49.8 ± 0.3 | 50.0 ± 1.1 | 36.9 ± 0. 8 |
| Degradation Time (h) | PES | PBS | PHS | |||
|---|---|---|---|---|---|---|
| (g/mol) | / | (g/mol) | / | (g/mol) | / | |
| 0 | 53,086 | 8.15 | 36,657 | 2.75 | 86,043 | 1.81 |
| 2 | 52,765 | 8.13 | 36,147 | 2.71 | 85,817 | 1.79 |
| 6 | 54,972 | 8.10 | 36,792 | 2.67 | 88,245 | 1.75 |
| 8 | 58,494 | 8.06 | 38,154 | 2.59 | 92,046 | 1.72 |
| 10 | 62,517 | 8.03 | 41,528 | 2.57 | 95,314 | 1.70 |
© 2018 by the authors. Licensee MDPI, Basel, Switzerland. This article is an open access article distributed under the terms and conditions of the Creative Commons Attribution (CC BY) license (http://creativecommons.org/licenses/by/4.0/).
Share and Cite
Bai, Z.; Liu, Y.; Su, T.; Wang, Z. Effect of Hydroxyl Monomers on the Enzymatic Degradation of Poly(ethylene succinate), Poly(butylene succinate), and Poly(hexylene succinate). Polymers 2018, 10, 90. https://doi.org/10.3390/polym10010090
Bai Z, Liu Y, Su T, Wang Z. Effect of Hydroxyl Monomers on the Enzymatic Degradation of Poly(ethylene succinate), Poly(butylene succinate), and Poly(hexylene succinate). Polymers. 2018; 10(1):90. https://doi.org/10.3390/polym10010090
Chicago/Turabian StyleBai, Zhenhui, Yun Liu, Tingting Su, and Zhanyong Wang. 2018. "Effect of Hydroxyl Monomers on the Enzymatic Degradation of Poly(ethylene succinate), Poly(butylene succinate), and Poly(hexylene succinate)" Polymers 10, no. 1: 90. https://doi.org/10.3390/polym10010090
APA StyleBai, Z., Liu, Y., Su, T., & Wang, Z. (2018). Effect of Hydroxyl Monomers on the Enzymatic Degradation of Poly(ethylene succinate), Poly(butylene succinate), and Poly(hexylene succinate). Polymers, 10(1), 90. https://doi.org/10.3390/polym10010090
